Номер 22.33, страница 103 - гдз по алгебре 7-9 класс сборник задач Арефьева, Пирютко

Алгебра, 7-9 класс Сборник задач, авторы: Арефьева Ирина Глебовна, Пирютко Ольга Николаевна, издательство Народная асвета, Минск, 2020

Авторы: Арефьева И. Г., Пирютко О. Н.

Тип: Сборник задач

Издательство: Народная асвета

Год издания: 2020 - 2025

Цвет обложки: синий с графиками

Допущено Министерством образования Республики Беларусь

Популярные ГДЗ в 7 классе

8 класс. Параграф 22. Свойства квадратных корней - номер 22.33, страница 103.

№22.33 (с. 103)
Условие. №22.33 (с. 103)
скриншот условия
Алгебра, 7-9 класс Сборник задач, авторы: Арефьева Ирина Глебовна, Пирютко Ольга Николаевна, издательство Народная асвета, Минск, 2020, страница 103, номер 22.33, Условие Алгебра, 7-9 класс Сборник задач, авторы: Арефьева Ирина Глебовна, Пирютко Ольга Николаевна, издательство Народная асвета, Минск, 2020, страница 103, номер 22.33, Условие (продолжение 2)

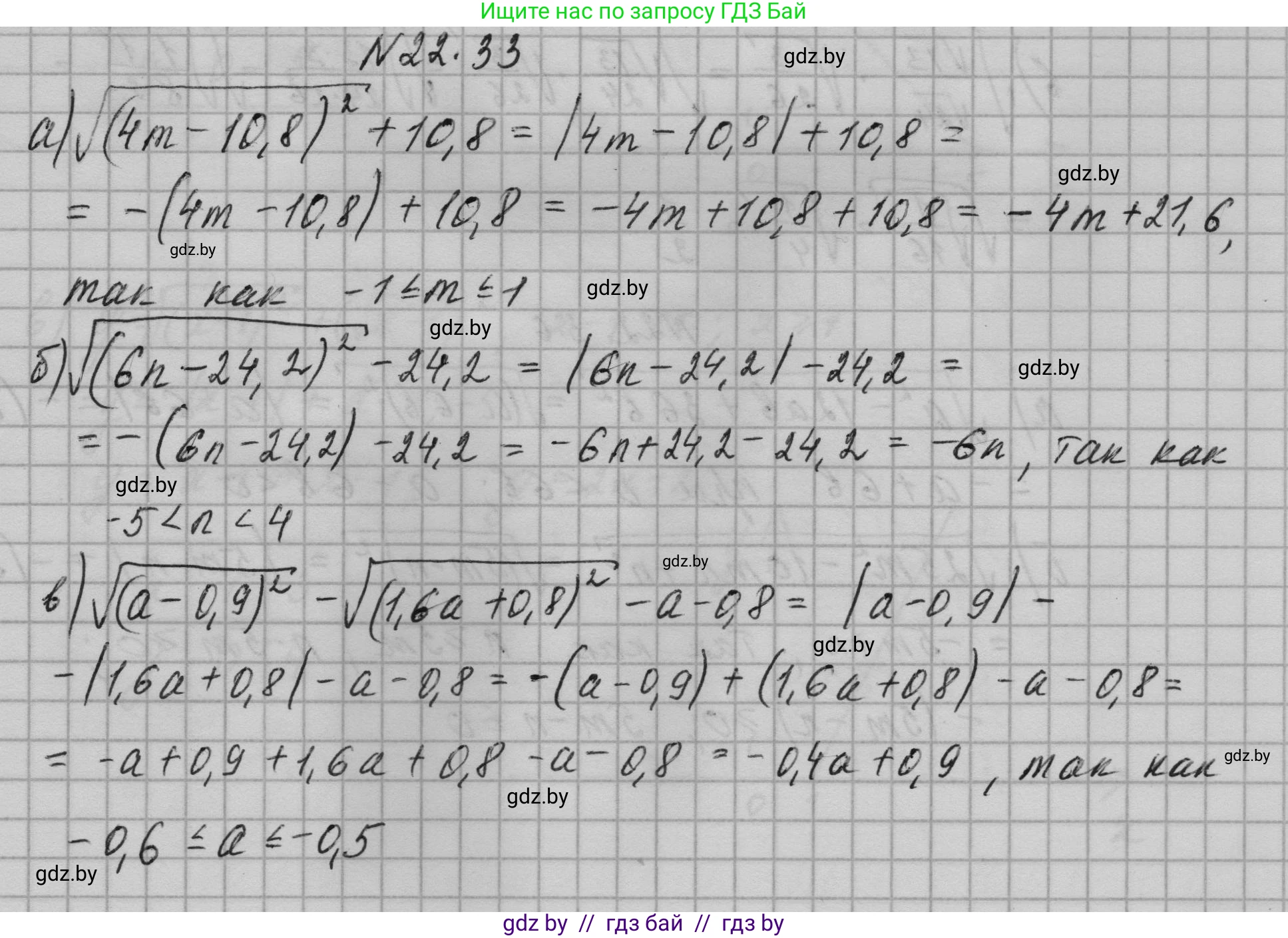
22.33*. Представьте в виде многочлена выражение:

