Номер 2.143, страница 130 - гдз по алгебре 8 класс учебник Арефьева, Пирютко

Алгебра, 8 класс Учебник, авторы: Арефьева Ирина Глебовна, Пирютко Ольга Николаевна, издательство Адукацыя i выхаванне, Минск, 2024, бирюзового цвета

Авторы: Арефьева И. Г., Пирютко О. Н.

Тип: Учебник

Издательство: Адукацыя i выхаванне

Год издания: 2024 - 2025

Цвет обложки: бирюзовый с графиком

ISBN: ISBN 978-985-03-4081-8

Допущено Министерством образования Республики Беларусь

Популярные ГДЗ в 8 классе

Глава 2. Квадратные уравнения. Параграф 10. Квадратный трехчлен. Разложение квадратного трехчлена на множители - номер 2.143, страница 130.

№2.143 (с. 130)
Условие. №2.143 (с. 130)
скриншот условия
Алгебра, 8 класс Учебник, авторы: Арефьева Ирина Глебовна, Пирютко Ольга Николаевна, издательство Адукацыя i выхаванне, Минск, 2024, бирюзового цвета, страница 130, номер 2.143, Условие

2.143. Представьте квадратный трехчлен в виде произведения двух двучленов:

a) $6x^2 - x - 1;$

б) $12x^2 - 5x - 2;$

в) $-8x^2 + 2x + 1;$

г) $-18x^2 + 21x + 4.$

Решение. №2.143 (с. 130)
Алгебра, 8 класс Учебник, авторы: Арефьева Ирина Глебовна, Пирютко Ольга Николаевна, издательство Адукацыя i выхаванне, Минск, 2024, бирюзового цвета, страница 130, номер 2.143, Решение Алгебра, 8 класс Учебник, авторы: Арефьева Ирина Глебовна, Пирютко Ольга Николаевна, издательство Адукацыя i выхаванне, Минск, 2024, бирюзового цвета, страница 130, номер 2.143, Решение (продолжение 2)
Решение 2. №2.143 (с. 130)

Чтобы представить квадратный трехчлен $ax^2 + bx + c$ в виде произведения двух двучленов, воспользуемся формулой разложения на множители: $a(x - x_1)(x - x_2)$, где $x_1$ и $x_2$ — корни квадратного уравнения $ax^2 + bx + c = 0$.

Корни находим по формуле: $x_{1,2} = \frac{-b \pm \sqrt{D}}{2a}$, где $D = b^2 - 4ac$ — дискриминант.

