Номер 1.130, страница 43 - гдз по алгебре 8 класс учебник Арефьева, Пирютко

Алгебра, 8 класс Учебник, авторы: Арефьева Ирина Глебовна, Пирютко Ольга Николаевна, издательство Адукацыя i выхаванне, Минск, 2024, бирюзового цвета

Авторы: Арефьева И. Г., Пирютко О. Н.

Тип: Учебник

Издательство: Адукацыя i выхаванне

Год издания: 2024 - 2025

Цвет обложки: бирюзовый с графиком

ISBN: ISBN 978-985-03-4081-8

Допущено Министерством образования Республики Беларусь

Популярные ГДЗ в 8 классе

Глава 1. Квадратные корни и их свойства. Действительные числа. Параграф 3. Свойства квадратных корней - номер 1.130, страница 43.

№1.130 (с. 43)
Условие. №1.130 (с. 43)
скриншот условия
Алгебра, 8 класс Учебник, авторы: Арефьева Ирина Глебовна, Пирютко Ольга Николаевна, издательство Адукацыя i выхаванне, Минск, 2024, бирюзового цвета, страница 43, номер 1.130, Условие

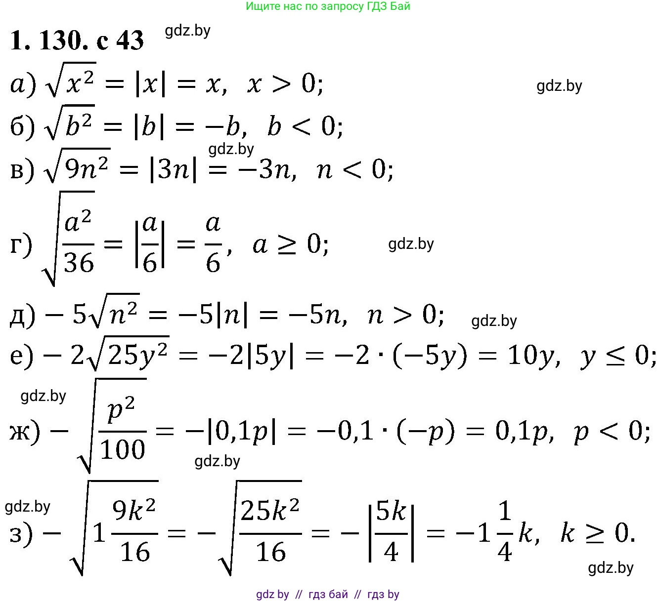
1.130. Упростите выражение:

а) $\sqrt{x^2}$, если $x > 0$;

б) $\sqrt{b^2}$, если $b < 0$;

в) $\sqrt{9n^2}$, если $n < 0$;

г) $\sqrt{\frac{a^2}{36}}$, если $a \ge 0$;

д) $-5\sqrt{n^2}$, если $n > 0$;

е) $-2\sqrt{25y^2}$, если $y \le 0$;

ж) $-\sqrt{\frac{p^2}{100}}$, если $p < 0$;

з) $-\sqrt{1\frac{9}{16}k^2}$, если $k \ge 0$.

Решение. №1.130 (с. 43)
Алгебра, 8 класс Учебник, авторы: Арефьева Ирина Глебовна, Пирютко Ольга Николаевна, издательство Адукацыя i выхаванне, Минск, 2024, бирюзового цвета, страница 43, номер 1.130, Решение
Решение 2. №1.130 (с. 43)
Для решения данных задач мы будем использовать основное свойство арифметического квадратного корня: $\sqrt{a^2} = |a|$. Модуль числа $|a|$ равен $a$, если $a \ge 0$, и равен $-a$, если $a < 0$.

