Номер 1.187, страница 38 - гдз по алгебре 7 класс учебник Арефьева, Пирютко

Алгебра, 7 класс Учебник, авторы: Арефьева Ирина Глебовна, Пирютко Ольга Николаевна, издательство Народная асвета, Минск, 2022, зелёного цвета

Авторы: Арефьева И. Г., Пирютко О. Н.

Тип: Учебник

Издательство: Народная асвета

Год издания: 2022 - 2025

Цвет обложки: зелёный с графиком

ISBN: ISBN 978-985-03-3770-2

Допущено Министерством образования Республики Беларусь

Популярные ГДЗ в 7 классе

Глава 1. Степень с натуральным и целым показателями. Параграф 3. Стандартный вид числа - номер 1.187, страница 38.

№1.187 (с. 38)
Условие. №1.187 (с. 38)
скриншот условия
Алгебра, 7 класс Учебник, авторы: Арефьева Ирина Глебовна, Пирютко Ольга Николаевна, издательство Народная асвета, Минск, 2022, зелёного цвета, страница 38, номер 1.187, Условие Алгебра, 7 класс Учебник, авторы: Арефьева Ирина Глебовна, Пирютко Ольга Николаевна, издательство Народная асвета, Минск, 2022, зелёного цвета, страница 38, номер 1.187, Условие (продолжение 2)

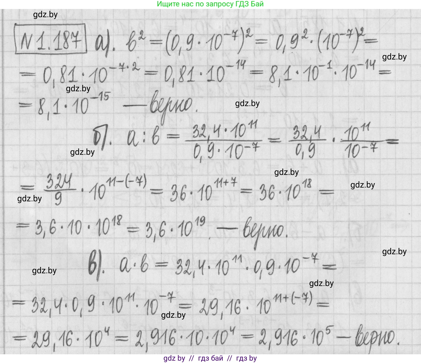
1.187. Известно, что $a = 32,4 \cdot 10^{11}$; $b = 0,9 \cdot 10^{-7}$.

Выберите неверное равенство:

а) $b^2 = 8,1 \cdot 10^{-15}$;

б) $a : b = 3,6 \cdot 10^{19}$;

в) $a \cdot b = 2,916 \cdot 10^5$;

г) $b^{-1} = \frac{1}{9} \cdot 10^7$.

Решение. №1.187 (с. 38)
Алгебра, 7 класс Учебник, авторы: Арефьева Ирина Глебовна, Пирютко Ольга Николаевна, издательство Народная асвета, Минск, 2022, зелёного цвета, страница 38, номер 1.187, Решение Алгебра, 7 класс Учебник, авторы: Арефьева Ирина Глебовна, Пирютко Ольга Николаевна, издательство Народная асвета, Минск, 2022, зелёного цвета, страница 38, номер 1.187, Решение (продолжение 2)
Решение 2. №1.187 (с. 38)

Для того чтобы выбрать неверное равенство, необходимо проверить истинность каждого из предложенных утверждений. Исходные данные: $a = 32,4 \cdot 10^{11}$ и $b = 0,9 \cdot 10^{-7}$.

а) $b^2 = 8,1 \cdot 10^{-15}$

Вычислим значение левой части равенства, возведя $b$ в квадрат:

$b^2 = (0,9 \cdot 10^{-7})^2 = (0,9)^2 \cdot (10^{-7})^2 = 0,81 \cdot 10^{-14}$

Теперь преобразуем правую часть равенства к такому же виду, чтобы их можно было сравнить:

$8,1 \cdot 10^{-15} = 8,1 \cdot 10^{-1} \cdot 10^{-14} = 0,81 \cdot 10^{-14}$

Так как левая и правая части равны ($0,81 \cdot 10^{-14} = 0,81 \cdot 10^{-14}$), данное равенство является верным.

Для выполнения дополнительного условия представим коэффициент из правой части в виде неправильной дроби и выделим целую часть: $8,1 = \frac{81}{10} = 8\frac{1}{10}$. Ответ: 8

б) $a : b = 3,6 \cdot 10^{19}$

Вычислим значение левой части, разделив $a$ на $b$:

$a : b = \frac{32,4 \cdot 10^{11}}{0,9 \cdot 10^{-7}} = \frac{32,4}{0,9} \cdot \frac{10^{11}}{10^{-7}} = 36 \cdot 10^{11 - (-7)} = 36 \cdot 10^{18}$

Преобразуем правую часть равенства:

$3,6 \cdot 10^{19} = 3,6 \cdot 10 \cdot 10^{18} = 36 \cdot 10^{18}$

Так как левая и правая части равны ($36 \cdot 10^{18} = 36 \cdot 10^{18}$), данное равенство является верным.

Выделим целую часть из коэффициента в правой части: $3,6 = \frac{36}{10} = \frac{18}{5} = 3\frac{3}{5}$. Ответ: 3

в) $a \cdot b = 2,916 \cdot 10^5$

Вычислим значение левой части, умножив $a$ на $b$:

$a \cdot b = (32,4 \cdot 10^{11}) \cdot (0,9 \cdot 10^{-7}) = (32,4 \cdot 0,9) \cdot (10^{11} \cdot 10^{-7}) = 29,16 \cdot 10^{4}$

Преобразуем правую часть равенства:

$2,916 \cdot 10^5 = 2,916 \cdot 10 \cdot 10^4 = 29,16 \cdot 10^4$

Так как левая и правая части равны ($29,16 \cdot 10^4 = 29,16 \cdot 10^4$), данное равенство является верным.

Выделим целую часть из коэффициента в правой части: $2,916 = \frac{2916}{1000} = \frac{729}{250} = 2\frac{229}{250}$. Ответ: 2

г) $b^{-1} = \frac{1}{9} \cdot 10^7$

Вычислим значение левой части равенства:

$b^{-1} = (0,9 \cdot 10^{-7})^{-1} = \frac{1}{0,9 \cdot 10^{-7}} = \frac{1}{9 \cdot 10^{-1} \cdot 10^{-7}} = \frac{1}{9 \cdot 10^{-8}} = \frac{1}{9} \cdot 10^8$

Сравним полученное значение с правой частью равенства:

$\frac{1}{9} \cdot 10^8 \neq \frac{1}{9} \cdot 10^7$

Поскольку левая и правая части не равны, данное равенство является неверным.

Выделим целую часть из выражения в правой части: $\frac{1}{9} \cdot 10^7 = \frac{10000000}{9} = 1111111\frac{1}{9}$. Ответ: 1111111


Итог: Проверка показала, что равенства а), б) и в) верны, а равенство г) неверно.

Ответ: Неверное равенство — г).

Помогло решение? Оставьте отзыв в комментариях ниже.

Присоединяйтесь к Телеграм-группе @gdz_by_belarus

Присоединиться

Мы подготовили для вас ответ c подробным объяснением домашего задания по алгебре за 7 класс, для упражнения номер 1.187 расположенного на странице 38 к учебнику 2022 года издания для учащихся школ и гимназий.

Теперь на нашем сайте ГДЗ.ТОП вы всегда легко и бесплатно найдёте условие с правильным ответом на вопрос «Как решить ДЗ» и «Как сделать» задание по алгебре к упражнению №1.187 (с. 38), авторов: Арефьева (Ирина Глебовна), Пирютко (Ольга Николаевна), учебного пособия издательства Народная асвета.