Номер 2.68, страница 114 - гдз по алгебре 8 класс учебник Арефьева, Пирютко

Алгебра, 8 класс Учебник, авторы: Арефьева Ирина Глебовна, Пирютко Ольга Николаевна, издательство Адукацыя i выхаванне, Минск, 2024, бирюзового цвета

Авторы: Арефьева И. Г., Пирютко О. Н.

Тип: Учебник

Издательство: Адукацыя i выхаванне

Год издания: 2024 - 2025

Цвет обложки: бирюзовый с графиком

ISBN: ISBN 978-985-03-4081-8

Допущено Министерством образования Республики Беларусь

Популярные ГДЗ в 8 классе

Глава 2. Квадратные уравнения. Параграф 8. Формулы корней квадратного уравнения - номер 2.68, страница 114.

№2.68 (с. 114)
Условие. №2.68 (с. 114)
скриншот условия
Алгебра, 8 класс Учебник, авторы: Арефьева Ирина Глебовна, Пирютко Ольга Николаевна, издательство Адукацыя i выхаванне, Минск, 2024, бирюзового цвета, страница 114, номер 2.68, Условие

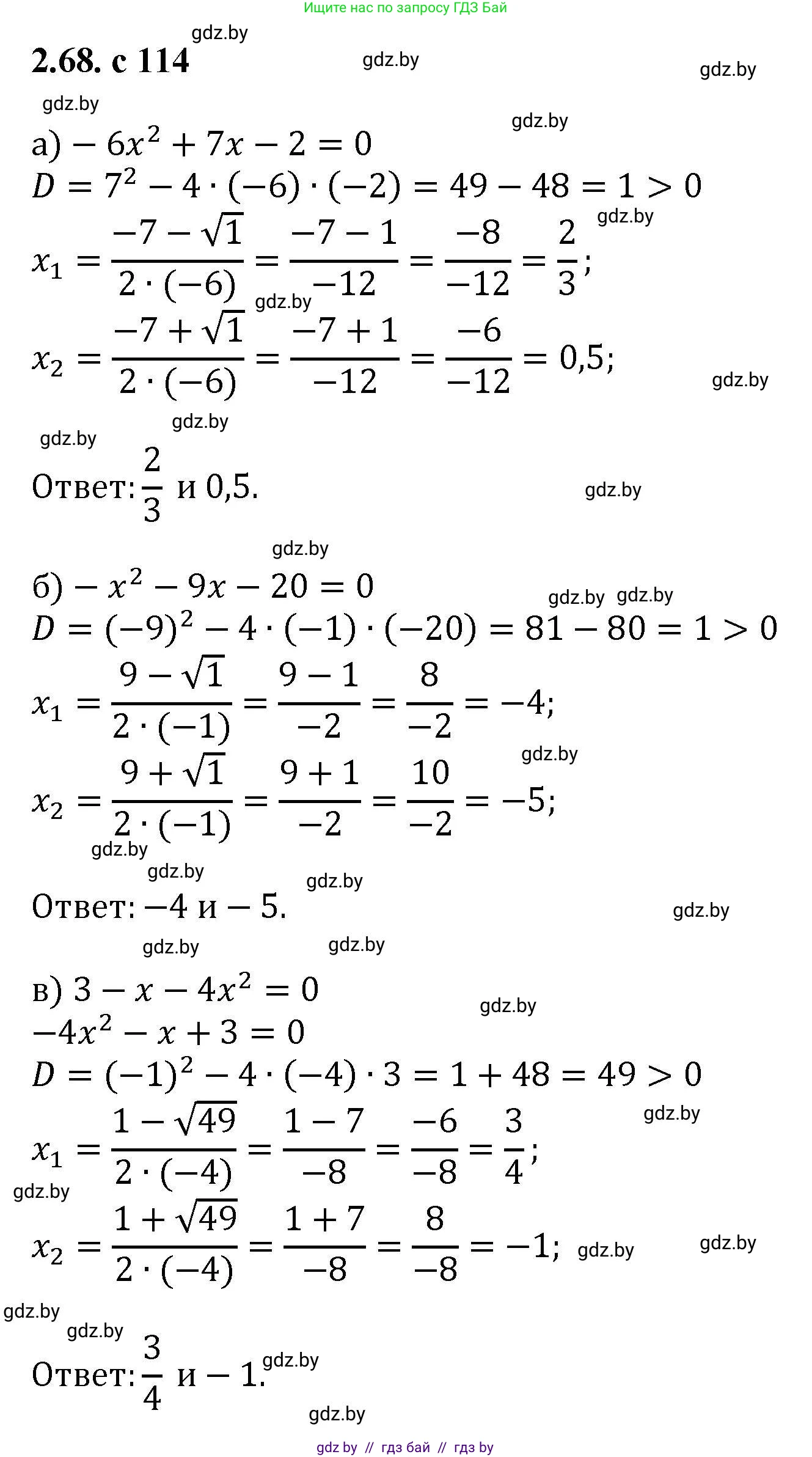
2.68. Решите уравнение:

