Номер 1.118, страница 28 - гдз по алгебре 7 класс учебник Арефьева, Пирютко

Алгебра, 7 класс Учебник, авторы: Арефьева Ирина Глебовна, Пирютко Ольга Николаевна, издательство Народная асвета, Минск, 2022, зелёного цвета

Авторы: Арефьева И. Г., Пирютко О. Н.

Тип: Учебник

Издательство: Народная асвета

Год издания: 2022 - 2025

Цвет обложки: зелёный с графиком

ISBN: ISBN 978-985-03-3770-2

Допущено Министерством образования Республики Беларусь

Популярные ГДЗ в 7 классе

Глава 1. Степень с натуральным и целым показателями. Параграф 2. Степень с целым показателем и ее свойства - номер 1.118, страница 28.

№1.118 (с. 28)
Условие. №1.118 (с. 28)
скриншот условия
Алгебра, 7 класс Учебник, авторы: Арефьева Ирина Глебовна, Пирютко Ольга Николаевна, издательство Народная асвета, Минск, 2022, зелёного цвета, страница 28, номер 1.118, Условие

1.118. Представьте выражение в виде степени и найдите его значение:

а) $3^7 \cdot 3^{-5}$;

б) $2^{-8} \cdot 2^5$;

в) $49 \cdot 7^{-3}$;

г) $3 : 3^{-3}$;

д) $16 : 2^{-3}$;

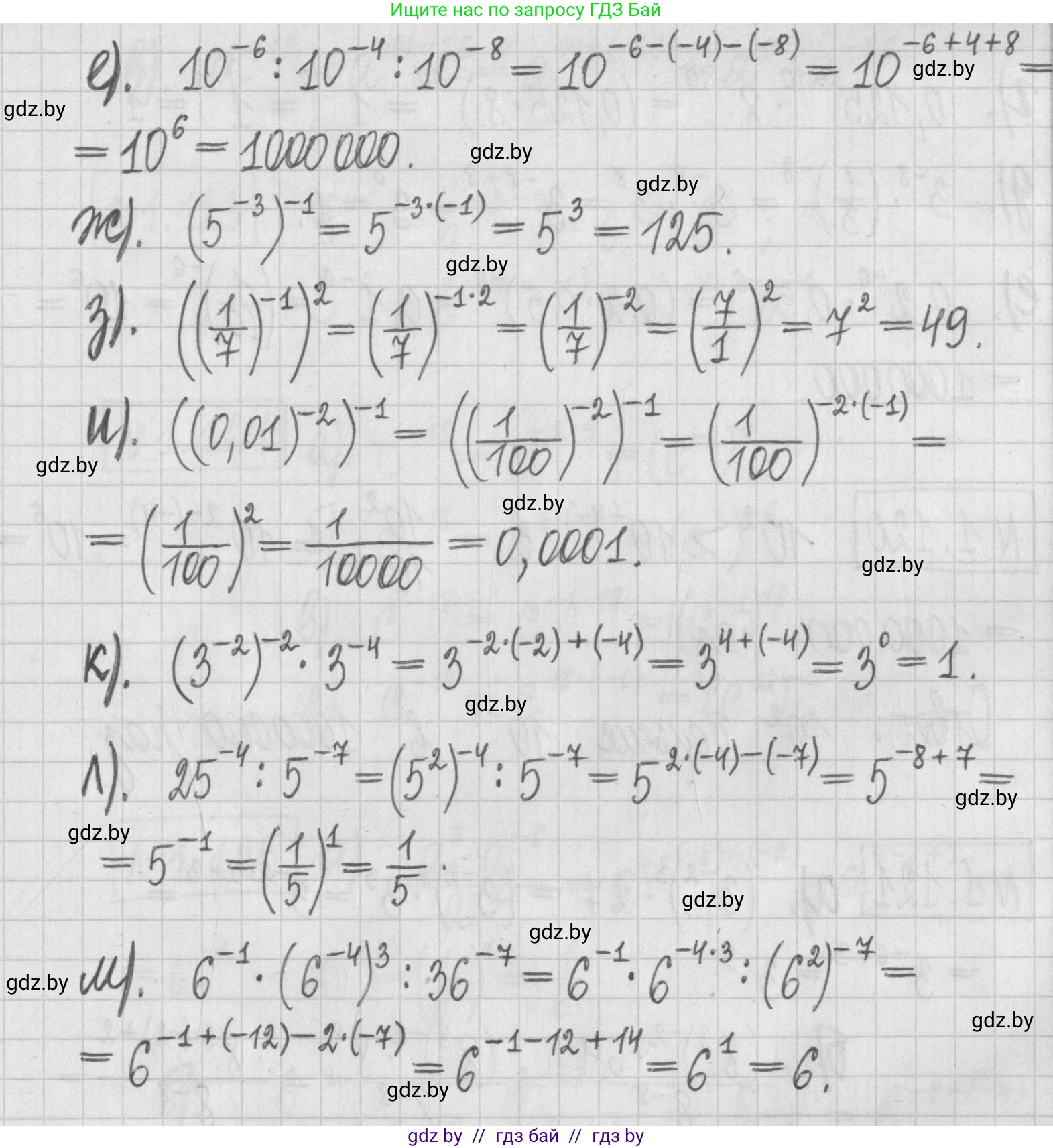
е) $10^{-6} : 10^{-4} : 10^{-8}$;

