Номер 30.20, страница 144 - гдз по алгебре 7-9 класс сборник задач Арефьева, Пирютко

Алгебра, 7-9 класс Сборник задач, авторы: Арефьева Ирина Глебовна, Пирютко Ольга Николаевна, издательство Народная асвета, Минск, 2020

Авторы: Арефьева И. Г., Пирютко О. Н.

Тип: Сборник задач

Издательство: Народная асвета

Год издания: 2020 - 2025

Цвет обложки: синий с графиками

Допущено Министерством образования Республики Беларусь

Популярные ГДЗ в 7 классе

8 класс. Параграф 30. Квадратные неравенства. Системы и совокупности квадратных неравенств - номер 30.20, страница 144.

№30.20 (с. 144)
Условие. №30.20 (с. 144)
скриншот условия
Алгебра, 7-9 класс Сборник задач, авторы: Арефьева Ирина Глебовна, Пирютко Ольга Николаевна, издательство Народная асвета, Минск, 2020, страница 144, номер 30.20, Условие

30.20. Выполните необходимые тождественные преобразования и решите неравенство:

а) $x(9-x) < 20;$

б) $5x(x-1) \ge 3 - 3x;$

в) $x(5x+3) \ge x^2 - 4x;$

г) $(x+7)(x-2) < 5x;$

д) $x(5-x) > 2(x-20);$

е) $(x+2)(x+6) \le 5;$

ж) $(x+4)(x+5) \le 20;$

з) $x^2 - 3 > (2x-3)(x+1);$

и) $(3x+5)(4-x) \le (x-1)(1-2x);$

к) $(4x-1)(x-1) < 2(x+6)(x-2);$

л) $(3x+1)(x-4) - (2x-6)(x-2) > 4;$

м) $(2x-3)(x+4) - 10 \ge (5x-6)(x-3).$

Решение. №30.20 (с. 144)
Алгебра, 7-9 класс Сборник задач, авторы: Арефьева Ирина Глебовна, Пирютко Ольга Николаевна, издательство Народная асвета, Минск, 2020, страница 144, номер 30.20, Решение Алгебра, 7-9 класс Сборник задач, авторы: Арефьева Ирина Глебовна, Пирютко Ольга Николаевна, издательство Народная асвета, Минск, 2020, страница 144, номер 30.20, Решение (продолжение 2) Алгебра, 7-9 класс Сборник задач, авторы: Арефьева Ирина Глебовна, Пирютко Ольга Николаевна, издательство Народная асвета, Минск, 2020, страница 144, номер 30.20, Решение (продолжение 3) Алгебра, 7-9 класс Сборник задач, авторы: Арефьева Ирина Глебовна, Пирютко Ольга Николаевна, издательство Народная асвета, Минск, 2020, страница 144, номер 30.20, Решение (продолжение 4) Алгебра, 7-9 класс Сборник задач, авторы: Арефьева Ирина Глебовна, Пирютко Ольга Николаевна, издательство Народная асвета, Минск, 2020, страница 144, номер 30.20, Решение (продолжение 5) Алгебра, 7-9 класс Сборник задач, авторы: Арефьева Ирина Глебовна, Пирютко Ольга Николаевна, издательство Народная асвета, Минск, 2020, страница 144, номер 30.20, Решение (продолжение 6) Алгебра, 7-9 класс Сборник задач, авторы: Арефьева Ирина Глебовна, Пирютко Ольга Николаевна, издательство Народная асвета, Минск, 2020, страница 144, номер 30.20, Решение (продолжение 7) Алгебра, 7-9 класс Сборник задач, авторы: Арефьева Ирина Глебовна, Пирютко Ольга Николаевна, издательство Народная асвета, Минск, 2020, страница 144, номер 30.20, Решение (продолжение 8) Алгебра, 7-9 класс Сборник задач, авторы: Арефьева Ирина Глебовна, Пирютко Ольга Николаевна, издательство Народная асвета, Минск, 2020, страница 144, номер 30.20, Решение (продолжение 9) Алгебра, 7-9 класс Сборник задач, авторы: Арефьева Ирина Глебовна, Пирютко Ольга Николаевна, издательство Народная асвета, Минск, 2020, страница 144, номер 30.20, Решение (продолжение 10) Алгебра, 7-9 класс Сборник задач, авторы: Арефьева Ирина Глебовна, Пирютко Ольга Николаевна, издательство Народная асвета, Минск, 2020, страница 144, номер 30.20, Решение (продолжение 11)
Решение 2. №30.20 (с. 144)

а) $x(9 - x) < 20$

Раскроем скобки: $9x - x^2 < 20$.

