Номер 3.348, страница 245 - гдз по алгебре 7 класс учебник Арефьева, Пирютко

Алгебра, 7 класс Учебник, авторы: Арефьева Ирина Глебовна, Пирютко Ольга Николаевна, издательство Народная асвета, Минск, 2022, зелёного цвета

Авторы: Арефьева И. Г., Пирютко О. Н.

Тип: Учебник

Издательство: Народная асвета

Год издания: 2022 - 2025

Цвет обложки: зелёный с графиком

ISBN: ISBN 978-985-03-3770-2

Допущено Министерством образования Республики Беларусь

Популярные ГДЗ в 7 классе

Глава 3. Линейные уравнения. Линейные неравенства. Линейная функция. Параграф 20. Линейная функция и ее свойства - номер 3.348, страница 245.

№3.348 (с. 245)
Условие. №3.348 (с. 245)
скриншот условия
Алгебра, 7 класс Учебник, авторы: Арефьева Ирина Глебовна, Пирютко Ольга Николаевна, издательство Народная асвета, Минск, 2022, зелёного цвета, страница 245, номер 3.348, Условие

3.348. Не выполняя построения, найдите координаты точки пересечения графиков функций:

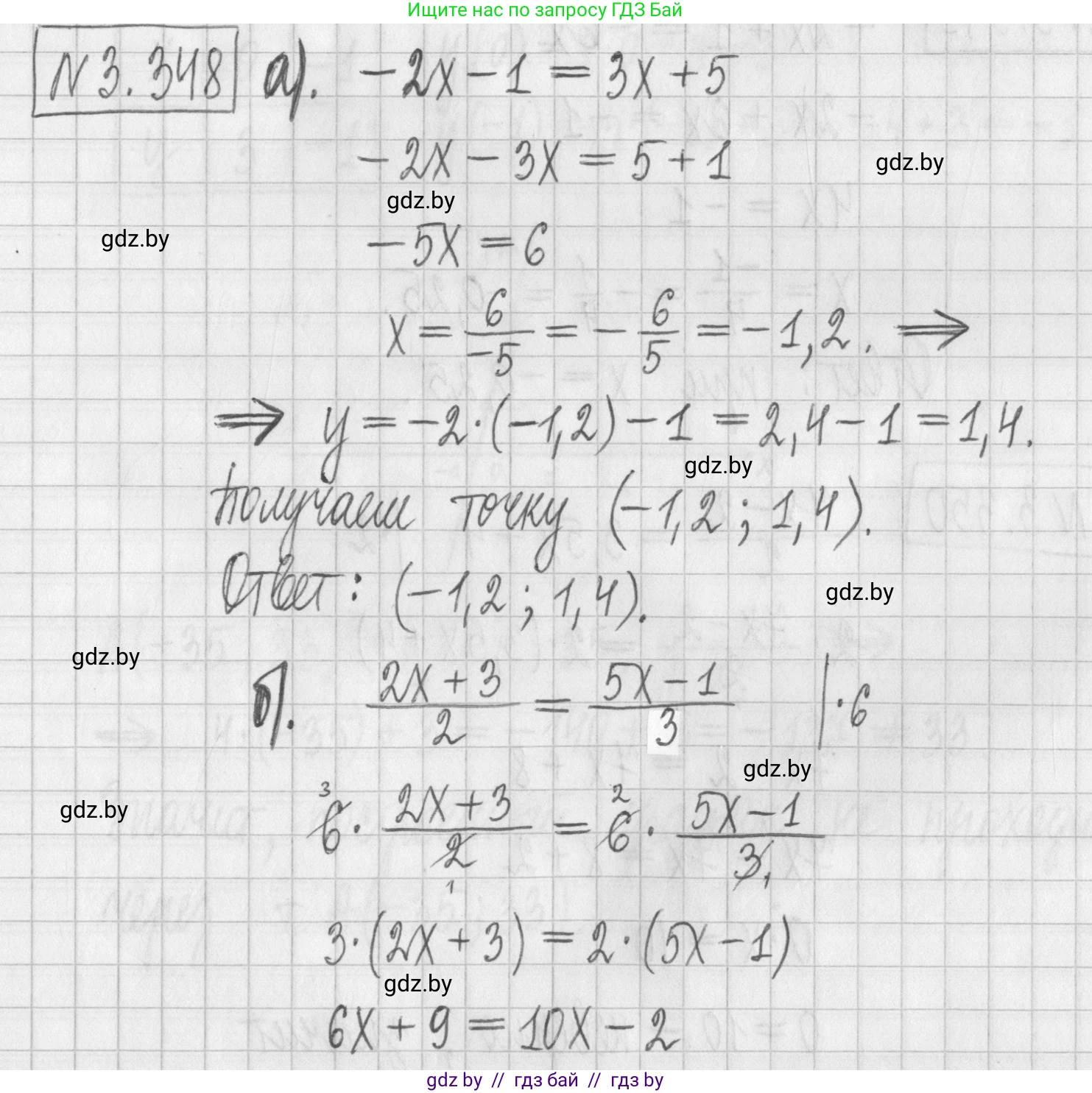
а) $y=-2x-1$ и $y=3x+5;$

б) $y=\frac{2x+3}{2}$ и $y=\frac{5x-1}{3}$.

