Номер 30.16, страница 143 - гдз по алгебре 7-9 класс сборник задач Арефьева, Пирютко

Алгебра, 7-9 класс Сборник задач, авторы: Арефьева Ирина Глебовна, Пирютко Ольга Николаевна, издательство Народная асвета, Минск, 2020

Авторы: Арефьева И. Г., Пирютко О. Н.

Тип: Сборник задач

Издательство: Народная асвета

Год издания: 2020 - 2025

Цвет обложки: синий с графиками

Допущено Министерством образования Республики Беларусь

Популярные ГДЗ в 7 классе

8 класс. Параграф 30. Квадратные неравенства. Системы и совокупности квадратных неравенств - номер 30.16, страница 143.

№30.16 (с. 143)
Условие. №30.16 (с. 143)
скриншот условия
Алгебра, 7-9 класс Сборник задач, авторы: Арефьева Ирина Глебовна, Пирютко Ольга Николаевна, издательство Народная асвета, Минск, 2020, страница 143, номер 30.16, Условие

30.16. Решите неравенство:

а) $x^2 + 3x - 1 > 0;$
б) $5x^2 - 2x \le 4;$
в) $6x < x^2 - 3;$
г) $8 - 5x^2 \ge -x.$

Решение. №30.16 (с. 143)
Алгебра, 7-9 класс Сборник задач, авторы: Арефьева Ирина Глебовна, Пирютко Ольга Николаевна, издательство Народная асвета, Минск, 2020, страница 143, номер 30.16, Решение Алгебра, 7-9 класс Сборник задач, авторы: Арефьева Ирина Глебовна, Пирютко Ольга Николаевна, издательство Народная асвета, Минск, 2020, страница 143, номер 30.16, Решение (продолжение 2) Алгебра, 7-9 класс Сборник задач, авторы: Арефьева Ирина Глебовна, Пирютко Ольга Николаевна, издательство Народная асвета, Минск, 2020, страница 143, номер 30.16, Решение (продолжение 3) Алгебра, 7-9 класс Сборник задач, авторы: Арефьева Ирина Глебовна, Пирютко Ольга Николаевна, издательство Народная асвета, Минск, 2020, страница 143, номер 30.16, Решение (продолжение 4)
Решение 2. №30.16 (с. 143)

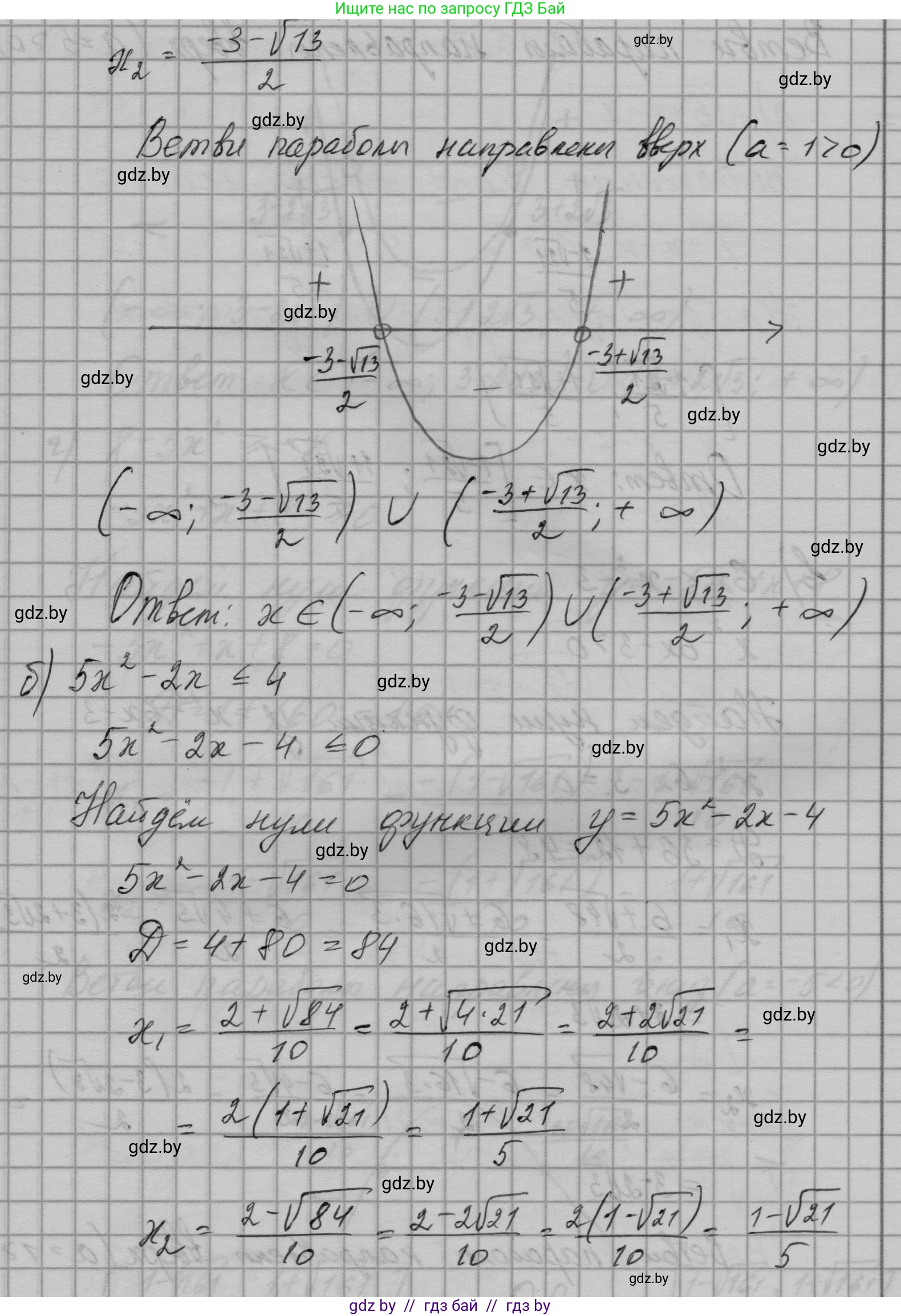
а) Для решения неравенства $x^2+3x-1>0$ найдем корни соответствующего квадратного уравнения $x^2+3x-1=0$. Для этого вычислим дискриминант: $D = b^2 - 4ac = 3^2 - 4 \cdot 1 \cdot (-1) = 9 + 4 = 13$. Так как дискриминант больше нуля, уравнение имеет два действительных корня: $x_{1,2} = \frac{-b \pm \sqrt{D}}{2a} = \frac{-3 \pm \sqrt{13}}{2}$. Графиком функции $y=x^2+3x-1$ является парабола, ветви которой направлены вверх, поскольку коэффициент при $x^2$ положителен ($a=1 > 0$). Неравенство $x^2+3x-1>0$ выполняется, когда значения функции положительны, то есть когда график параболы находится выше оси абсцисс. Это происходит на интервалах левее меньшего корня и правее большего корня. Ответ: $(-\infty; \frac{-3-\sqrt{13}}{2}) \cup (\frac{-3+\sqrt{13}}{2}; +\infty)$.

