Номер 2.72, страница 114 - гдз по алгебре 8 класс учебник Арефьева, Пирютко
Авторы: Арефьева И. Г., Пирютко О. Н.
Тип: Учебник
Издательство: Адукацыя i выхаванне
Год издания: 2024 - 2025
Цвет обложки: бирюзовый с графиком
ISBN: ISBN 978-985-03-4081-8
Допущено Министерством образования Республики Беларусь
Популярные ГДЗ в 8 классе
Глава 2. Квадратные уравнения. Параграф 8. Формулы корней квадратного уравнения - номер 2.72, страница 114.
№2.72 (с. 114)
Условие. №2.72 (с. 114)
скриншот условия
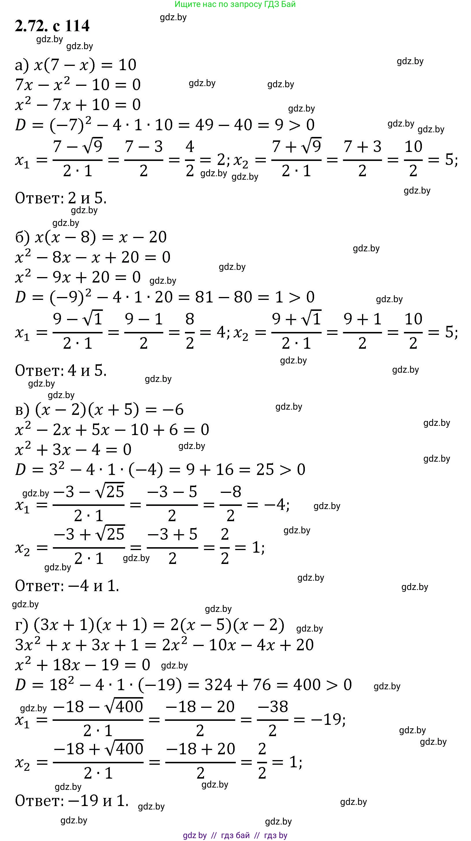
2.72. Решите уравнение:
а) $x(7-x)=10;$
б) $x(x-8)=x-20;$
в) $(x-2)(x+5)=-6;$
г) $(3x+1)(x+1)=2(x-5)(x-2).$
Решение. №2.72 (с. 114)
Решение 2. №2.72 (с. 114)
Для решения данных уравнений необходимо привести их к стандартному виду квадратного уравнения $ax^2 + bx + c = 0$ и затем найти корни.
а) $x(7 - x) = 10$Раскроем скобки в левой части уравнения:
$7x - x^2 = 10$
Перенесем все члены в правую часть, чтобы получить стандартный вид квадратного уравнения:
$0 = x^2 - 7x + 10$
$x^2 - 7x + 10 = 0$
Теперь решим это квадратное уравнение. Можно использовать теорему Виета: произведение корней равно 10, а их сумма равна 7. Подбираем корни: $x_1 = 2$, $x_2 = 5$.
Или можно использовать формулу для нахождения корней через дискриминант:
$D = b^2 - 4ac = (-7)^2 - 4 \cdot 1 \cdot 10 = 49 - 40 = 9$
$x_{1,2} = \frac{-b \pm \sqrt{D}}{2a} = \frac{7 \pm \sqrt{9}}{2} = \frac{7 \pm 3}{2}$
$x_1 = \frac{7 + 3}{2} = \frac{10}{2} = 5$
$x_2 = \frac{7 - 3}{2} = \frac{4}{2} = 2$
Ответ: 2; 5.
б) $x(x - 8) = x - 20$Раскроем скобки в левой части уравнения:
$x^2 - 8x = x - 20$
Перенесем все члены в левую часть:
$x^2 - 8x - x + 20 = 0$
$x^2 - 9x + 20 = 0$
Решим полученное квадратное уравнение. По теореме Виета: произведение корней равно 20, а их сумма равна 9. Подбираем корни: $x_1 = 4$, $x_2 = 5$.
