Номер 2.343, страница 122 - гдз по алгебре 7 класс учебник Арефьева, Пирютко

Алгебра, 7 класс Учебник, авторы: Арефьева Ирина Глебовна, Пирютко Ольга Николаевна, издательство Народная асвета, Минск, 2022, зелёного цвета

Авторы: Арефьева И. Г., Пирютко О. Н.

Тип: Учебник

Издательство: Народная асвета

Год издания: 2022 - 2025

Цвет обложки: зелёный с графиком

ISBN: ISBN 978-985-03-3770-2

Допущено Министерством образования Республики Беларусь

Популярные ГДЗ в 7 классе

Глава 2. Выражения и их преобразования. Параграф 13. Формулы сокращенного умножения: произведение суммы и разности двух выражений - номер 2.343, страница 122.

№2.343 (с. 122)
Условие. №2.343 (с. 122)
скриншот условия
Алгебра, 7 класс Учебник, авторы: Арефьева Ирина Глебовна, Пирютко Ольга Николаевна, издательство Народная асвета, Минск, 2022, зелёного цвета, страница 122, номер 2.343, Условие

2.343. Используя формулу разности квадратов, упростите выражение:

a) $(a-b)^2 - a^2$;

б) $n^2 - (m+n)^2$;

в) $(x+y)^2 - 4x^2$;

г) $9c^2 - (5b-c)^2$.

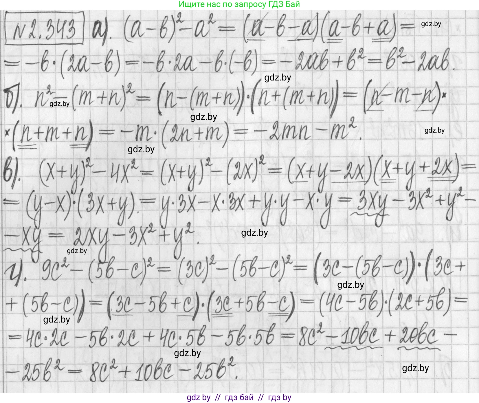
Решение. №2.343 (с. 122)
Алгебра, 7 класс Учебник, авторы: Арефьева Ирина Глебовна, Пирютко Ольга Николаевна, издательство Народная асвета, Минск, 2022, зелёного цвета, страница 122, номер 2.343, Решение
Решение 2. №2.343 (с. 122)

Для решения данной задачи воспользуемся формулой разности квадратов: $x^2 - y^2 = (x - y)(x + y)$.

а) Упростим выражение $(a - b)^2 - a^2$.

В данном случае $x = (a-b)$ и $y = a$. Применим формулу:

$(a - b)^2 - a^2 = ((a - b) - a)((a - b) + a)$

Упростим выражения в скобках:

$(a - b - a)(a - b + a) = (-b)(2a - b)$

Раскроем скобки:

$-b \cdot 2a - b \cdot (-b) = -2ab + b^2$

Ответ: $b^2 - 2ab$

б) Упростим выражение $n^2 - (m + n)^2$.

Здесь $x = n$ и $y = (m+n)$. Применим формулу:

$n^2 - (m + n)^2 = (n - (m + n))(n + (m + n))$

Раскроем внутренние скобки:

$(n - m - n)(n + m + n) = (-m)(m + 2n)$

Раскроем скобки:

$-m \cdot m - m \cdot 2n = -m^2 - 2mn$

Ответ: $-m^2 - 2mn$

в) Упростим выражение $(x + y)^2 - 4x^2$.

Представим $4x^2$ как $(2x)^2$. Тогда $x$ из формулы равен $(x+y)$, а $y$ из формулы равен $2x$.

$(x + y)^2 - (2x)^2 = ((x + y) - 2x)((x + y) + 2x)$

Упростим выражения в скобках:

$(x + y - 2x)(x + y + 2x) = (y - x)(y + 3x)$

Ответ: $(y - x)(y + 3x)$

г) Упростим выражение $9c^2 - (5b - c)^2$.

Представим $9c^2$ как $(3c)^2$. Тогда $x$ из формулы равен $3c$, а $y$ из формулы равен $(5b-c)$.

$(3c)^2 - (5b - c)^2 = (3c - (5b - c))(3c + (5b - c))$

Раскроем внутренние скобки:

$(3c - 5b + c)(3c + 5b - c) = (4c - 5b)(2c + 5b)$

Ответ: $(4c - 5b)(2c + 5b)$

Помогло решение? Оставьте отзыв в комментариях ниже.

Присоединяйтесь к Телеграм-группе @gdz_by_belarus

Присоединиться

Мы подготовили для вас ответ c подробным объяснением домашего задания по алгебре за 7 класс, для упражнения номер 2.343 расположенного на странице 122 к учебнику 2022 года издания для учащихся школ и гимназий.

Теперь на нашем сайте ГДЗ.ТОП вы всегда легко и бесплатно найдёте условие с правильным ответом на вопрос «Как решить ДЗ» и «Как сделать» задание по алгебре к упражнению №2.343 (с. 122), авторов: Арефьева (Ирина Глебовна), Пирютко (Ольга Николаевна), учебного пособия издательства Народная асвета.