Перенесем все члены в правую часть, чтобы получить стандартное квадратное неравенство: $0 < x^2 - 9x + 20$.

Это эквивалентно $x^2 - 9x + 20 > 0$.

Найдем корни соответствующего квадратного уравнения $x^2 - 9x + 20 = 0$.

Используя теорему Виета, находим корни: $x_1 = 4$ и $x_2 = 5$ (так как $4 + 5 = 9$ и $4 \cdot 5 = 20$).

Графиком функции $y = x^2 - 9x + 20$ является парабола, ветви которой направлены вверх (коэффициент при $x^2$ равен 1, что больше 0). Следовательно, выражение принимает положительные значения вне интервала между корнями.

Таким образом, решение неравенства: $x < 4$ или $x > 5$.

Ответ: $(-\infty; 4) \cup (5; \infty)$

б) $5x(x - 1) \ge 3 - 3x$

Раскроем скобки: $5x^2 - 5x \ge 3 - 3x$.

Перенесем все члены в левую часть: $5x^2 - 5x + 3x - 3 \ge 0$.

Упростим: $5x^2 - 2x - 3 \ge 0$.

Найдем корни уравнения $5x^2 - 2x - 3 = 0$.

Вычислим дискриминант: $D = (-2)^2 - 4 \cdot 5 \cdot (-3) = 4 + 60 = 64$.

Корни уравнения: $x = \frac{2 \pm \sqrt{64}}{2 \cdot 5} = \frac{2 \pm 8}{10}$.

$x_1 = \frac{2 - 8}{10} = \frac{-6}{10} = -0.6$.

$x_2 = \frac{2 + 8}{10} = \frac{10}{10} = 1$.

Парабола $y = 5x^2 - 2x - 3$ имеет ветви, направленные вверх ($a=5 > 0$). Неравенство $\ge 0$ выполняется на корнях и вне интервала между ними.

Решение: $x \le -0.6$ или $x \ge 1$.

Ответ: $(-\infty; -0.6] \cup [1; \infty)$

в) $x(5x + 3) \ge x^2 - 4x$

Раскроем скобки: $5x^2 + 3x \ge x^2 - 4x$.

Перенесем все члены в левую часть: $5x^2 - x^2 + 3x + 4x \ge 0$.

Упростим: $4x^2 + 7x \ge 0$.

Вынесем $x$ за скобки: $x(4x + 7) \ge 0$.

Найдем корни уравнения $x(4x + 7) = 0$. Корни: $x_1 = 0$ и $x_2 = -7/4 = -1.75$.

Парабола $y = 4x^2 + 7x$ имеет ветви, направленные вверх ($a=4 > 0$). Неравенство $\ge 0$ выполняется на корнях и вне интервала между ними.

Решение: $x \le -7/4$ или $x \ge 0$.

Ответ: $(-\infty; -7/4] \cup [0; \infty)$

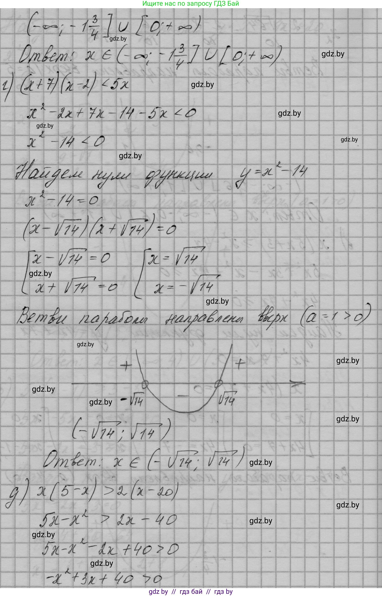
г) $(x + 7)(x - 2) < 5x$

Раскроем скобки в левой части: $x^2 - 2x + 7x - 14 < 5x$.

Упростим: $x^2 + 5x - 14 < 5x$.

Перенесем $5x$ в левую часть: $x^2 + 5x - 5x - 14 < 0$.