а) $\sqrt{(4m - 10.8)^2} + 10.8$ при $-1 \leq m \leq 1;

б) $\sqrt{(6n - 24.2)^2} - 24.2$ при $-5 < n < 4;

в) $\sqrt{(a - 0.9)^2} - \sqrt{(1.6a + 0.8)^2} - a - 0.8$ при $-0.4 \leq a \leq -0.5;

г) $\sqrt{(18b - 2)^2} + \sqrt{(b + 1.7)^2} - b + 1.7$ при $-2.8 \leq b \leq -1.8.$

Решение. №22.33 (с. 103)
Алгебра, 7-9 класс Сборник задач, авторы: Арефьева Ирина Глебовна, Пирютко Ольга Николаевна, издательство Народная асвета, Минск, 2020, страница 103, номер 22.33, Решение Алгебра, 7-9 класс Сборник задач, авторы: Арефьева Ирина Глебовна, Пирютко Ольга Николаевна, издательство Народная асвета, Минск, 2020, страница 103, номер 22.33, Решение (продолжение 2)
Решение 2. №22.33 (с. 103)

а)

Для упрощения выражения $ \sqrt{(4m - 10,8)^2} + 10,8 $ при условии $ -1 \le m \le 1 $ воспользуемся свойством квадратного корня $ \sqrt{x^2} = |x| $.

$ \sqrt{(4m - 10,8)^2} + 10,8 = |4m - 10,8| + 10,8 $.

Определим знак выражения $ 4m - 10,8 $ в заданном интервале для $ m $.

Поскольку $ -1 \le m \le 1 $, умножим все части неравенства на 4:

$ 4 \cdot (-1) \le 4m \le 4 \cdot 1 $

$ -4 \le 4m \le 4 $

Теперь вычтем $ 10,8 $ из каждой части неравенства:

$ -4 - 10,8 \le 4m - 10,8 \le 4 - 10,8 $

$ -14,8 \le 4m - 10,8 \le -6,8 $

Так как выражение $ 4m - 10,8 $ всегда отрицательно в данном интервале, модуль раскрывается со знаком минус: $ |4m - 10,8| = -(4m - 10,8) = -4m + 10,8 $.

Подставим это в исходное выражение:

$ (-4m + 10,8) + 10,8 = -4m + 21,6 $.

Ответ: $ -4m + 21,6 $

б)

Упростим выражение $ \sqrt{(6n - 24,2)^2} - 24,2 $ при условии $ -5 < n < 4 $.

Применяем свойство $ \sqrt{x^2} = |x| $:

$ \sqrt{(6n - 24,2)^2} - 24,2 = |6n - 24,2| - 24,2 $.

Определим знак выражения $ 6n - 24,2 $ в заданном интервале для $ n $.

Поскольку $ -5 < n < 4 $, умножим все части неравенства на 6:

$ 6 \cdot (-5) < 6n < 6 \cdot 4 $

$ -30 < 6n < 24 $

Вычтем $ 24,2 $ из каждой части:

$ -30 - 24,2 < 6n - 24,2 < 24 - 24,2 $

$ -54,2 < 6n - 24,2 < -0,2 $

Выражение $ 6n - 24,2 $ всегда отрицательно, поэтому $ |6n - 24,2| = -(6n - 24,2) = -6n + 24,2 $.

Подставим и упростим:

$ (-6n + 24,2) - 24,2 = -6n $.