Решение. №3.348 (с. 245)
Алгебра, 7 класс Учебник, авторы: Арефьева Ирина Глебовна, Пирютко Ольга Николаевна, издательство Народная асвета, Минск, 2022, зелёного цвета, страница 245, номер 3.348, Решение Алгебра, 7 класс Учебник, авторы: Арефьева Ирина Глебовна, Пирютко Ольга Николаевна, издательство Народная асвета, Минск, 2022, зелёного цвета, страница 245, номер 3.348, Решение (продолжение 2)
Решение 2. №3.348 (с. 245)

Чтобы найти координаты точки пересечения графиков функций, не выполняя построения, необходимо решить систему уравнений, которые задают эти функции. В точке пересечения координаты $x$ и $y$ удовлетворяют обоим уравнениям, поэтому можно приравнять выражения для $y$.

а) $y = -2x - 1$ и $y = 3x + 5$

Приравняем правые части уравнений:

$-2x - 1 = 3x + 5$

Сгруппируем слагаемые с переменной $x$ в одной части уравнения, а свободные члены — в другой:

$-2x - 3x = 5 + 1$

$-5x = 6$

Найдем абсциссу $x$ точки пересечения:

$x = -\frac{6}{5}$

Теперь подставим найденное значение $x$ в любое из исходных уравнений, чтобы найти ординату $y$. Используем второе уравнение $y = 3x + 5$:

$y = 3 \cdot (-\frac{6}{5}) + 5 = -\frac{18}{5} + 5$

Приведем к общему знаменателю:

$y = -\frac{18}{5} + \frac{25}{5} = \frac{-18 + 25}{5} = \frac{7}{5}$

Таким образом, координаты точки пересечения: $(-\frac{6}{5}; \frac{7}{5})$.

Ответ: $(-1\frac{1}{5}; 1\frac{2}{5})$

б) $y = \frac{2x + 3}{2}$ и $y = \frac{5x - 1}{3}$

Приравняем правые части уравнений:

$\frac{2x + 3}{2} = \frac{5x - 1}{3}$

Для решения этого уравнения воспользуемся основным свойством пропорции (произведение крайних членов равно произведению средних):

$3 \cdot (2x + 3) = 2 \cdot (5x - 1)$

Раскроем скобки:

$6x + 9 = 10x - 2$

Сгруппируем слагаемые с переменной $x$ в одной части уравнения, а свободные члены — в другой:

$9 + 2 = 10x - 6x$

$11 = 4x$

Найдем абсциссу $x$ точки пересечения:

$x = \frac{11}{4}$

Теперь подставим найденное значение $x$ в первое уравнение $y = \frac{2x + 3}{2}$, чтобы найти ординату $y$:

$y = \frac{2 \cdot \frac{11}{4} + 3}{2} = \frac{\frac{22}{4} + 3}{2} = \frac{\frac{11}{2} + \frac{6}{2}}{2} = \frac{\frac{17}{2}}{2}$

Деление на 2 эквивалентно умножению на $\frac{1}{2}$:

$y = \frac{17}{2} \cdot \frac{1}{2} = \frac{17}{4}$

Таким образом, координаты точки пересечения: $(\frac{11}{4}; \frac{17}{4})$.

Ответ: $(2\frac{3}{4}; 4\frac{1}{4})$

Помогло решение? Оставьте отзыв в комментариях ниже.

Присоединяйтесь к Телеграм-группе @gdz_by_belarus

Присоединиться

Мы подготовили для вас ответ c подробным объяснением домашего задания по алгебре за 7 класс, для упражнения номер 3.348 расположенного на странице 245 к учебнику 2022 года издания для учащихся школ и гимназий.

Теперь на нашем сайте ГДЗ.ТОП вы всегда легко и бесплатно найдёте условие с правильным ответом на вопрос «Как решить ДЗ» и «Как сделать» задание по алгебре к упражнению №3.348 (с. 245), авторов: Арефьева (Ирина Глебовна), Пирютко (Ольга Николаевна), учебного пособия издательства Народная асвета.