Номер 2.77, страница 115 - гдз по алгебре 8 класс учебник Арефьева, Пирютко
Авторы: Арефьева И. Г., Пирютко О. Н.
Тип: Учебник
Издательство: Адукацыя i выхаванне
Год издания: 2024 - 2025
Цвет обложки: бирюзовый с графиком
ISBN: ISBN 978-985-03-4081-8
Допущено Министерством образования Республики Беларусь
Популярные ГДЗ в 8 классе
Глава 2. Квадратные уравнения. Параграф 8. Формулы корней квадратного уравнения - номер 2.77, страница 115.
№2.77 (с. 115)
Условие. №2.77 (с. 115)
скриншот условия
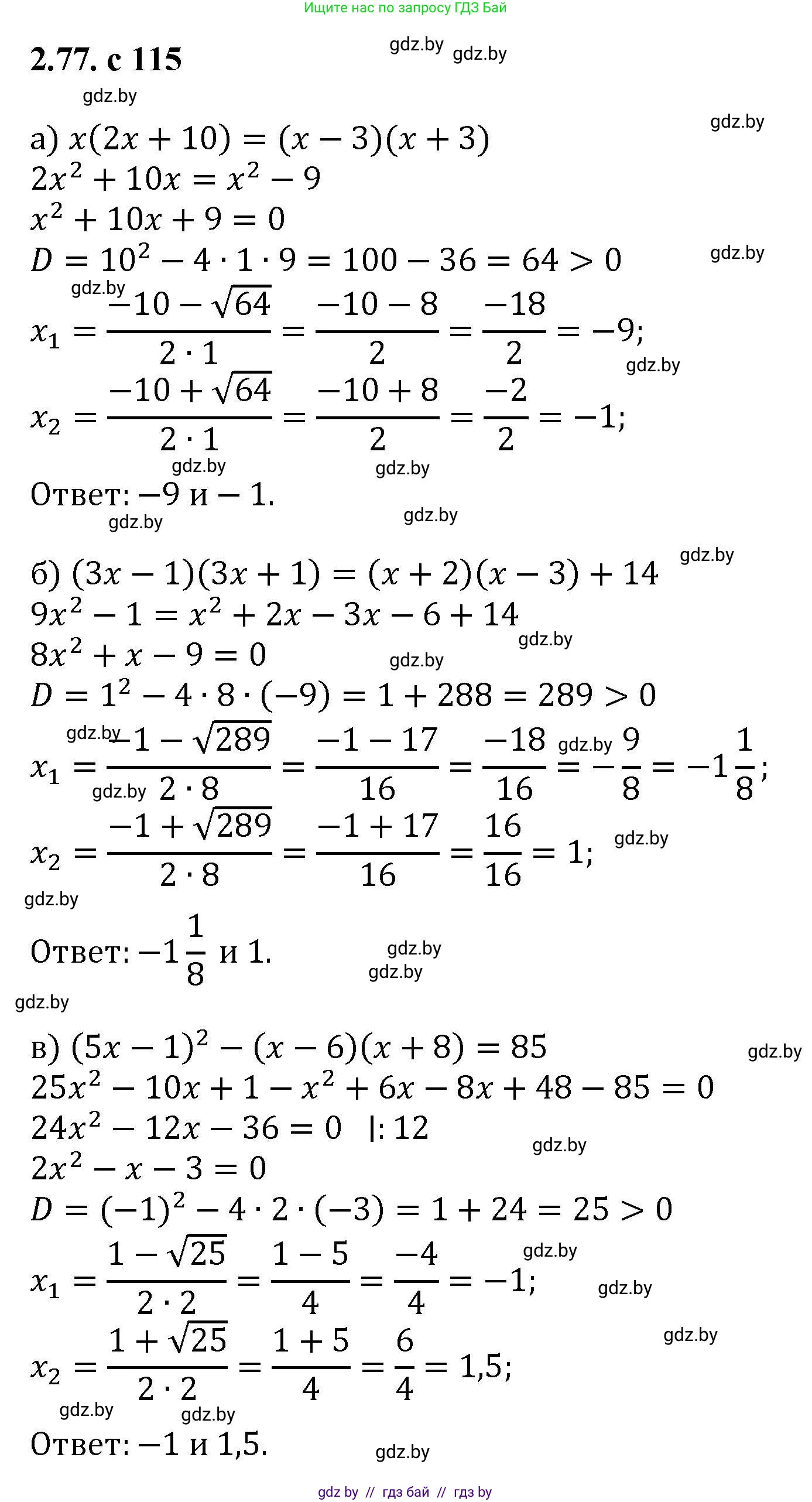
2.77. Решите уравнение:
а) $x(2x + 10) = (x - 3)(x + 3);$
б) $(3x - 1)(3x + 1) = (x + 2)(x - 3) + 14;$
в) $(5x - 1)^2 - (x - 6)(x + 8) = 85;$
г) $(2x - 1)^2 + (x + 3)^2 = 13.$
Решение. №2.77 (с. 115)
Решение 2. №2.77 (с. 115)
а) $x(2x + 10) = (x - 3)(x + 3)$
Раскроем скобки в обеих частях уравнения. В левой части умножим $x$ на каждый член в скобках. В правой части используем формулу разности квадратов $(a-b)(a+b) = a^2 - b^2$.
$2x^2 + 10x = x^2 - 3^2$
$2x^2 + 10x = x^2 - 9$
Перенесем все члены уравнения в левую часть, чтобы получить квадратное уравнение вида $ax^2 + bx + c = 0$.