Ответ: $ -6n $

в)

Упростим выражение $ \sqrt{(a - 0,9)^2} - \sqrt{(1,6a + 0,8)^2} - a - 0,8 $ при условии $ -0,4 \le a \le -0,5 $.
Примечание: Условие $ -0,4 \le a \le -0,5 $ задает пустое множество, так как не существует числа, которое одновременно больше или равно $ -0,4 $ и меньше или равно $ -0,5 $. Вероятно, в условии допущена опечатка. Будем решать для более логичного интервала $ -0,5 \le a \le -0,4 $.

Преобразуем выражение, используя $ \sqrt{x^2} = |x| $:

$ |a - 0,9| - |1,6a + 0,8| - a - 0,8 $.

Определим знаки подмодульных выражений при $ -0,5 \le a \le -0,4 $.

1. Знак $ (a - 0,9) $:
$ -0,5 - 0,9 \le a - 0,9 \le -0,4 - 0,9 $
$ -1,4 \le a - 0,9 \le -1,3 $
Выражение отрицательно, значит $ |a - 0,9| = -(a - 0,9) = -a + 0,9 $.

2. Знак $ (1,6a + 0,8) $:
$ 1,6 \cdot (-0,5) \le 1,6a \le 1,6 \cdot (-0,4) $
$ -0,8 \le 1,6a \le -0,64 $
$ -0,8 + 0,8 \le 1,6a + 0,8 \le -0,64 + 0,8 $
$ 0 \le 1,6a + 0,8 \le 0,16 $
Выражение неотрицательно, значит $ |1,6a + 0,8| = 1,6a + 0,8 $.

Подставим раскрытые модули в выражение:

$ (-a + 0,9) - (1,6a + 0,8) - a - 0,8 $

$ -a + 0,9 - 1,6a - 0,8 - a - 0,8 $

Сгруппируем и упростим:

$ (-a - 1,6a - a) + (0,9 - 0,8 - 0,8) = -3,6a - 0,7 $.

Ответ: $ -3,6a - 0,7 $

г)

Упростим выражение $ \sqrt{(18b - 2)^2} + \sqrt{(b + 1,7)^2} - b + 1,7 $ при условии $ -2,8 \le b \le -1,8 $.

Используя $ \sqrt{x^2} = |x| $, получаем:

$ |18b - 2| + |b + 1,7| - b + 1,7 $.

Определим знаки подмодульных выражений при $ -2,8 \le b \le -1,8 $.

1. Знак $ (18b - 2) $:
$ 18 \cdot (-2,8) \le 18b \le 18 \cdot (-1,8) $
$ -50,4 \le 18b \le -32,4 $
$ -50,4 - 2 \le 18b - 2 \le -32,4 - 2 $
$ -52,4 \le 18b - 2 \le -34,4 $
Выражение отрицательно, значит $ |18b - 2| = -(18b - 2) = -18b + 2 $.

2. Знак $ (b + 1,7) $:
$ -2,8 + 1,7 \le b + 1,7 \le -1,8 + 1,7 $
$ -1,1 \le b + 1,7 \le -0,1 $
Выражение отрицательно, значит $ |b + 1,7| = -(b + 1,7) = -b - 1,7 $.

Подставим раскрытые модули в выражение:

$ (-18b + 2) + (-b - 1,7) - b + 1,7 $

$ -18b + 2 - b - 1,7 - b + 1,7 $

Сгруппируем и упростим:

$ (-18b - b - b) + (2 - 1,7 + 1,7) = -20b + 2 $.

Ответ: $ -20b + 2 $

Помогло решение? Оставьте отзыв в комментариях ниже.

Присоединяйтесь к Телеграм-группе @gdz_by_belarus

Присоединиться

Мы подготовили для вас ответ c подробным объяснением домашего задания по алгебре за 7-9 класс, для упражнения номер 22.33 расположенного на странице 103 к сборнику задач 2020 года издания для учащихся школ и гимназий.

Теперь на нашем сайте ГДЗ.ТОП вы всегда легко и бесплатно найдёте условие с правильным ответом на вопрос «Как решить ДЗ» и «Как сделать» задание по алгебре к упражнению №22.33 (с. 103), авторов: Арефьева (Ирина Глебовна), Пирютко (Ольга Николаевна), учебного пособия издательства Народная асвета.