Номер 2.432, страница 140 - гдз по алгебре 7 класс учебник Арефьева, Пирютко

Алгебра, 7 класс Учебник, авторы: Арефьева Ирина Глебовна, Пирютко Ольга Николаевна, издательство Народная асвета, Минск, 2022, зелёного цвета

Авторы: Арефьева И. Г., Пирютко О. Н.

Тип: Учебник

Издательство: Народная асвета

Год издания: 2022 - 2025

Цвет обложки: зелёный с графиком

ISBN: ISBN 978-985-03-3770-2

Допущено Министерством образования Республики Беларусь

Популярные ГДЗ в 7 классе

Глава 2. Выражения и их преобразования. Параграф 14. Разложение многочлена на множители - номер 2.432, страница 140.

№2.432 (с. 140)
Условие. №2.432 (с. 140)
скриншот условия
Алгебра, 7 класс Учебник, авторы: Арефьева Ирина Глебовна, Пирютко Ольга Николаевна, издательство Народная асвета, Минск, 2022, зелёного цвета, страница 140, номер 2.432, Условие

2.432. Разложите многочлен на множители:

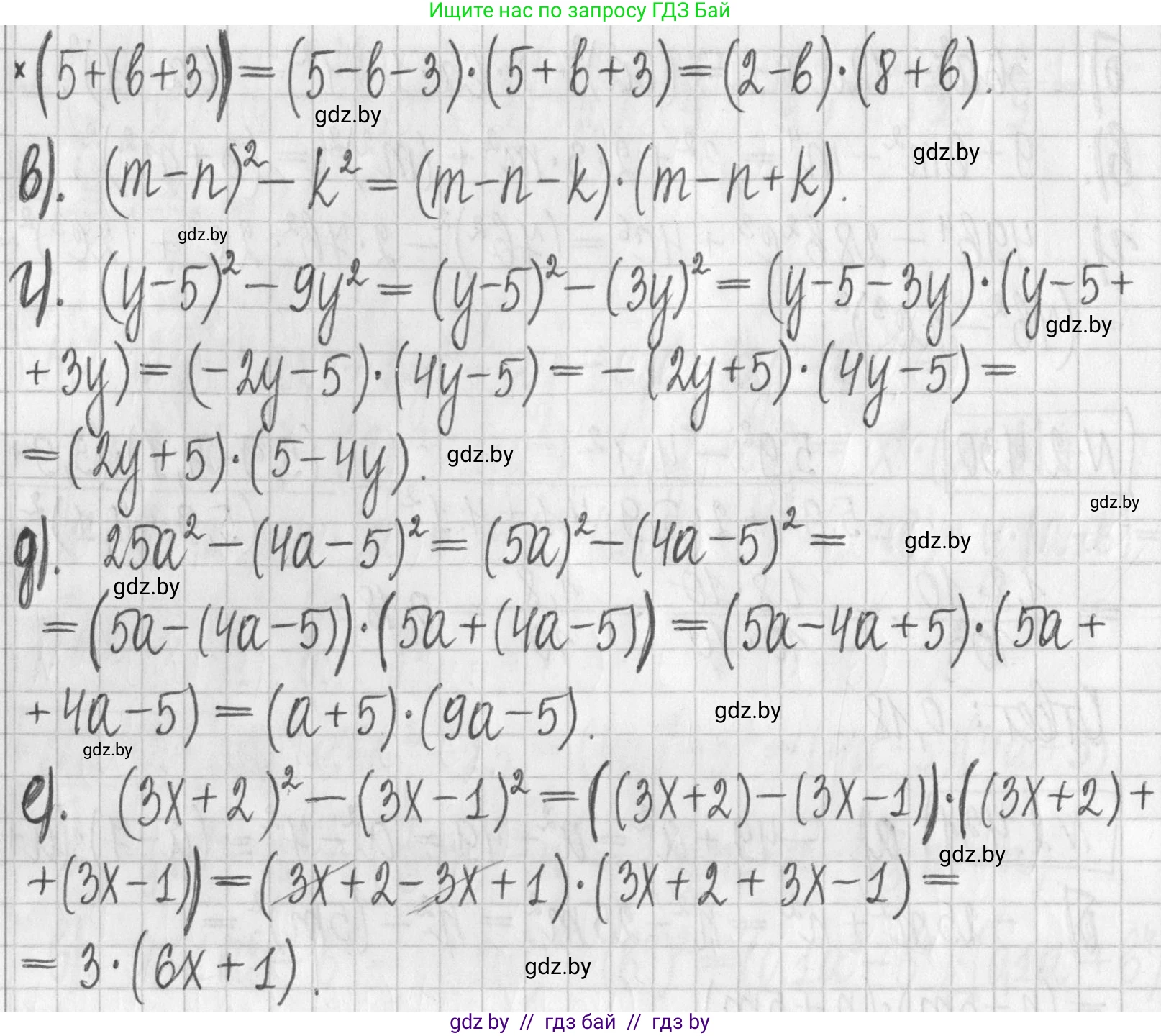
а) $(a+7)^2 - 1;$

б) $25 - (b+3)^2;$

в) $(m-n)^2 - k^2;$

г) $(y-5)^2 - 9y^2;$

д) $25a^2 - (4a-5)^2;$

е) $(3x+2)^2 - (3x-1)^2.$

Решение. №2.432 (с. 140)
Алгебра, 7 класс Учебник, авторы: Арефьева Ирина Глебовна, Пирютко Ольга Николаевна, издательство Народная асвета, Минск, 2022, зелёного цвета, страница 140, номер 2.432, Решение Алгебра, 7 класс Учебник, авторы: Арефьева Ирина Глебовна, Пирютко Ольга Николаевна, издательство Народная асвета, Минск, 2022, зелёного цвета, страница 140, номер 2.432, Решение (продолжение 2)
Решение 2. №2.432 (с. 140)

Для решения всех пунктов данной задачи используется формула сокращенного умножения "разность квадратов":

$A^2 - B^2 = (A - B)(A + B)$

Рассмотрим каждый случай отдельно.


а) $(a+7)^2 - 1$

Представим выражение в виде разности квадратов. Здесь $A = (a+7)$, а $B^2 = 1$, значит $B=1$.

Применяем формулу:

$(a+7)^2 - 1^2 = ((a+7) - 1)((a+7) + 1)$

Упрощаем выражения в каждой скобке:

$(a + 7 - 1)(a + 7 + 1) = (a + 6)(a + 8)$

Ответ: $(a+6)(a+8)$


б) $25 - (b+3)^2$

Представим выражение в виде разности квадратов. Здесь $A^2 = 25$, значит $A=5$, а $B = (b+3)$.