ж) $(5^{-3})^{-1}$;

з) $(\left(\frac{1}{7}\right)^{-1})^2$;

и) $((0,01)^{-2})^{-1}$;

к) $(3^{-2})^{-2} \cdot 3^{-4}$;

л) $25^{-4} : 5^{-7}$;

м) $6^{-1} \cdot (6^{-4})^3 : 36^{-7}$.

Решение. №1.118 (с. 28)
Алгебра, 7 класс Учебник, авторы: Арефьева Ирина Глебовна, Пирютко Ольга Николаевна, издательство Народная асвета, Минск, 2022, зелёного цвета, страница 28, номер 1.118, Решение Алгебра, 7 класс Учебник, авторы: Арефьева Ирина Глебовна, Пирютко Ольга Николаевна, издательство Народная асвета, Минск, 2022, зелёного цвета, страница 28, номер 1.118, Решение (продолжение 2)
Решение 2. №1.118 (с. 28)

а) $3^7 \cdot 3^{-5}$

Для умножения степеней с одинаковым основанием нужно сложить их показатели. Основание остается прежним.

$3^7 \cdot 3^{-5} = 3^{7 + (-5)} = 3^{7-5} = 3^2$

Теперь найдем значение выражения:

$3^2 = 9$

Ответ: 9


б) $2^{-8} \cdot 2^5$

Используем правило умножения степеней с одинаковым основанием:

$2^{-8} \cdot 2^5 = 2^{-8+5} = 2^{-3}$

Степень с отрицательным показателем равна дроби, в числителе которой единица, а в знаменателе — та же степень, но с положительным показателем:

$2^{-3} = \frac{1}{2^3} = \frac{1}{8}$

Ответ: $\frac{1}{8}$


в) $49 \cdot 7^{-3}$

Сначала представим число 49 в виде степени с основанием 7:

$49 = 7^2$

Теперь подставим это в исходное выражение и применим правило умножения степеней:

$7^2 \cdot 7^{-3} = 7^{2+(-3)} = 7^{2-3} = 7^{-1}$

Найдем значение:

$7^{-1} = \frac{1}{7}$

Ответ: $\frac{1}{7}$


г) $3 : 3^{-3}$

Любое число без показателя степени можно представить как это число в первой степени: $3 = 3^1$.

При делении степеней с одинаковым основанием их показатели вычитаются:

$3^1 : 3^{-3} = 3^{1 - (-3)} = 3^{1+3} = 3^4$

Найдем значение:

$3^4 = 81$

Ответ: 81


д) $16 : 2^{-3}$

Представим число 16 как степень с основанием 2:

$16 = 2^4$

Подставим и применим правило деления степеней:

$2^4 : 2^{-3} = 2^{4 - (-3)} = 2^{4+3} = 2^7$

Найдем значение:

$2^7 = 128$

Ответ: 128


е) $10^{-6} : 10^{-4} : 10^{-8}$

Выполним действия по порядку, используя правило деления степеней:

$10^{-6} : 10^{-4} = 10^{-6 - (-4)} = 10^{-6+4} = 10^{-2}$

Теперь разделим результат на $10^{-8}$:

