Номер 2.431, страница 139 - гдз по алгебре 7 класс учебник Арефьева, Пирютко

Алгебра, 7 класс Учебник, авторы: Арефьева Ирина Глебовна, Пирютко Ольга Николаевна, издательство Народная асвета, Минск, 2022, зелёного цвета

Авторы: Арефьева И. Г., Пирютко О. Н.

Тип: Учебник

Издательство: Народная асвета

Год издания: 2022 - 2025

Цвет обложки: зелёный с графиком

ISBN: ISBN 978-985-03-3770-2

Допущено Министерством образования Республики Беларусь

Популярные ГДЗ в 7 классе

Глава 2. Выражения и их преобразования. Параграф 14. Разложение многочлена на множители - номер 2.431, страница 139.

№2.431 (с. 139)
Условие. №2.431 (с. 139)
скриншот условия
Алгебра, 7 класс Учебник, авторы: Арефьева Ирина Глебовна, Пирютко Ольга Николаевна, издательство Народная асвета, Минск, 2022, зелёного цвета, страница 139, номер 2.431, Условие

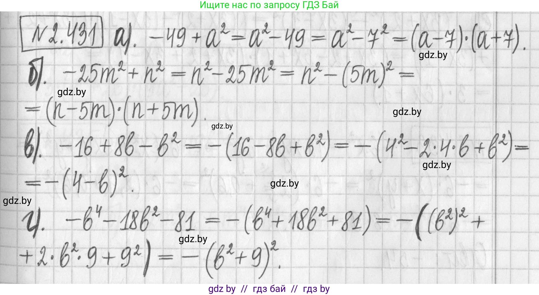
2.431. Разложите многочлен на множители:

a) $-49 + a^2$;

б) $-25m^2 + n^2$;

в) $-16 + 8b - b^2$;

г) $-b^4 - 18b^2 - 81.$

Решение. №2.431 (с. 139)
Алгебра, 7 класс Учебник, авторы: Арефьева Ирина Глебовна, Пирютко Ольга Николаевна, издательство Народная асвета, Минск, 2022, зелёного цвета, страница 139, номер 2.431, Решение
Решение 2. №2.431 (с. 139)

а) $-49 + a^2$

Для разложения многочлена на множители, сначала поменяем местами слагаемые, чтобы получить более привычный вид:

$-49 + a^2 = a^2 - 49$

Это выражение является разностью квадратов. Применим формулу разности квадратов: $x^2 - y^2 = (x - y)(x + y)$.

В нашем случае $x = a$ и $y^2 = 49$, следовательно $y = 7$.

Подставим эти значения в формулу:

$a^2 - 7^2 = (a - 7)(a + 7)$

Ответ: $(a - 7)(a + 7)$

б) $-25m^2 + n^2$

Поменяем слагаемые местами, чтобы представить выражение в виде разности квадратов:

$-25m^2 + n^2 = n^2 - 25m^2$

Используем формулу разности квадратов $x^2 - y^2 = (x - y)(x + y)$.

В этом выражении $x = n$ и $y^2 = 25m^2$, следовательно $y = 5m$.

Подставляем в формулу:

$n^2 - (5m)^2 = (n - 5m)(n + 5m)$

Ответ: $(n - 5m)(n + 5m)$

в) $-16 + 8b - b^2$

Сначала вынесем знак минус за скобки и упорядочим члены по убыванию степеней переменной $b$:

$-16 + 8b - b^2 = -(b^2 - 8b + 16)$

Выражение в скобках $b^2 - 8b + 16$ является полным квадратом разности. Используем формулу квадрата разности: $(x - y)^2 = x^2 - 2xy + y^2$.

Здесь $x = b$, $y = \sqrt{16} = 4$. Проверим второй член: $-2xy = -2 \cdot b \cdot 4 = -8b$. Он совпадает.

Таким образом, $b^2 - 8b + 16 = (b - 4)^2$.

Учитывая вынесенный знак минус, получаем:

$-(b - 4)^2$

Ответ: $-(b - 4)^2$

г) $-b^4 - 18b^2 - 81$

Вынесем знак минус за скобки:

$-b^4 - 18b^2 - 81 = -(b^4 + 18b^2 + 81)$

Выражение в скобках $b^4 + 18b^2 + 81$ является полным квадратом суммы. Применим формулу квадрата суммы: $(x + y)^2 = x^2 + 2xy + y^2$.

В этом случае $x = b^2$ и $y = \sqrt{81} = 9$. Проверим второй член: $2xy = 2 \cdot b^2 \cdot 9 = 18b^2$. Он совпадает.

Следовательно, $b^4 + 18b^2 + 81 = (b^2 + 9)^2$.

Возвращая вынесенный знак минус, получаем окончательный результат:

$-(b^2 + 9)^2$

Ответ: $-(b^2 + 9)^2$

Помогло решение? Оставьте отзыв в комментариях ниже.

Присоединяйтесь к Телеграм-группе @gdz_by_belarus

Присоединиться

Мы подготовили для вас ответ c подробным объяснением домашего задания по алгебре за 7 класс, для упражнения номер 2.431 расположенного на странице 139 к учебнику 2022 года издания для учащихся школ и гимназий.

Теперь на нашем сайте ГДЗ.ТОП вы всегда легко и бесплатно найдёте условие с правильным ответом на вопрос «Как решить ДЗ» и «Как сделать» задание по алгебре к упражнению №2.431 (с. 139), авторов: Арефьева (Ирина Глебовна), Пирютко (Ольга Николаевна), учебного пособия издательства Народная асвета.