Номер 2.341, страница 122 - гдз по алгебре 7 класс учебник Арефьева, Пирютко

Алгебра, 7 класс Учебник, авторы: Арефьева Ирина Глебовна, Пирютко Ольга Николаевна, издательство Народная асвета, Минск, 2022, зелёного цвета

Авторы: Арефьева И. Г., Пирютко О. Н.

Тип: Учебник

Издательство: Народная асвета

Год издания: 2022 - 2025

Цвет обложки: зелёный с графиком

ISBN: ISBN 978-985-03-3770-2

Допущено Министерством образования Республики Беларусь

Популярные ГДЗ в 7 классе

Глава 2. Выражения и их преобразования. Параграф 13. Формулы сокращенного умножения: произведение суммы и разности двух выражений - номер 2.341, страница 122.

№2.341 (с. 122)
Условие. №2.341 (с. 122)
скриншот условия
Алгебра, 7 класс Учебник, авторы: Арефьева Ирина Глебовна, Пирютко Ольга Николаевна, издательство Народная асвета, Минск, 2022, зелёного цвета, страница 122, номер 2.341, Условие

2.341. Представьте в виде произведения разность квадратов выражений:

а) $ \frac{1}{9}a^2 - \frac{9}{16}b^2; $

б) $ 0,25x^2 - 0,81b^2; $

в) $ 0,01x^4 - y^2; $

г) $ 0,49n^6 m^6 - 1. $

Решение. №2.341 (с. 122)
Алгебра, 7 класс Учебник, авторы: Арефьева Ирина Глебовна, Пирютко Ольга Николаевна, издательство Народная асвета, Минск, 2022, зелёного цвета, страница 122, номер 2.341, Решение
Решение 2. №2.341 (с. 122)

Для решения всех пунктов используется формула сокращенного умножения — разность квадратов: $A^2 - B^2 = (A - B)(A + B)$.

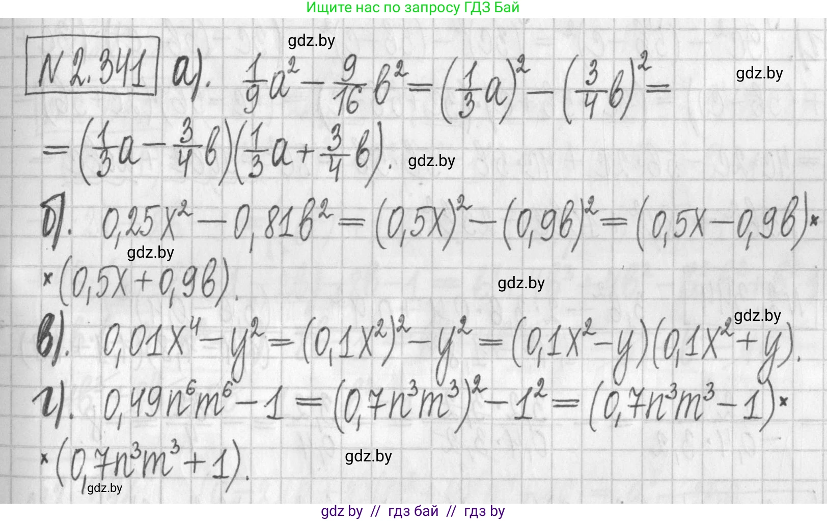
а) Представим выражение $\frac{1}{9}a^2 - \frac{9}{16}b^2$ в виде произведения.

  • Первый член выражения: $\frac{1}{9}a^2$. Это квадрат от $(\frac{1}{3}a)$, так как $(\frac{1}{3}a)^2 = \frac{1^2}{3^2}a^2 = \frac{1}{9}a^2$.
  • Второй член выражения: $\frac{9}{16}b^2$. Это квадрат от $(\frac{3}{4}b)$, так как $(\frac{3}{4}b)^2 = \frac{3^2}{4^2}b^2 = \frac{9}{16}b^2$.

Применяя формулу разности квадратов, получаем:
$\frac{1}{9}a^2 - \frac{9}{16}b^2 = (\frac{1}{3}a - \frac{3}{4}b)(\frac{1}{3}a + \frac{3}{4}b)$.
Ответ: $(\frac{1}{3}a - \frac{3}{4}b)(\frac{1}{3}a + \frac{3}{4}b)$

б) Представим выражение $0,25x^2 - 0,81b^2$ в виде произведения.

  • Первый член выражения: $0,25x^2$. Это квадрат от $(0,5x)$, так как $(0,5x)^2 = 0,25x^2$.
  • Второй член выражения: $0,81b^2$. Это квадрат от $(0,9b)$, так как $(0,9b)^2 = 0,81b^2$.

Применяя формулу разности квадратов, получаем:
$0,25x^2 - 0,81b^2 = (0,5x - 0,9b)(0,5x + 0,9b)$.
Ответ: $(0,5x - 0,9b)(0,5x + 0,9b)$

в) Представим выражение $0,01x^4 - y^2$ в виде произведения.

  • Первый член выражения: $0,01x^4$. Это квадрат от $(0,1x^2)$, так как $(0,1x^2)^2 = 0,01x^4$.
  • Второй член выражения: $y^2$. Это квадрат от $(y)$.

Применяя формулу разности квадратов, получаем:
$0,01x^4 - y^2 = (0,1x^2 - y)(0,1x^2 + y)$.
Ответ: $(0,1x^2 - y)(0,1x^2 + y)$

г) Представим выражение $0,49n^6m^6 - 1$ в виде произведения.

  • Первый член выражения: $0,49n^6m^6$. Это квадрат от $(0,7n^3m^3)$, так как $(0,7n^3m^3)^2 = 0,49n^6m^6$.
  • Второй член выражения: $1$. Это квадрат от $(1)$.

Применяя формулу разности квадратов, получаем:
$0,49n^6m^6 - 1 = (0,7n^3m^3 - 1)(0,7n^3m^3 + 1)$.
Ответ: $(0,7n^3m^3 - 1)(0,7n^3m^3 + 1)$

Помогло решение? Оставьте отзыв в комментариях ниже.

Присоединяйтесь к Телеграм-группе @gdz_by_belarus

Присоединиться

Мы подготовили для вас ответ c подробным объяснением домашего задания по алгебре за 7 класс, для упражнения номер 2.341 расположенного на странице 122 к учебнику 2022 года издания для учащихся школ и гимназий.

Теперь на нашем сайте ГДЗ.ТОП вы всегда легко и бесплатно найдёте условие с правильным ответом на вопрос «Как решить ДЗ» и «Как сделать» задание по алгебре к упражнению №2.341 (с. 122), авторов: Арефьева (Ирина Глебовна), Пирютко (Ольга Николаевна), учебного пособия издательства Народная асвета.