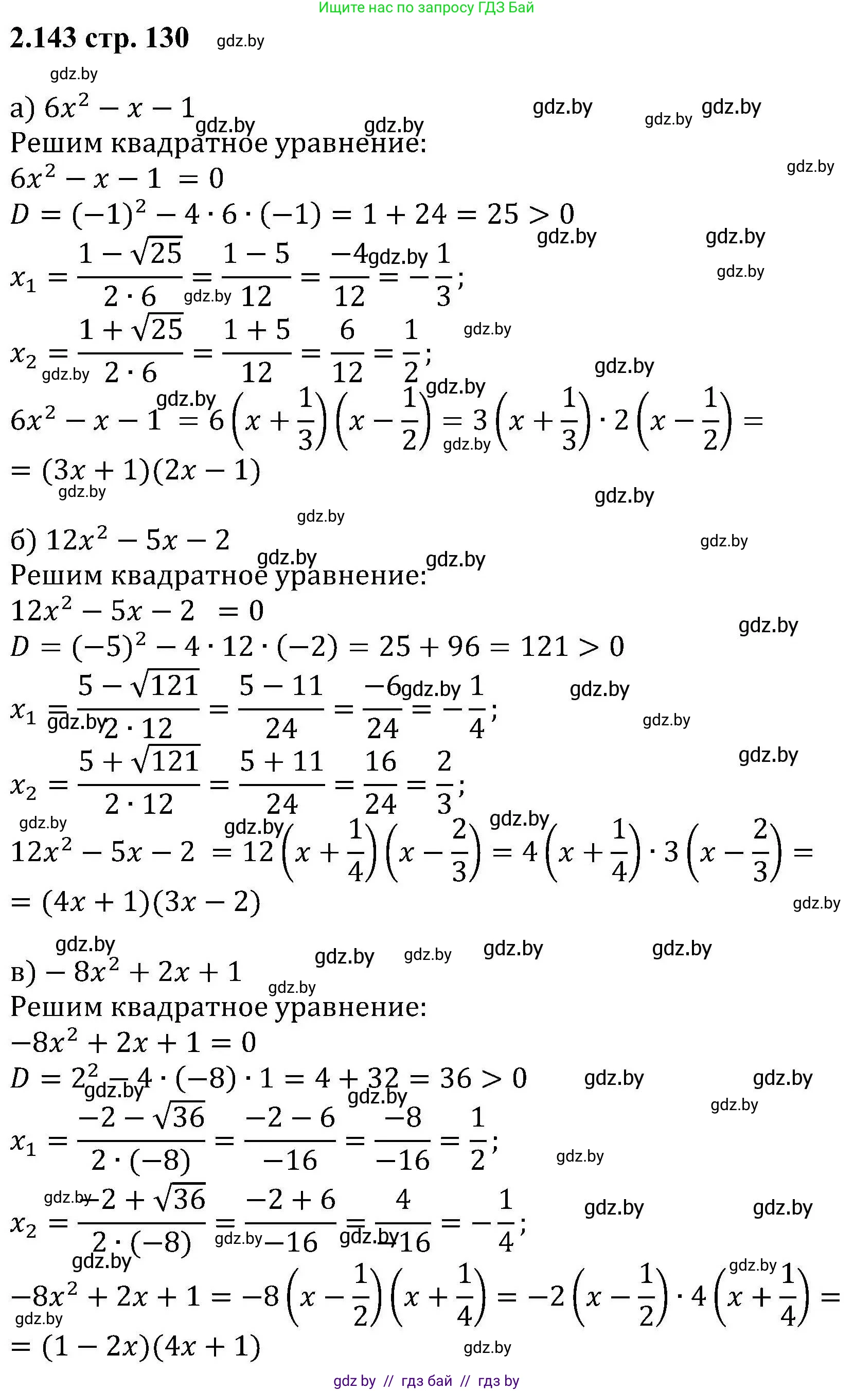
а) Разложим на множители трехчлен $6x^2 - x - 1$.

Приравняем его к нулю, чтобы найти корни: $6x^2 - x - 1 = 0$.

Здесь коэффициенты $a=6, b=-1, c=-1$.

Найдем дискриминант: $D = (-1)^2 - 4 \cdot 6 \cdot (-1) = 1 + 24 = 25$.

Найдем корни уравнения:

$x_1 = \frac{-(-1) + \sqrt{25}}{2 \cdot 6} = \frac{1 + 5}{12} = \frac{6}{12} = \frac{1}{2}$

$x_2 = \frac{-(-1) - \sqrt{25}}{2 \cdot 6} = \frac{1 - 5}{12} = \frac{-4}{12} = -\frac{1}{3}$

Подставим корни в формулу разложения:

$6x^2 - x - 1 = 6(x - \frac{1}{2})(x - (-\frac{1}{3})) = 6(x - \frac{1}{2})(x + \frac{1}{3})$.

Чтобы получить двучлены с целыми коэффициентами, распределим множитель $6$ по скобкам: $6 = 2 \cdot 3$.

$2(x - \frac{1}{2}) \cdot 3(x + \frac{1}{3}) = (2x - 1)(3x + 1)$.

Ответ: $(2x - 1)(3x + 1)$.

б) Разложим на множители трехчлен $12x^2 - 5x - 2$.

Приравняем его к нулю: $12x^2 - 5x - 2 = 0$.

Коэффициенты: $a=12, b=-5, c=-2$.

Дискриминант: $D = (-5)^2 - 4 \cdot 12 \cdot (-2) = 25 + 96 = 121$.