б) Преобразуем неравенство $5x^2-2x \le 4$ к стандартному виду, перенеся все члены в левую часть: $5x^2-2x-4 \le 0$. Найдем корни квадратного уравнения $5x^2-2x-4=0$. Вычислим дискриминант: $D = b^2 - 4ac = (-2)^2 - 4 \cdot 5 \cdot (-4) = 4 + 80 = 84$. Корни уравнения: $x_{1,2} = \frac{-b \pm \sqrt{D}}{2a} = \frac{2 \pm \sqrt{84}}{2 \cdot 5} = \frac{2 \pm 2\sqrt{21}}{10} = \frac{1 \pm \sqrt{21}}{5}$. Ветви параболы $y=5x^2-2x-4$ направлены вверх ($a=5 > 0$). Неравенство $5x^2-2x-4 \le 0$ выполняется, когда значения функции неположительны, то есть когда график параболы находится ниже или на оси абсцисс. Это происходит на отрезке между корнями, включая сами корни. Ответ: $[\frac{1-\sqrt{21}}{5}; \frac{1+\sqrt{21}}{5}]$.

в) Перенесем все члены неравенства $6x < x^2-3$ в одну часть: $x^2-6x-3 > 0$. Найдем корни уравнения $x^2-6x-3=0$. Вычислим дискриминант: $D = b^2 - 4ac = (-6)^2 - 4 \cdot 1 \cdot (-3) = 36 + 12 = 48$. Корни уравнения: $x_{1,2} = \frac{-b \pm \sqrt{D}}{2a} = \frac{6 \pm \sqrt{48}}{2} = \frac{6 \pm 4\sqrt{3}}{2} = 3 \pm 2\sqrt{3}$. Ветви параболы $y=x^2-6x-3$ направлены вверх ($a=1 > 0$). Неравенство $x^2-6x-3 > 0$ выполняется, когда график параболы находится выше оси абсцисс. Это происходит на интервалах вне отрезка между корнями. Ответ: $(-\infty; 3-2\sqrt{3}) \cup (3+2\sqrt{3}; +\infty)$.

г) Преобразуем неравенство $8-5x^2 \ge -x$, перенеся все члены в левую часть: $-5x^2+x+8 \ge 0$. Для удобства умножим обе части неравенства на -1, изменив при этом знак неравенства на противоположный: $5x^2-x-8 \le 0$. Найдем корни уравнения $5x^2-x-8=0$. Вычислим дискриминант: $D = b^2 - 4ac = (-1)^2 - 4 \cdot 5 \cdot (-8) = 1 + 160 = 161$. Корни уравнения: $x_{1,2} = \frac{-b \pm \sqrt{D}}{2a} = \frac{1 \pm \sqrt{161}}{2 \cdot 5} = \frac{1 \pm \sqrt{161}}{10}$. Ветви параболы $y=5x^2-x-8$ направлены вверх ($a=5 > 0$). Неравенство $5x^2-x-8 \le 0$ выполняется, когда график параболы находится ниже или на оси абсцисс. Это происходит на отрезке между корнями, включая сами корни. Ответ: $[\frac{1-\sqrt{161}}{10}; \frac{1+\sqrt{161}}{10}]$.

Помогло решение? Оставьте отзыв в комментариях ниже.

Присоединяйтесь к Телеграм-группе @gdz_by_belarus

Присоединиться

Мы подготовили для вас ответ c подробным объяснением домашего задания по алгебре за 7-9 класс, для упражнения номер 30.16 расположенного на странице 143 к сборнику задач 2020 года издания для учащихся школ и гимназий.

Теперь на нашем сайте ГДЗ.ТОП вы всегда легко и бесплатно найдёте условие с правильным ответом на вопрос «Как решить ДЗ» и «Как сделать» задание по алгебре к упражнению №30.16 (с. 143), авторов: Арефьева (Ирина Глебовна), Пирютко (Ольга Николаевна), учебного пособия издательства Народная асвета.