Номер 1.114, страница 27 - гдз по алгебре 7 класс учебник Арефьева, Пирютко

Алгебра, 7 класс Учебник, авторы: Арефьева Ирина Глебовна, Пирютко Ольга Николаевна, издательство Народная асвета, Минск, 2022, зелёного цвета

Авторы: Арефьева И. Г., Пирютко О. Н.

Тип: Учебник

Издательство: Народная асвета

Год издания: 2022 - 2025

Цвет обложки: зелёный с графиком

ISBN: ISBN 978-985-03-3770-2

Допущено Министерством образования Республики Беларусь

Популярные ГДЗ в 7 классе

Глава 1. Степень с натуральным и целым показателями. Параграф 2. Степень с целым показателем и ее свойства - номер 1.114, страница 27.

№1.114 (с. 27)
Условие. №1.114 (с. 27)
скриншот условия
Алгебра, 7 класс Учебник, авторы: Арефьева Ирина Глебовна, Пирютко Ольга Николаевна, издательство Народная асвета, Минск, 2022, зелёного цвета, страница 27, номер 1.114, Условие

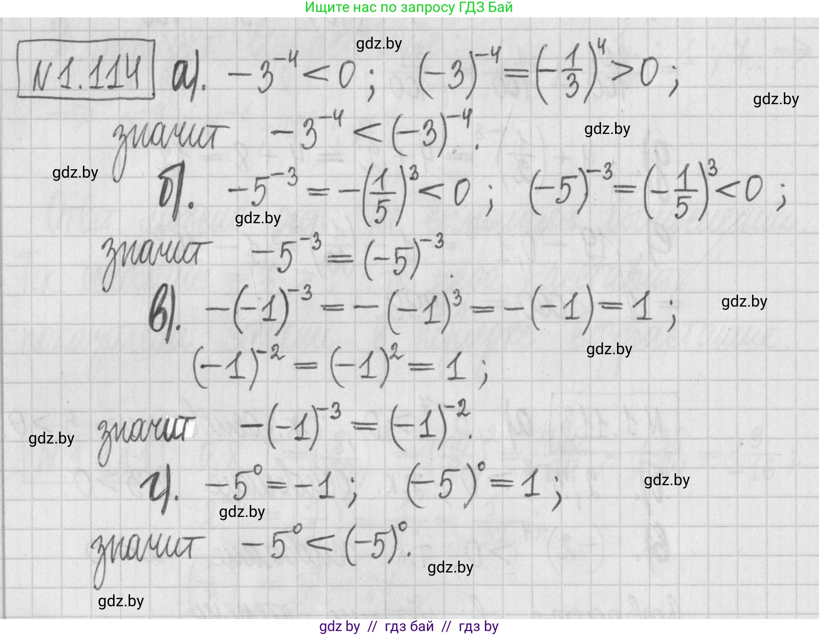
1.114. Используйте определение степени с целым показателем и сравните значения выражений:

а) $-3^{-4}$ и $(-3)^{-4}$;

б) $-5^{-3}$ и $(-5)^{-3}$;

в) $-(-1)^{-3}$ и $(-1)^{-2}$;

г) $-5^{0}$ и $(-5)^{0}$.

Решение. №1.114 (с. 27)
Алгебра, 7 класс Учебник, авторы: Арефьева Ирина Глебовна, Пирютко Ольга Николаевна, издательство Народная асвета, Минск, 2022, зелёного цвета, страница 27, номер 1.114, Решение
Решение 2. №1.114 (с. 27)

Для решения задачи воспользуемся определениями степени с целым показателем и правилами порядка выполнения математических операций.

  • Определение степени с целым отрицательным показателем: для любого числа $a \neq 0$ и целого положительного числа $n$ справедливо равенство $a^{-n} = \frac{1}{a^n}$.
  • Определение степени с нулевым показателем: для любого числа $a \neq 0$ справедливо равенство $a^0 = 1$.
  • Порядок действий: операция возведения в степень выполняется до унарного минуса (отрицания). Например, $-a^n$ означает $-(a^n)$, а не $(-a)^n$.

а) -3-4 и (-3)-4

Вычислим значение каждого выражения.

1. Для выражения $-3^{-4}$ сначала вычисляется степень, а затем применяется знак минуса:
$ -3^{-4} = -(3^{-4}) = -\left(\frac{1}{3^4}\right) = -\frac{1}{81} $

2. Для выражения $(-3)^{-4}$ в степень возводится основание $-3$:
$ (-3)^{-4} = \frac{1}{(-3)^4} $
Так как показатель степени 4 — четное число, результат возведения отрицательного числа в степень будет положительным:
$ (-3)^4 = 81 $, следовательно, $ (-3)^{-4} = \frac{1}{81} $

3. Сравниваем полученные значения:
$ -\frac{1}{81} < \frac{1}{81} $

Ответ: $-3^{-4} < (-3)^{-4}$.


б) -5-3 и (-5)-3

Вычислим значение каждого выражения.

1. Для выражения $-5^{-3}$:
$ -5^{-3} = -(5^{-3}) = -\left(\frac{1}{5^3}\right) = -\frac{1}{125} $

2. Для выражения $(-5)^{-3}$:
$ (-5)^{-3} = \frac{1}{(-5)^3} $
Так как показатель степени 3 — нечетное число, результат возведения отрицательного числа в степень будет отрицательным:
$ (-5)^3 = -125 $, следовательно, $ (-5)^{-3} = \frac{1}{-125} = -\frac{1}{125} $

3. Сравниваем полученные значения:
$ -\frac{1}{125} = -\frac{1}{125} $

Ответ: $-5^{-3} = (-5)^{-3}$.


в) -(-1)-3 и (-1)-2

Вычислим значение каждого выражения.

1. Для выражения $-(-1)^{-3}$ сначала найдем значение в скобках:
$ (-1)^{-3} = \frac{1}{(-1)^3} = \frac{1}{-1} = -1 $
Теперь применим внешний знак минуса:
$ -(-1) = 1 $

2. Для выражения $(-1)^{-2}$:
$ (-1)^{-2} = \frac{1}{(-1)^2} = \frac{1}{1} = 1 $

3. Сравниваем полученные значения:
$ 1 = 1 $

Ответ: $-(-1)^{-3} = (-1)^{-2}$.


г) -50 и (-5)0

Вычислим значение каждого выражения, используя определение степени с нулевым показателем.

1. Для выражения $-5^0$:
$ -5^0 = -(5^0) = -1 $

2. Для выражения $(-5)^0$, где основание равно $-5$:
$ (-5)^0 = 1 $

3. Сравниваем полученные значения:
$ -1 < 1 $

Ответ: $-5^0 < (-5)^0$.

Помогло решение? Оставьте отзыв в комментариях ниже.

Присоединяйтесь к Телеграм-группе @gdz_by_belarus

Присоединиться

Мы подготовили для вас ответ c подробным объяснением домашего задания по алгебре за 7 класс, для упражнения номер 1.114 расположенного на странице 27 к учебнику 2022 года издания для учащихся школ и гимназий.

Теперь на нашем сайте ГДЗ.ТОП вы всегда легко и бесплатно найдёте условие с правильным ответом на вопрос «Как решить ДЗ» и «Как сделать» задание по алгебре к упражнению №1.114 (с. 27), авторов: Арефьева (Ирина Глебовна), Пирютко (Ольга Николаевна), учебного пособия издательства Народная асвета.