Корни уравнения:

$x_1 = \frac{-(-5) + \sqrt{121}}{2 \cdot 12} = \frac{5 + 11}{24} = \frac{16}{24} = \frac{2}{3}$

$x_2 = \frac{-(-5) - \sqrt{121}}{2 \cdot 12} = \frac{5 - 11}{24} = \frac{-6}{24} = -\frac{1}{4}$

Подставим корни в формулу разложения:

$12x^2 - 5x - 2 = 12(x - \frac{2}{3})(x - (-\frac{1}{4})) = 12(x - \frac{2}{3})(x + \frac{1}{4})$.

Распределим множитель $12$ по скобкам: $12 = 3 \cdot 4$.

$3(x - \frac{2}{3}) \cdot 4(x + \frac{1}{4}) = (3x - 2)(4x + 1)$.

Ответ: $(3x - 2)(4x + 1)$.

в) Разложим на множители трехчлен $-8x^2 + 2x + 1$.

Приравняем его к нулю: $-8x^2 + 2x + 1 = 0$.

Коэффициенты: $a=-8, b=2, c=1$.

Дискриминант: $D = 2^2 - 4 \cdot (-8) \cdot 1 = 4 + 32 = 36$.

Корни уравнения:

$x_1 = \frac{-2 + \sqrt{36}}{2 \cdot (-8)} = \frac{-2 + 6}{-16} = \frac{4}{-16} = -\frac{1}{4}$

$x_2 = \frac{-2 - \sqrt{36}}{2 \cdot (-8)} = \frac{-2 - 6}{-16} = \frac{-8}{-16} = \frac{1}{2}$

Подставим корни в формулу разложения:

$-8x^2 + 2x + 1 = -8(x - (-\frac{1}{4}))(x - \frac{1}{2}) = -8(x + \frac{1}{4})(x - \frac{1}{2})$.

Распределим множитель $-8$ по скобкам: $-8 = 4 \cdot (-2)$.

$4(x + \frac{1}{4}) \cdot (-2)(x - \frac{1}{2}) = (4x + 1)(-2x + 1) = (4x + 1)(1 - 2x)$.

Ответ: $(4x + 1)(1 - 2x)$.

г) Разложим на множители трехчлен $-18x^2 + 21x + 4$.

Приравняем его к нулю: $-18x^2 + 21x + 4 = 0$.

Коэффициенты: $a=-18, b=21, c=4$.

Дискриминант: $D = 21^2 - 4 \cdot (-18) \cdot 4 = 441 + 288 = 729$.

Корни уравнения:

$x_1 = \frac{-21 + \sqrt{729}}{2 \cdot (-18)} = \frac{-21 + 27}{-36} = \frac{6}{-36} = -\frac{1}{6}$

$x_2 = \frac{-21 - \sqrt{729}}{2 \cdot (-18)} = \frac{-21 - 27}{-36} = \frac{-48}{-36} = \frac{4}{3} = 1\frac{1}{3}$

Подставим корни в формулу разложения:

$-18x^2 + 21x + 4 = -18(x - (-\frac{1}{6}))(x - \frac{4}{3}) = -18(x + \frac{1}{6})(x - \frac{4}{3})$.

Распределим множитель $-18$ по скобкам: $-18 = 6 \cdot (-3)$.

$6(x + \frac{1}{6}) \cdot (-3)(x - \frac{4}{3}) = (6x + 1)(-3x + 4) = (6x + 1)(4 - 3x)$.

Ответ: $(6x + 1)(4 - 3x)$.

Помогло решение? Оставьте отзыв в комментариях ниже.

Присоединяйтесь к Телеграм-группе @gdz_by_belarus

Присоединиться

Мы подготовили для вас ответ c подробным объяснением домашего задания по алгебре за 8 класс, для упражнения номер 2.143 расположенного на странице 130 к учебнику 2024 года издания для учащихся школ и гимназий.

Теперь на нашем сайте ГДЗ.ТОП вы всегда легко и бесплатно найдёте условие с правильным ответом на вопрос «Как решить ДЗ» и «Как сделать» задание по алгебре к упражнению №2.143 (с. 130), авторов: Арефьева (Ирина Глебовна), Пирютко (Ольга Николаевна), учебного пособия издательства Адукацыя i выхаванне.