Получим: $x^2 - 14 < 0$.

Найдем корни уравнения $x^2 - 14 = 0$, откуда $x^2 = 14$, $x = \pm\sqrt{14}$.

Парабола $y = x^2 - 14$ имеет ветви, направленные вверх. Неравенство $< 0$ выполняется в интервале между корнями.

Решение: $-\sqrt{14} < x < \sqrt{14}$.

Ответ: $(-\sqrt{14}; \sqrt{14})$

д) $x(5 - x) > 2(x - 20)$

Раскроем скобки: $5x - x^2 > 2x - 40$.

Перенесем все члены в правую часть: $0 > x^2 - 5x + 2x - 40$.

Упростим: $x^2 - 3x - 40 < 0$.

Найдем корни уравнения $x^2 - 3x - 40 = 0$.

По теореме Виета: $x_1 = 8$, $x_2 = -5$.

Парабола $y = x^2 - 3x - 40$ имеет ветви, направленные вверх. Неравенство $< 0$ выполняется в интервале между корнями.

Решение: $-5 < x < 8$.

Ответ: $(-5; 8)$

е) $(x + 2)(x + 6) \le 5$

Раскроем скобки: $x^2 + 6x + 2x + 12 \le 5$.

Упростим: $x^2 + 8x + 12 \le 5$.

Перенесем 5 в левую часть: $x^2 + 8x + 7 \le 0$.

Найдем корни уравнения $x^2 + 8x + 7 = 0$.

По теореме Виета: $x_1 = -7$, $x_2 = -1$.

Парабола $y = x^2 + 8x + 7$ имеет ветви, направленные вверх. Неравенство $\le 0$ выполняется на корнях и в интервале между ними.

Решение: $-7 \le x \le -1$.

Ответ: $[-7; -1]$

ж) $(x + 4)(x + 5) \le 20$

Раскроем скобки: $x^2 + 5x + 4x + 20 \le 20$.

Упростим: $x^2 + 9x + 20 \le 20$.

Перенесем 20 в левую часть: $x^2 + 9x \le 0$.

Вынесем $x$ за скобки: $x(x + 9) \le 0$.

Корни уравнения $x(x + 9) = 0$: $x_1 = 0$, $x_2 = -9$.

Парабола $y = x^2 + 9x$ имеет ветви, направленные вверх. Неравенство $\le 0$ выполняется на корнях и в интервале между ними.

Решение: $-9 \le x \le 0$.

Ответ: $[-9; 0]$

з) $x^2 - 3 > (2x - 3)(x + 1)$

Раскроем скобки в правой части: $x^2 - 3 > 2x^2 + 2x - 3x - 3$.

Упростим правую часть: $x^2 - 3 > 2x^2 - x - 3$.

Перенесем все члены в правую часть: $0 > 2x^2 - x^2 - x - 3 + 3$.

Упростим: $0 > x^2 - x$, или $x^2 - x < 0$.

Вынесем $x$ за скобки: $x(x - 1) < 0$.

Корни уравнения $x(x - 1) = 0$: $x_1 = 0$, $x_2 = 1$.

Парабола $y = x^2 - x$ имеет ветви, направленные вверх. Неравенство $< 0$ выполняется в интервале между корнями.

Решение: $0 < x < 1$.

Ответ: $(0; 1)$

и) $(3x + 5)(4 - x) \le (x - 1)(1 - 2x)$

Раскроем скобки с обеих сторон: $12x - 3x^2 + 20 - 5x \le x - 2x^2 - 1 + 2x$.

Упростим обе части: $-3x^2 + 7x + 20 \le -2x^2 + 3x - 1$.

Перенесем все члены в правую часть: $0 \le -2x^2 + 3x^2 + 3x - 7x - 1 - 20$.

Упростим: $0 \le x^2 - 4x - 21$, или $x^2 - 4x - 21 \ge 0$.

Найдем корни уравнения $x^2 - 4x - 21 = 0$.

По теореме Виета: $x_1 = 7$, $x_2 = -3$.

Парабола $y = x^2 - 4x - 21$ имеет ветви, направленные вверх. Неравенство $\ge 0$ выполняется на корнях и вне интервала между ними.

Решение: $x \le -3$ или $x \ge 7$.