Применяем формулу:

$5^2 - (b+3)^2 = (5 - (b+3))(5 + (b+3))$

Упрощаем выражения в каждой скобке, обращая внимание на знак перед второй скобкой:

$(5 - b - 3)(5 + b + 3) = (2 - b)(8 + b)$

Ответ: $(2-b)(b+8)$


в) $(m-n)^2 - k^2$

Это выражение уже представлено в виде разности квадратов. Здесь $A = (m-n)$, а $B = k$.

Применяем формулу:

$((m-n) - k)((m-n) + k)$

Раскрываем внутренние скобки:

$(m-n-k)(m-n+k)$

Ответ: $(m-n-k)(m-n+k)$


г) $(y-5)^2 - 9y^2$

Представим выражение в виде разности квадратов. Здесь $A = (y-5)$, а $B^2 = 9y^2$, значит $B=3y$.

Применяем формулу:

$(y-5)^2 - (3y)^2 = ((y-5) - 3y)((y-5) + 3y)$

Упрощаем выражения в каждой скобке:

$(y - 5 - 3y)(y - 5 + 3y) = (-2y - 5)(4y - 5)$

Ответ: $(-2y-5)(4y-5)$


д) $25a^2 - (4a-5)^2$

Представим выражение в виде разности квадратов. Здесь $A^2 = 25a^2$, значит $A=5a$, а $B = (4a-5)$.

Применяем формулу:

$(5a)^2 - (4a-5)^2 = (5a - (4a-5))(5a + (4a-5))$

Упрощаем выражения в каждой скобке:

$(5a - 4a + 5)(5a + 4a - 5) = (a + 5)(9a - 5)$

Ответ: $(a+5)(9a-5)$


е) $(3x+2)^2 - (3x-1)^2$

Это выражение уже представлено в виде разности квадратов. Здесь $A = (3x+2)$, а $B = (3x-1)$.

Применяем формулу:

$((3x+2) - (3x-1))((3x+2) + (3x-1))$

Упрощаем выражения в каждой скобке:

$(3x + 2 - 3x + 1)(3x + 2 + 3x - 1)$

Приводим подобные слагаемые в каждой скобке:

$(3)(6x + 1)$

Ответ: $3(6x+1)$

Помогло решение? Оставьте отзыв в комментариях ниже.

Присоединяйтесь к Телеграм-группе @gdz_by_belarus

Присоединиться

Мы подготовили для вас ответ c подробным объяснением домашего задания по алгебре за 7 класс, для упражнения номер 2.432 расположенного на странице 140 к учебнику 2022 года издания для учащихся школ и гимназий.

Теперь на нашем сайте ГДЗ.ТОП вы всегда легко и бесплатно найдёте условие с правильным ответом на вопрос «Как решить ДЗ» и «Как сделать» задание по алгебре к упражнению №2.432 (с. 140), авторов: Арефьева (Ирина Глебовна), Пирютко (Ольга Николаевна), учебного пособия издательства Народная асвета.