а) $-6x^2 + 7x - 2 = 0$;

б) $-x^2 - 9x - 20 = 0$;

в) $3 - x - 4x^2 = 0$;

г) $8x - 3x^2 - 5 = 0$;

д) $12x - 9 - 4x^2 = 0$;

е) $1 - 5x - x^2 = 0$.

Решение. №2.68 (с. 114)
Алгебра, 8 класс Учебник, авторы: Арефьева Ирина Глебовна, Пирютко Ольга Николаевна, издательство Адукацыя i выхаванне, Минск, 2024, бирюзового цвета, страница 114, номер 2.68, Решение Алгебра, 8 класс Учебник, авторы: Арефьева Ирина Глебовна, Пирютко Ольга Николаевна, издательство Адукацыя i выхаванне, Минск, 2024, бирюзового цвета, страница 114, номер 2.68, Решение (продолжение 2)
Решение 2. №2.68 (с. 114)
а) $-6x^2 + 7x - 2 = 0$

Для удобства решения умножим все уравнение на -1:

$6x^2 - 7x + 2 = 0$

Это квадратное уравнение вида $ax^2 + bx + c = 0$, где $a = 6$, $b = -7$, $c = 2$.

Найдем дискриминант по формуле $D = b^2 - 4ac$:

$D = (-7)^2 - 4 \cdot 6 \cdot 2 = 49 - 48 = 1$

Так как $D > 0$, уравнение имеет два различных действительных корня.

Найдем корни по формуле $x_{1,2} = \frac{-b \pm \sqrt{D}}{2a}$:

$x_1 = \frac{-(-7) + \sqrt{1}}{2 \cdot 6} = \frac{7 + 1}{12} = \frac{8}{12} = \frac{2}{3}$
$x_2 = \frac{-(-7) - \sqrt{1}}{2 \cdot 6} = \frac{7 - 1}{12} = \frac{6}{12} = \frac{1}{2}$

Ответ: $x_1 = \frac{2}{3}$, $x_2 = \frac{1}{2}$.

б) $-x^2 - 9x - 20 = 0$

Умножим уравнение на -1:

$x^2 + 9x + 20 = 0$

Это приведенное квадратное уравнение ($a = 1$, $b = 9$, $c = 20$).

Найдем дискриминант по формуле $D = b^2 - 4ac$:

$D = 9^2 - 4 \cdot 1 \cdot 20 = 81 - 80 = 1$

Найдем корни по формуле $x_{1,2} = \frac{-b \pm \sqrt{D}}{2a}$:

$x_1 = \frac{-9 + \sqrt{1}}{2 \cdot 1} = \frac{-9 + 1}{2} = \frac{-8}{2} = -4$
$x_2 = \frac{-9 - \sqrt{1}}{2 \cdot 1} = \frac{-9 - 1}{2} = \frac{-10}{2} = -5$

Ответ: $x_1 = -4$, $x_2 = -5$.

в) $3 - x - 4x^2 = 0$

Перепишем уравнение в стандартном виде $ax^2 + bx + c = 0$:

$-4x^2 - x + 3 = 0$

Умножим уравнение на -1:

$4x^2 + x - 3 = 0$

Здесь $a = 4$, $b = 1$, $c = -3$.

