Номер 1.191, страница 56 - гдз по алгебре 8 класс учебник Арефьева, Пирютко

Алгебра, 8 класс Учебник, авторы: Арефьева Ирина Глебовна, Пирютко Ольга Николаевна, издательство Адукацыя i выхаванне, Минск, 2024, бирюзового цвета

Авторы: Арефьева И. Г., Пирютко О. Н.

Тип: Учебник

Издательство: Адукацыя i выхаванне

Год издания: 2024 - 2025

Цвет обложки: бирюзовый с графиком

ISBN: ISBN 978-985-03-4081-8

Допущено Министерством образования Республики Беларусь

Популярные ГДЗ в 8 классе

Глава 1. Квадратные корни и их свойства. Действительные числа. Параграф 4. Применение свойств квадратных корней - номер 1.191, страница 56.

№1.191 (с. 56)
Условие. №1.191 (с. 56)
скриншот условия
Алгебра, 8 класс Учебник, авторы: Арефьева Ирина Глебовна, Пирютко Ольга Николаевна, издательство Адукацыя i выхаванне, Минск, 2024, бирюзового цвета, страница 56, номер 1.191, Условие

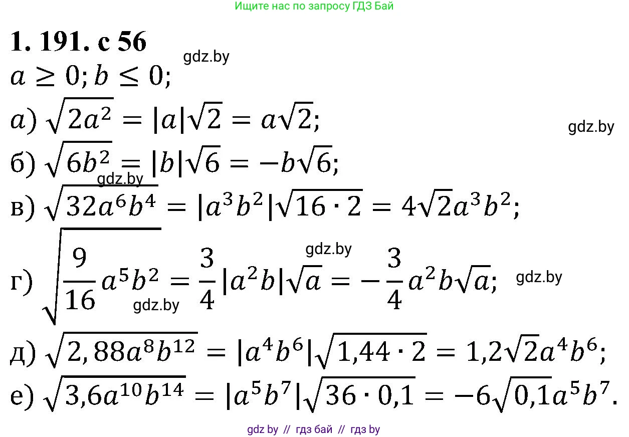
1.191. Зная, что $a \ge 0, b \le 0$, вынесите множитель за знак корня в выражении:

а) $\sqrt{2a^2}$;

б) $\sqrt{6b^2}$;

в) $\sqrt{32a^6b^4}$;

г) $\sqrt{\frac{9}{16}a^5b^2}$;

д) $\sqrt{2,88a^8b^{12}};

е) $\sqrt{3,6a^{10}b^{14}}$.

Решение. №1.191 (с. 56)
Алгебра, 8 класс Учебник, авторы: Арефьева Ирина Глебовна, Пирютко Ольга Николаевна, издательство Адукацыя i выхаванне, Минск, 2024, бирюзового цвета, страница 56, номер 1.191, Решение
Решение 2. №1.191 (с. 56)

Для решения этой задачи необходимо использовать свойство квадратного корня $\sqrt{x^2} = |x|$ и определение модуля числа. Также важно учитывать заданные условия: $a \ge 0$ и $b \le 0$.

Напомним, что $|x| = x$, если $x \ge 0$, и $|x| = -x$, если $x < 0$.

Исходя из условий $a \ge 0$ и $b \le 0$, мы можем определить знаки выражений, содержащих переменные $a$ и $b$:

  • Для любой натуральной степени $n$, $a^n \ge 0$. Следовательно, $|a^n| = a^n$.
  • Для $b \le 0$: если степень $n$ четная, то $b^n \ge 0$ и $|b^n| = b^n$. Если степень $n$ нечетная, то $b^n \le 0$ и $|b^n| = -b^n$.

а) $\sqrt{2a^2} = \sqrt{2} \cdot \sqrt{a^2} = \sqrt{2} \cdot |a|$. Поскольку по условию $a \ge 0$, то $|a|=a$.
Ответ: $a\sqrt{2}$

б) $\sqrt{6b^2} = \sqrt{6} \cdot \sqrt{b^2} = \sqrt{6} \cdot |b|$. Поскольку по условию $b \le 0$, то $|b|=-b$.
Ответ: $-b\sqrt{6}$

в) $\sqrt{32a^6b^4} = \sqrt{16 \cdot 2 \cdot (a^3)^2 \cdot (b^2)^2} = 4 \cdot |a^3| \cdot |b^2| \cdot \sqrt{2}$. Так как $a \ge 0$, то $a^3 \ge 0$ и $|a^3| = a^3$. Выражение $b^2$ всегда неотрицательно ($b^2 \ge 0$), поэтому $|b^2| = b^2$. В результате получаем $4a^3b^2\sqrt{2}$.
Ответ: $4a^3b^2\sqrt{2}$

г) $\sqrt{\frac{9}{16}a^5b^2} = \sqrt{\frac{9}{16} \cdot a^4 \cdot a \cdot b^2} = \sqrt{(\frac{3}{4})^2 \cdot (a^2)^2 \cdot b^2 \cdot a} = \frac{3}{4} \cdot |a^2| \cdot |b| \cdot \sqrt{a}$. Так как $a^2 \ge 0$, то $|a^2| = a^2$. Так как $b \le 0$, то $|b| = -b$. В результате получаем $\frac{3}{4}a^2(-b)\sqrt{a} = -\frac{3}{4}a^2b\sqrt{a}$.
Ответ: $-\frac{3}{4}a^2b\sqrt{a}$

д) $\sqrt{2,88a^8b^{12}} = \sqrt{1,44 \cdot 2 \cdot (a^4)^2 \cdot (b^6)^2} = 1,2 \cdot |a^4| \cdot |b^6| \cdot \sqrt{2}$. Степени $a^4$ и $b^6$ всегда неотрицательны, поэтому $|a^4| = a^4$ и $|b^6| = b^6$. Получаем $1,2a^4b^6\sqrt{2} = \frac{12}{10}a^4b^6\sqrt{2} = \frac{6}{5}a^4b^6\sqrt{2}$. Преобразуем неправильную дробь $\frac{6}{5}$ в смешанное число: $\frac{6}{5}=1\frac{1}{5}$.
Ответ: $\textbf{1}\frac{1}{5}a^4b^6\sqrt{2}$

е) $\sqrt{3,6a^{10}b^{14}} = \sqrt{0,36 \cdot 10 \cdot (a^5)^2 \cdot (b^7)^2} = 0,6 \cdot |a^5| \cdot |b^7| \cdot \sqrt{10}$. Так как $a \ge 0$, то $a^5 \ge 0$ и $|a^5|=a^5$. Так как $b \le 0$, то $b^7 \le 0$, следовательно $|b^7|=-b^7$. В результате получаем $0,6 \cdot a^5 \cdot (-b^7) \cdot \sqrt{10} = -0,6a^5b^7\sqrt{10}$.
Ответ: $-0,6a^5b^7\sqrt{10}$

Помогло решение? Оставьте отзыв в комментариях ниже.

Присоединяйтесь к Телеграм-группе @gdz_by_belarus

Присоединиться

Мы подготовили для вас ответ c подробным объяснением домашего задания по алгебре за 8 класс, для упражнения номер 1.191 расположенного на странице 56 к учебнику 2024 года издания для учащихся школ и гимназий.

Теперь на нашем сайте ГДЗ.ТОП вы всегда легко и бесплатно найдёте условие с правильным ответом на вопрос «Как решить ДЗ» и «Как сделать» задание по алгебре к упражнению №1.191 (с. 56), авторов: Арефьева (Ирина Глебовна), Пирютко (Ольга Николаевна), учебного пособия издательства Адукацыя i выхаванне.