$10^{-2} : 10^{-8} = 10^{-2 - (-8)} = 10^{-2+8} = 10^6$

Найдем значение:

$10^6 = 1 000 000$

Ответ: 1000000


ж) $(5^{-3})^{-1}$

При возведении степени в степень их показатели перемножаются:

$(5^{-3})^{-1} = 5^{(-3) \cdot (-1)} = 5^3$

Найдем значение:

$5^3 = 125$

Ответ: 125


з) $((\frac{1}{7})^{-1})^2$

Сначала выполним действие во внутренних скобках. Отрицательная степень "переворачивает" дробь:

$(\frac{1}{7})^{-1} = \frac{7}{1} = 7$

Теперь возведем результат в квадрат:

$(7)^2 = 49$

Альтернативный способ — перемножить показатели: $((\frac{1}{7})^{-1})^2 = (\frac{1}{7})^{-1 \cdot 2} = (\frac{1}{7})^{-2} = 7^2 = 49$.

Ответ: 49


и) $((0,01)^{-2})^{-1}$

Представим 0,01 в виде степени числа 10:

$0,01 = \frac{1}{100} = \frac{1}{10^2} = 10^{-2}$

Подставим в выражение и применим правило возведения степени в степень (перемножим все показатели):

$((10^{-2})^{-2})^{-1} = 10^{(-2) \cdot (-2) \cdot (-1)} = 10^{-4}$

Найдем значение:

$10^{-4} = \frac{1}{10^4} = \frac{1}{10000} = 0,0001$

Ответ: $\frac{1}{10000}$


к) $(3^{-2})^{-2} \cdot 3^{-4}$

Сначала возведем степень в степень:

$(3^{-2})^{-2} = 3^{(-2) \cdot (-2)} = 3^4$

Теперь умножим результат на $3^{-4}$:

$3^4 \cdot 3^{-4} = 3^{4+(-4)} = 3^0$

Любое число (кроме нуля) в нулевой степени равно единице:

$3^0 = 1$

Ответ: 1


л) $25^{-4} : 5^{-7}$

Приведем все к одному основанию 5. $25 = 5^2$.

$(5^2)^{-4} : 5^{-7}$

Сначала возведем степень в степень:

$(5^2)^{-4} = 5^{2 \cdot (-4)} = 5^{-8}$

Теперь выполним деление:

$5^{-8} : 5^{-7} = 5^{-8 - (-7)} = 5^{-8+7} = 5^{-1}$

Найдем значение:

$5^{-1} = \frac{1}{5}$

Ответ: $\frac{1}{5}$


м) $6^{-1} \cdot (6^{-4})^3 : 36^{-7}$

Приведем все к основанию 6. $36 = 6^2$.

Выражение принимает вид: $6^{-1} \cdot (6^{-4})^3 : (6^2)^{-7}$

Упростим степени в скобках:

$(6^{-4})^3 = 6^{-4 \cdot 3} = 6^{-12}$

$(6^2)^{-7} = 6^{2 \cdot (-7)} = 6^{-14}$

Подставим обратно в выражение:

$6^{-1} \cdot 6^{-12} : 6^{-14}$

Выполним действия по порядку. Сначала умножение:

$6^{-1} \cdot 6^{-12} = 6^{-1+(-12)} = 6^{-13}$

Затем деление:

$6^{-13} : 6^{-14} = 6^{-13 - (-14)} = 6^{-13+14} = 6^1$

Найдем значение:

$6^1 = 6$

Ответ: 6

Помогло решение? Оставьте отзыв в комментариях ниже.

Присоединяйтесь к Телеграм-группе @gdz_by_belarus

Присоединиться

Мы подготовили для вас ответ c подробным объяснением домашего задания по алгебре за 7 класс, для упражнения номер 1.118 расположенного на странице 28 к учебнику 2022 года издания для учащихся школ и гимназий.

Теперь на нашем сайте ГДЗ.ТОП вы всегда легко и бесплатно найдёте условие с правильным ответом на вопрос «Как решить ДЗ» и «Как сделать» задание по алгебре к упражнению №1.118 (с. 28), авторов: Арефьева (Ирина Глебовна), Пирютко (Ольга Николаевна), учебного пособия издательства Народная асвета.