Номер 22.24, страница 102 - гдз по алгебре 7-9 класс сборник задач Арефьева, Пирютко

Алгебра, 7-9 класс Сборник задач, авторы: Арефьева Ирина Глебовна, Пирютко Ольга Николаевна, издательство Народная асвета, Минск, 2020

Авторы: Арефьева И. Г., Пирютко О. Н.

Тип: Сборник задач

Издательство: Народная асвета

Год издания: 2020 - 2025

Цвет обложки: синий с графиками

Допущено Министерством образования Республики Беларусь

Популярные ГДЗ в 7 классе

8 класс. Параграф 22. Свойства квадратных корней - номер 22.24, страница 102.

№22.24 (с. 102)
Условие. №22.24 (с. 102)
скриншот условия
Алгебра, 7-9 класс Сборник задач, авторы: Арефьева Ирина Глебовна, Пирютко Ольга Николаевна, издательство Народная асвета, Минск, 2020, страница 102, номер 22.24, Условие

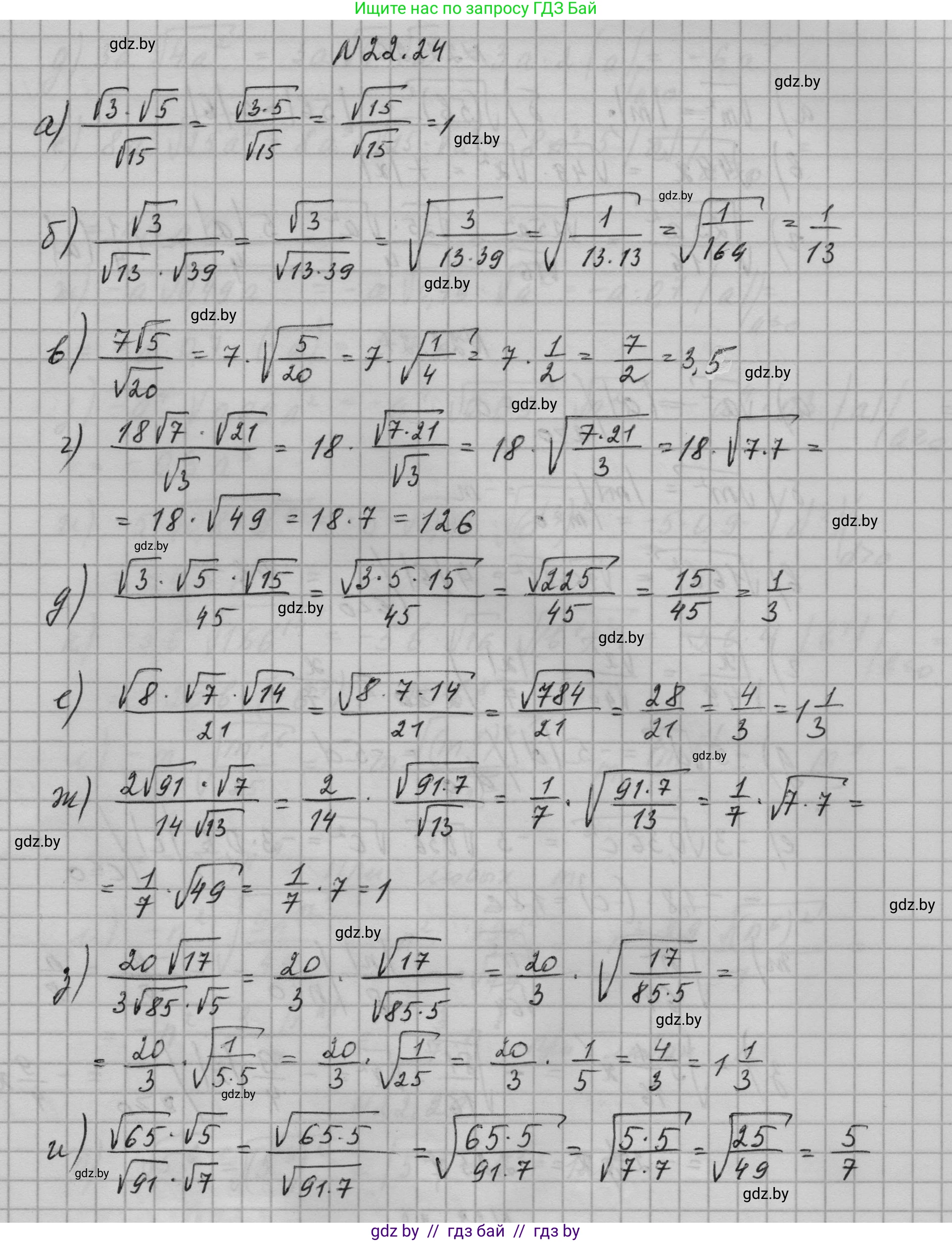
22.24. Вычислите:

a) $\frac{\sqrt{3} \cdot \sqrt{5}}{\sqrt{15}};