а) Упростим выражение $\sqrt{x^2}$ при условии $x > 0$.
Согласно свойству квадратного корня, $\sqrt{x^2} = |x|$.
Так как по условию $x > 0$, то по определению модуля $|x| = x$.
Ответ: $x$

б) Упростим выражение $\sqrt{b^2}$ при условии $b < 0$.
Используем свойство $\sqrt{b^2} = |b|$.
Поскольку по условию $b < 0$, по определению модуля $|b| = -b$.
Ответ: $-b$

в) Упростим выражение $\sqrt{9n^2}$ при условии $n < 0$.
Сначала представим подкоренное выражение в виде квадрата: $9n^2 = (3n)^2$.
Тогда $\sqrt{9n^2} = \sqrt{(3n)^2} = |3n|$.
Так как $n < 0$, то и $3n < 0$. Следовательно, по определению модуля $|3n| = -(3n) = -3n$.
Ответ: $-3n$

г) Упростим выражение $\sqrt{\frac{a^2}{36}}$ при условии $a \ge 0$.
Представим подкоренное выражение в виде квадрата: $\frac{a^2}{36} = (\frac{a}{6})^2$.
Тогда $\sqrt{\frac{a^2}{36}} = \sqrt{(\frac{a}{6})^2} = |\frac{a}{6}|$.
Так как $a \ge 0$, то и $\frac{a}{6} \ge 0$. Следовательно, $|\frac{a}{6}| = \frac{a}{6}$.
Ответ: $\frac{a}{6}$

д) Упростим выражение $-5\sqrt{n^2}$ при условии $n > 0$.
Упростим корень: $\sqrt{n^2} = |n|$.
Выражение примет вид: $-5|n|$.
По условию $n > 0$, поэтому $|n| = n$.
В итоге получаем: $-5n$.
Ответ: $-5n$

е) Упростим выражение $-2\sqrt{25y^2}$ при условии $y \le 0$.
Представим подкоренное выражение в виде квадрата: $25y^2 = (5y)^2$.
Тогда $\sqrt{25y^2} = |5y|$. Выражение примет вид: $-2|5y|$.
Поскольку $y \le 0$, то и $5y \le 0$. По определению модуля, $|5y| = -(5y) = -5y$.
Подставляем это в выражение: $-2(-5y) = 10y$.
Ответ: $10y$

ж) Упростим выражение $-\sqrt{\frac{p^2}{100}}$ при условии $p < 0$.
Представим подкоренное выражение в виде квадрата: $\frac{p^2}{100} = (\frac{p}{10})^2$.
Тогда $-\sqrt{\frac{p^2}{100}} = -\sqrt{(\frac{p}{10})^2} = -|\frac{p}{10}|$.
Так как $p < 0$, то и $\frac{p}{10} < 0$. Следовательно, $|\frac{p}{10}| = -(\frac{p}{10}) = -\frac{p}{10}$.
Подставляем в выражение: $- (-\frac{p}{10}) = \frac{p}{10}$.
Ответ: $\frac{p}{10}$

з) Упростим выражение $-\sqrt{1\frac{9}{16}k^2}$ при условии $k \ge 0$.
Сначала преобразуем смешанное число в неправильную дробь: $1\frac{9}{16} = \frac{1 \cdot 16 + 9}{16} = \frac{25}{16}$.
Теперь подкоренное выражение равно $\frac{25}{16}k^2$, что можно записать как $(\frac{5}{4}k)^2$.
Выражение примет вид: $-\sqrt{(\frac{5}{4}k)^2} = -|\frac{5}{4}k|$.
По условию $k \ge 0$, поэтому $\frac{5}{4}k \ge 0$. Следовательно, $|\frac{5}{4}k| = \frac{5}{4}k$.
В результате получаем: $-\frac{5}{4}k$.
Представим неправильную дробь $\frac{5}{4}$ в виде смешанного числа: $\frac{5}{4} = 1\frac{1}{4}$.
Ответ: $-1\frac{1}{4}k$

Помогло решение? Оставьте отзыв в комментариях ниже.

Присоединяйтесь к Телеграм-группе @gdz_by_belarus

Присоединиться

Мы подготовили для вас ответ c подробным объяснением домашего задания по алгебре за 8 класс, для упражнения номер 1.130 расположенного на странице 43 к учебнику 2024 года издания для учащихся школ и гимназий.

Теперь на нашем сайте ГДЗ.ТОП вы всегда легко и бесплатно найдёте условие с правильным ответом на вопрос «Как решить ДЗ» и «Как сделать» задание по алгебре к упражнению №1.130 (с. 43), авторов: Арефьева (Ирина Глебовна), Пирютко (Ольга Николаевна), учебного пособия издательства Адукацыя i выхаванне.