Ответ: $(-\infty; -3] \cup [7; \infty)$

к) $(4x - 1)(x - 1) < 2(x + 6)(x - 2)$

Раскроем скобки: $4x^2 - 4x - x + 1 < 2(x^2 - 2x + 6x - 12)$.

Упростим: $4x^2 - 5x + 1 < 2(x^2 + 4x - 12)$.

$4x^2 - 5x + 1 < 2x^2 + 8x - 24$.

Перенесем все члены в левую часть: $4x^2 - 2x^2 - 5x - 8x + 1 + 24 < 0$.

Упростим: $2x^2 - 13x + 25 < 0$.

Найдем дискриминант уравнения $2x^2 - 13x + 25 = 0$:
$D = (-13)^2 - 4 \cdot 2 \cdot 25 = 169 - 200 = -31$.

Поскольку дискриминант $D < 0$ и коэффициент при $x^2$ положителен ($a=2 > 0$), квадратный трехчлен $2x^2 - 13x + 25$ принимает только положительные значения при любом $x$.

Следовательно, неравенство $2x^2 - 13x + 25 < 0$ не имеет решений.

Ответ: нет решений

л) $(3x + 1)(x - 4) - (2x - 6)(x - 2) > 4$

Раскроем скобки: $(3x^2 - 12x + x - 4) - (2x^2 - 4x - 6x + 12) > 4$.

Упростим выражения в скобках: $(3x^2 - 11x - 4) - (2x^2 - 10x + 12) > 4$.

Раскроем вторые скобки: $3x^2 - 11x - 4 - 2x^2 + 10x - 12 > 4$.

Приведем подобные члены: $x^2 - x - 16 > 4$.

Перенесем 4 в левую часть: $x^2 - x - 20 > 0$.

Найдем корни уравнения $x^2 - x - 20 = 0$.

По теореме Виета: $x_1 = 5$, $x_2 = -4$.

Парабола $y = x^2 - x - 20$ имеет ветви, направленные вверх. Неравенство $> 0$ выполняется вне интервала между корнями.

Решение: $x < -4$ или $x > 5$.

Ответ: $(-\infty; -4) \cup (5; \infty)$

м) $(2x - 3)(x + 4) - 10 \ge (5x - 6)(x - 3)$

Раскроем скобки: $(2x^2 + 8x - 3x - 12) - 10 \ge 5x^2 - 15x - 6x + 18$.

Упростим обе части: $2x^2 + 5x - 22 \ge 5x^2 - 21x + 18$.

Перенесем все члены в правую часть: $0 \ge 5x^2 - 2x^2 - 21x - 5x + 18 + 22$.

Упростим: $0 \ge 3x^2 - 26x + 40$, или $3x^2 - 26x + 40 \le 0$.

Найдем корни уравнения $3x^2 - 26x + 40 = 0$.

Вычислим дискриминант: $D = (-26)^2 - 4 \cdot 3 \cdot 40 = 676 - 480 = 196 = 14^2$.

Корни уравнения: $x = \frac{26 \pm 14}{2 \cdot 3} = \frac{26 \pm 14}{6}$.

$x_1 = \frac{26 - 14}{6} = \frac{12}{6} = 2$.

$x_2 = \frac{26 + 14}{6} = \frac{40}{6} = \frac{20}{3}$.

Парабола $y = 3x^2 - 26x + 40$ имеет ветви, направленные вверх. Неравенство $\le 0$ выполняется на корнях и в интервале между ними.

Решение: $2 \le x \le \frac{20}{3}$.

Ответ: $[2; \frac{20}{3}]$

Помогло решение? Оставьте отзыв в комментариях ниже.

Присоединяйтесь к Телеграм-группе @gdz_by_belarus

Присоединиться

Мы подготовили для вас ответ c подробным объяснением домашего задания по алгебре за 7-9 класс, для упражнения номер 30.20 расположенного на странице 144 к сборнику задач 2020 года издания для учащихся школ и гимназий.

Теперь на нашем сайте ГДЗ.ТОП вы всегда легко и бесплатно найдёте условие с правильным ответом на вопрос «Как решить ДЗ» и «Как сделать» задание по алгебре к упражнению №30.20 (с. 144), авторов: Арефьева (Ирина Глебовна), Пирютко (Ольга Николаевна), учебного пособия издательства Народная асвета.