б) $\frac{\sqrt{3}}{\sqrt{13} \cdot \sqrt{39}};

в) $\frac{7\sqrt{5}}{\sqrt{20}};

г) $\frac{18\sqrt{7} \cdot \sqrt{21}}{\sqrt{3}};

д) $\frac{\sqrt{3} \cdot \sqrt{5} \cdot \sqrt{15}}{45};

е) $\frac{\sqrt{8} \cdot \sqrt{7} \cdot \sqrt{14}}{21};

ж) $\frac{2\sqrt{91} \cdot \sqrt{7}}{14\sqrt{13}};

з) $\frac{20\sqrt{17}}{3\sqrt{85} \cdot \sqrt{5}};

и) $\frac{\sqrt{65} \cdot \sqrt{5}}{\sqrt{91} \cdot \sqrt{7}}.$

Решение. №22.24 (с. 102)
Алгебра, 7-9 класс Сборник задач, авторы: Арефьева Ирина Глебовна, Пирютко Ольга Николаевна, издательство Народная асвета, Минск, 2020, страница 102, номер 22.24, Решение
Решение 2. №22.24 (с. 102)

а) Для вычисления данного выражения воспользуемся свойством произведения корней $\sqrt{a} \cdot \sqrt{b} = \sqrt{a \cdot b}$.
$\frac{\sqrt{3} \cdot \sqrt{5}}{\sqrt{15}} = \frac{\sqrt{3 \cdot 5}}{\sqrt{15}} = \frac{\sqrt{15}}{\sqrt{15}} = 1$.
Ответ: 1

б) Преобразуем знаменатель, используя свойство произведения корней $\sqrt{a} \cdot \sqrt{b} = \sqrt{a \cdot b}$. Также разложим число 39 на множители: $39 = 13 \cdot 3$.
$\frac{\sqrt{3}}{\sqrt{13} \cdot \sqrt{39}} = \frac{\sqrt{3}}{\sqrt{13 \cdot 39}} = \frac{\sqrt{3}}{\sqrt{13 \cdot 13 \cdot 3}} = \frac{\sqrt{3}}{\sqrt{13^2 \cdot 3}} = \frac{\sqrt{3}}{13\sqrt{3}}$.
Сократим дробь на $\sqrt{3}$:
$\frac{\sqrt{3}}{13\sqrt{3}} = \frac{1}{13}$.
Ответ: $\frac{1}{13}$

в) Упростим корень в знаменателе. Разложим 20 на множители: $20 = 4 \cdot 5$.
$\sqrt{20} = \sqrt{4 \cdot 5} = \sqrt{4} \cdot \sqrt{5} = 2\sqrt{5}$.
Подставим упрощенное значение в исходное выражение:
$\frac{7\sqrt{5}}{\sqrt{20}} = \frac{7\sqrt{5}}{2\sqrt{5}}$.
Сократим дробь на $\sqrt{5}$:
$\frac{7}{2} = 3,5$.
Ответ: 3,5

г) Разложим подкоренное выражение $\sqrt{21}$ на множители: $\sqrt{21} = \sqrt{3 \cdot 7} = \sqrt{3} \cdot \sqrt{7}$.
$\frac{18\sqrt{7} \cdot \sqrt{21}}{\sqrt{3}} = \frac{18\sqrt{7} \cdot (\sqrt{3} \cdot \sqrt{7})}{\sqrt{3}}$.
Сократим дробь на $\sqrt{3}$:
$18\sqrt{7} \cdot \sqrt{7} = 18 \cdot 7$.
$18 \cdot 7 = 126$.
Ответ: 126