$2x^2 - x^2 + 10x + 9 = 0$
$x^2 + 10x + 9 = 0$
Решим полученное квадратное уравнение. Найдем дискриминант:
$D = b^2 - 4ac = 10^2 - 4 \cdot 1 \cdot 9 = 100 - 36 = 64$
Найдем корни уравнения:
$x_1 = \frac{-10 + \sqrt{64}}{2 \cdot 1} = \frac{-10 + 8}{2} = \frac{-2}{2} = -1$
$x_2 = \frac{-10 - \sqrt{64}}{2 \cdot 1} = \frac{-10 - 8}{2} = \frac{-18}{2} = -9$
Ответ: $x_1 = -9$, $x_2 = -1$.
б) $(3x - 1)(3x + 1) = (x + 2)(x - 3) + 14$
Раскроем скобки. В левой части используем формулу разности квадратов. В правой части перемножим скобки.
$(3x)^2 - 1^2 = x^2 - 3x + 2x - 6 + 14$
$9x^2 - 1 = x^2 - x + 8$
Перенесем все члены в левую часть:
$9x^2 - x^2 + x - 1 - 8 = 0$
$8x^2 + x - 9 = 0$
Решим квадратное уравнение. Найдем дискриминант:
$D = b^2 - 4ac = 1^2 - 4 \cdot 8 \cdot (-9) = 1 + 288 = 289$
Найдем корни:
$x_1 = \frac{-1 + \sqrt{289}}{2 \cdot 8} = \frac{-1 + 17}{16} = \frac{16}{16} = 1$
$x_2 = \frac{-1 - \sqrt{289}}{2 \cdot 8} = \frac{-1 - 17}{16} = \frac{-18}{16} = -\frac{9}{8} = -1\frac{1}{8}$
Ответ: $x_1 = 1$, $x_2 = \mathbf{-1}\frac{1}{8}$.
в) $(5x - 1)^2 - (x - 6)(x + 8) = 85$
Раскроем скобки, используя формулу квадрата разности $(a-b)^2 = a^2 - 2ab + b^2$ и правило умножения многочленов.
$(25x^2 - 10x + 1) - (x^2 + 8x - 6x - 48) = 85$
$25x^2 - 10x + 1 - (x^2 + 2x - 48) = 85$
Раскроем вторые скобки, меняя знаки на противоположные:
$25x^2 - 10x + 1 - x^2 - 2x + 48 = 85$
Приведем подобные слагаемые:
$24x^2 - 12x + 49 = 85$
Перенесем 85 в левую часть:
$24x^2 - 12x + 49 - 85 = 0$
$24x^2 - 12x - 36 = 0$
Разделим все уравнение на 12 для упрощения:
$2x^2 - x - 3 = 0$
Решим полученное квадратное уравнение. Найдем дискриминант:
$D = b^2 - 4ac = (-1)^2 - 4 \cdot 2 \cdot (-3) = 1 + 24 = 25$
Найдем корни:
$x_1 = \frac{-(-1) + \sqrt{25}}{2 \cdot 2} = \frac{1 + 5}{4} = \frac{6}{4} = \frac{3}{2} = 1\frac{1}{2}$
$x_2 = \frac{-(-1) - \sqrt{25}}{2 \cdot 2} = \frac{1 - 5}{4} = \frac{-4}{4} = -1$
Ответ: $x_1 = \mathbf{1}\frac{1}{2}$, $x_2 = -1$.
г) $(2x - 1)^2 + (x + 3)^2 = 13$
Раскроем скобки, используя формулы квадрата разности и квадрата суммы.
$(4x^2 - 4x + 1) + (x^2 + 6x + 9) = 13$
Приведем подобные слагаемые:
$4x^2 + x^2 - 4x + 6x + 1 + 9 = 13$
$5x^2 + 2x + 10 = 13$
Перенесем 13 в левую часть:
$5x^2 + 2x + 10 - 13 = 0$
$5x^2 + 2x - 3 = 0$
Решим квадратное уравнение. Найдем дискриминант:
$D = b^2 - 4ac = 2^2 - 4 \cdot 5 \cdot (-3) = 4 + 60 = 64$
Найдем корни:
$x_1 = \frac{-2 + \sqrt{64}}{2 \cdot 5} = \frac{-2 + 8}{10} = \frac{6}{10} = \frac{3}{5}$
$x_2 = \frac{-2 - \sqrt{64}}{2 \cdot 5} = \frac{-2 - 8}{10} = \frac{-10}{10} = -1$
Ответ: $x_1 = \frac{3}{5}$, $x_2 = -1$.
Другие задания:
Помогло решение? Оставьте отзыв в комментариях ниже.
Присоединяйтесь к Телеграм-группе @gdz_by_belarus
ПрисоединитьсяМы подготовили для вас ответ c подробным объяснением домашего задания по алгебре за 8 класс, для упражнения номер 2.77 расположенного на странице 115 к учебнику 2024 года издания для учащихся школ и гимназий.
Теперь на нашем сайте ГДЗ.ТОП вы всегда легко и бесплатно найдёте условие с правильным ответом на вопрос «Как решить ДЗ» и «Как сделать» задание по алгебре к упражнению №2.77 (с. 115), авторов: Арефьева (Ирина Глебовна), Пирютко (Ольга Николаевна), учебного пособия издательства Адукацыя i выхаванне.