Или через дискриминант:
$D = b^2 - 4ac = (-9)^2 - 4 \cdot 1 \cdot 20 = 81 - 80 = 1$
$x_{1,2} = \frac{-b \pm \sqrt{D}}{2a} = \frac{9 \pm \sqrt{1}}{2} = \frac{9 \pm 1}{2}$
$x_1 = \frac{9 + 1}{2} = \frac{10}{2} = 5$
$x_2 = \frac{9 - 1}{2} = \frac{8}{2} = 4$
Ответ: 4; 5.
в) $(x - 2)(x + 5) = -6$Раскроем скобки в левой части уравнения:
$x^2 + 5x - 2x - 10 = -6$
$x^2 + 3x - 10 = -6$
Перенесем -6 в левую часть:
$x^2 + 3x - 10 + 6 = 0$
$x^2 + 3x - 4 = 0$
Решим полученное квадратное уравнение. По теореме Виета: произведение корней равно -4, а их сумма равна -3. Подбираем корни: $x_1 = 1$, $x_2 = -4$.
Или через дискриминант:
$D = b^2 - 4ac = 3^2 - 4 \cdot 1 \cdot (-4) = 9 + 16 = 25$
$x_{1,2} = \frac{-b \pm \sqrt{D}}{2a} = \frac{-3 \pm \sqrt{25}}{2} = \frac{-3 \pm 5}{2}$
$x_1 = \frac{-3 + 5}{2} = \frac{2}{2} = 1$
$x_2 = \frac{-3 - 5}{2} = \frac{-8}{2} = -4$
Ответ: -4; 1.
г) $(3x + 1)(x + 1) = 2(x - 5)(x - 2)$Раскроем скобки в обеих частях уравнения.
Левая часть: $(3x + 1)(x + 1) = 3x^2 + 3x + x + 1 = 3x^2 + 4x + 1$
Правая часть: $2(x - 5)(x - 2) = 2(x^2 - 2x - 5x + 10) = 2(x^2 - 7x + 10) = 2x^2 - 14x + 20$
Приравняем левую и правую части:
$3x^2 + 4x + 1 = 2x^2 - 14x + 20$
Перенесем все члены в левую часть и приведем подобные слагаемые:
$(3x^2 - 2x^2) + (4x + 14x) + (1 - 20) = 0$
$x^2 + 18x - 19 = 0$
Решим полученное квадратное уравнение. По теореме Виета: произведение корней равно -19, а их сумма равна -18. Подбираем корни: $x_1 = 1$, $x_2 = -19$.
Или через дискриминант:
$D = b^2 - 4ac = 18^2 - 4 \cdot 1 \cdot (-19) = 324 + 76 = 400$
$x_{1,2} = \frac{-b \pm \sqrt{D}}{2a} = \frac{-18 \pm \sqrt{400}}{2} = \frac{-18 \pm 20}{2}$
$x_1 = \frac{-18 + 20}{2} = \frac{2}{2} = 1$
$x_2 = \frac{-18 - 20}{2} = \frac{-38}{2} = -19$
Ответ: -19; 1.
Другие задания:
Помогло решение? Оставьте отзыв в комментариях ниже.
Присоединяйтесь к Телеграм-группе @gdz_by_belarus
ПрисоединитьсяМы подготовили для вас ответ c подробным объяснением домашего задания по алгебре за 8 класс, для упражнения номер 2.72 расположенного на странице 114 к учебнику 2024 года издания для учащихся школ и гимназий.
Теперь на нашем сайте ГДЗ.ТОП вы всегда легко и бесплатно найдёте условие с правильным ответом на вопрос «Как решить ДЗ» и «Как сделать» задание по алгебре к упражнению №2.72 (с. 114), авторов: Арефьева (Ирина Глебовна), Пирютко (Ольга Николаевна), учебного пособия издательства Адукацыя i выхаванне.