Найдем дискриминант $D = b^2 - 4ac$:

$D = 1^2 - 4 \cdot 4 \cdot (-3) = 1 + 48 = 49$

Найдем корни по формуле $x_{1,2} = \frac{-b \pm \sqrt{D}}{2a}$:

$x_1 = \frac{-1 + \sqrt{49}}{2 \cdot 4} = \frac{-1 + 7}{8} = \frac{6}{8} = \frac{3}{4}$
$x_2 = \frac{-1 - \sqrt{49}}{2 \cdot 4} = \frac{-1 - 7}{8} = \frac{-8}{8} = -1$

Ответ: $x_1 = \frac{3}{4}$, $x_2 = -1$.

г) $8x - 3x^2 - 5 = 0$

Перепишем уравнение в стандартном виде:

$-3x^2 + 8x - 5 = 0$

Умножим уравнение на -1:

$3x^2 - 8x + 5 = 0$

Здесь $a = 3$, $b = -8$, $c = 5$.

Найдем дискриминант $D = b^2 - 4ac$:

$D = (-8)^2 - 4 \cdot 3 \cdot 5 = 64 - 60 = 4$

Найдем корни по формуле $x_{1,2} = \frac{-b \pm \sqrt{D}}{2a}$:

$x_1 = \frac{-(-8) + \sqrt{4}}{2 \cdot 3} = \frac{8 + 2}{6} = \frac{10}{6} = \frac{5}{3} = 1\frac{2}{3}$
$x_2 = \frac{-(-8) - \sqrt{4}}{2 \cdot 3} = \frac{8 - 2}{6} = \frac{6}{6} = 1$

Ответ: $x_1 = \mathbf{1}\frac{2}{3}$, $x_2 = 1$.

д) $12x - 9 - 4x^2 = 0$

Перепишем уравнение в стандартном виде:

$-4x^2 + 12x - 9 = 0$

Умножим уравнение на -1:

$4x^2 - 12x + 9 = 0$

Это формула квадрата разности: $(2x - 3)^2 = 0$.

$2x - 3 = 0$
$2x = 3$
$x = \frac{3}{2} = 1\frac{1}{2}$

Также можно решить через дискриминант. Здесь $a = 4$, $b = -12$, $c = 9$.

$D = (-12)^2 - 4 \cdot 4 \cdot 9 = 144 - 144 = 0$

Так как $D = 0$, уравнение имеет один действительный корень. Найдем его по формуле $x = \frac{-b}{2a}$:

$x = \frac{-(-12)}{2 \cdot 4} = \frac{12}{8} = \frac{3}{2} = 1\frac{1}{2}$

Ответ: $x = \mathbf{1}\frac{1}{2}$.

е) $1 - 5x - x^2 = 0$

Перепишем уравнение в стандартном виде:

$-x^2 - 5x + 1 = 0$

Умножим уравнение на -1:

$x^2 + 5x - 1 = 0$

Здесь $a = 1$, $b = 5$, $c = -1$.

Найдем дискриминант $D = b^2 - 4ac$:

$D = 5^2 - 4 \cdot 1 \cdot (-1) = 25 + 4 = 29$

Так как $D > 0$ и корень из $D$ не извлекается нацело, корни будут иррациональными.

Найдем корни по формуле $x_{1,2} = \frac{-b \pm \sqrt{D}}{2a}$:

$x_1 = \frac{-5 + \sqrt{29}}{2}$
$x_2 = \frac{-5 - \sqrt{29}}{2}$

Ответ: $x_1 = \frac{-5 + \sqrt{29}}{2}$, $x_2 = \frac{-5 - \sqrt{29}}{2}$.

Помогло решение? Оставьте отзыв в комментариях ниже.

Присоединяйтесь к Телеграм-группе @gdz_by_belarus

Присоединиться

Мы подготовили для вас ответ c подробным объяснением домашего задания по алгебре за 8 класс, для упражнения номер 2.68 расположенного на странице 114 к учебнику 2024 года издания для учащихся школ и гимназий.

Теперь на нашем сайте ГДЗ.ТОП вы всегда легко и бесплатно найдёте условие с правильным ответом на вопрос «Как решить ДЗ» и «Как сделать» задание по алгебре к упражнению №2.68 (с. 114), авторов: Арефьева (Ирина Глебовна), Пирютко (Ольга Николаевна), учебного пособия издательства Адукацыя i выхаванне.