д) Объединим корни в числителе: $\sqrt{3} \cdot \sqrt{5} \cdot \sqrt{15} = \sqrt{3 \cdot 5 \cdot 15} = \sqrt{15 \cdot 15} = 15$.
$\frac{\sqrt{3} \cdot \sqrt{5} \cdot \sqrt{15}}{45} = \frac{15}{45}$.
Сократим полученную дробь:
$\frac{15}{45} = \frac{1}{3}$.
Ответ: $\frac{1}{3}$

е) Объединим все корни в числителе под один знак корня и разложим числа на простые множители: $8 = 2^3$, $14 = 2 \cdot 7$.
$\frac{\sqrt{8} \cdot \sqrt{7} \cdot \sqrt{14}}{21} = \frac{\sqrt{8 \cdot 7 \cdot 14}}{21} = \frac{\sqrt{2^3 \cdot 7 \cdot (2 \cdot 7)}}{21} = \frac{\sqrt{2^4 \cdot 7^2}}{21}$.
Извлечем корень:
$\frac{\sqrt{2^4} \cdot \sqrt{7^2}}{21} = \frac{2^2 \cdot 7}{21} = \frac{4 \cdot 7}{21} = \frac{28}{21}$.
Сократим дробь на 7:
$\frac{28}{21} = \frac{4}{3}$.
Ответ: $\frac{4}{3}$

ж) Разложим подкоренное выражение $\sqrt{91}$ на множители: $\sqrt{91} = \sqrt{7 \cdot 13}$.
$\frac{2\sqrt{91} \cdot \sqrt{7}}{14\sqrt{13}} = \frac{2 \cdot \sqrt{7 \cdot 13} \cdot \sqrt{7}}{14\sqrt{13}} = \frac{2 \cdot \sqrt{7} \cdot \sqrt{13} \cdot \sqrt{7}}{14\sqrt{13}}$.
Сократим дробь на $\sqrt{13}$ и перегруппируем множители:
$\frac{2 \cdot (\sqrt{7} \cdot \sqrt{7})}{14} = \frac{2 \cdot 7}{14} = \frac{14}{14} = 1$.
Ответ: 1

з) Разложим подкоренное выражение $\sqrt{85}$ на множители: $\sqrt{85} = \sqrt{5 \cdot 17}$.
$\frac{20\sqrt{17}}{3\sqrt{85} \cdot \sqrt{5}} = \frac{20\sqrt{17}}{3 \cdot \sqrt{5 \cdot 17} \cdot \sqrt{5}} = \frac{20\sqrt{17}}{3 \cdot \sqrt{5} \cdot \sqrt{17} \cdot \sqrt{5}}$.
Сократим дробь на $\sqrt{17}$ и вычислим произведение $\sqrt{5} \cdot \sqrt{5} = 5$:
$\frac{20}{3 \cdot 5} = \frac{20}{15}$.
Сократим дробь на 5:
$\frac{20}{15} = \frac{4}{3}$.
Ответ: $\frac{4}{3}$

и) Разложим подкоренные выражения на множители: $\sqrt{65} = \sqrt{5 \cdot 13}$ и $\sqrt{91} = \sqrt{7 \cdot 13}$.
$\frac{\sqrt{65} \cdot \sqrt{5}}{\sqrt{91} \cdot \sqrt{7}} = \frac{\sqrt{5 \cdot 13} \cdot \sqrt{5}}{\sqrt{7 \cdot 13} \cdot \sqrt{7}} = \frac{\sqrt{5} \cdot \sqrt{13} \cdot \sqrt{5}}{\sqrt{7} \cdot \sqrt{13} \cdot \sqrt{7}}$.
Сократим дробь на $\sqrt{13}$:
$\frac{\sqrt{5} \cdot \sqrt{5}}{\sqrt{7} \cdot \sqrt{7}} = \frac{5}{7}$.
Ответ: $\frac{5}{7}$

Помогло решение? Оставьте отзыв в комментариях ниже.

Присоединяйтесь к Телеграм-группе @gdz_by_belarus

Присоединиться

Мы подготовили для вас ответ c подробным объяснением домашего задания по алгебре за 7-9 класс, для упражнения номер 22.24 расположенного на странице 102 к сборнику задач 2020 года издания для учащихся школ и гимназий.

Теперь на нашем сайте ГДЗ.ТОП вы всегда легко и бесплатно найдёте условие с правильным ответом на вопрос «Как решить ДЗ» и «Как сделать» задание по алгебре к упражнению №22.24 (с. 102), авторов: Арефьева (Ирина Глебовна), Пирютко (Ольга Николаевна), учебного пособия издательства Народная асвета.