Номер 2.78, страница 115 - гдз по алгебре 8 класс учебник Арефьева, Пирютко

Алгебра, 8 класс Учебник, авторы: Арефьева Ирина Глебовна, Пирютко Ольга Николаевна, издательство Адукацыя i выхаванне, Минск, 2024, бирюзового цвета

Авторы: Арефьева И. Г., Пирютко О. Н.

Тип: Учебник

Издательство: Адукацыя i выхаванне

Год издания: 2024 - 2025

Цвет обложки: бирюзовый с графиком

ISBN: ISBN 978-985-03-4081-8

Допущено Министерством образования Республики Беларусь

Популярные ГДЗ в 8 классе

Глава 2. Квадратные уравнения. Параграф 8. Формулы корней квадратного уравнения - номер 2.78, страница 115.

№2.78 (с. 115)
Условие. №2.78 (с. 115)
скриншот условия
Алгебра, 8 класс Учебник, авторы: Арефьева Ирина Глебовна, Пирютко Ольга Николаевна, издательство Адукацыя i выхаванне, Минск, 2024, бирюзового цвета, страница 115, номер 2.78, Условие

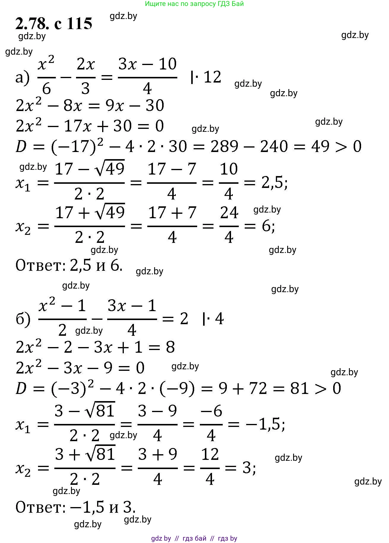
2.78. Решите уравнение:

а) $ \frac{x^2}{6} - \frac{2x}{3} = \frac{3x - 10}{4}; $

б) $ \frac{x^2 - 1}{2} - \frac{3x - 1}{4} = 2; $

В) $ \frac{2x^2 + x}{3} - \frac{x + 3}{4} = x - 1; $

Г) $ \frac{x^2 + 3x}{8} = \frac{x - 1}{4} + \frac{3 - 2x}{2}. $

Решение. №2.78 (с. 115)
Алгебра, 8 класс Учебник, авторы: Арефьева Ирина Глебовна, Пирютко Ольга Николаевна, издательство Адукацыя i выхаванне, Минск, 2024, бирюзового цвета, страница 115, номер 2.78, Решение Алгебра, 8 класс Учебник, авторы: Арефьева Ирина Глебовна, Пирютко Ольга Николаевна, издательство Адукацыя i выхаванне, Минск, 2024, бирюзового цвета, страница 115, номер 2.78, Решение (продолжение 2)
Решение 2. №2.78 (с. 115)

а) $\frac{x^2}{6} - \frac{2x}{3} = \frac{3x-10}{4}$

Чтобы избавиться от знаменателей, умножим обе части уравнения на наименьшее общее кратное знаменателей 6, 3 и 4, которое равно 12.

$12 \cdot \frac{x^2}{6} - 12 \cdot \frac{2x}{3} = 12 \cdot \frac{3x-10}{4}$

$2x^2 - 4(2x) = 3(3x-10)$

$2x^2 - 8x = 9x - 30$

Перенесем все члены уравнения в левую часть и приведем подобные слагаемые, чтобы получить квадратное уравнение стандартного вида $ax^2 + bx + c = 0$:

$2x^2 - 8x - 9x + 30 = 0$

$2x^2 - 17x + 30 = 0$

Решим это уравнение с помощью дискриминанта: $D = b^2 - 4ac$.

$D = (-17)^2 - 4 \cdot 2 \cdot 30 = 289 - 240 = 49$

Найдем корни уравнения по формуле $x = \frac{-b \pm \sqrt{D}}{2a}$:

$x_1 = \frac{17 + \sqrt{49}}{2 \cdot 2} = \frac{17 + 7}{4} = \frac{24}{4} = 6$

$x_2 = \frac{17 - \sqrt{49}}{2 \cdot 2} = \frac{17 - 7}{4} = \frac{10}{4} = \frac{5}{2} = 2\frac{1}{2}$

Ответ: $6$; $2\frac{1}{2}$.

б) $\frac{x^2-1}{2} - \frac{3x-1}{4} = 2$

Умножим обе части уравнения на наименьшее общее кратное знаменателей 2 и 4, то есть на 4.

$4 \cdot \frac{x^2-1}{2} - 4 \cdot \frac{3x-1}{4} = 4 \cdot 2$

$2(x^2-1) - (3x-1) = 8$

$2x^2 - 2 - 3x + 1 = 8$

Приведем уравнение к стандартному виду:

$2x^2 - 3x - 1 = 8$

$2x^2 - 3x - 9 = 0$

Решим квадратное уравнение через дискриминант:

$D = (-3)^2 - 4 \cdot 2 \cdot (-9) = 9 + 72 = 81$

Найдем корни:

$x_1 = \frac{3 + \sqrt{81}}{2 \cdot 2} = \frac{3 + 9}{4} = \frac{12}{4} = 3$

$x_2 = \frac{3 - \sqrt{81}}{2 \cdot 2} = \frac{3 - 9}{4} = \frac{-6}{4} = -\frac{3}{2} = -1\frac{1}{2}$

Ответ: $3$; $-1\frac{1}{2}$.

в) $\frac{2x^2+x}{3} - \frac{x+3}{4} = x-1$

Умножим обе части уравнения на наименьшее общее кратное знаменателей 3 и 4, то есть на 12.

$12 \cdot \frac{2x^2+x}{3} - 12 \cdot \frac{x+3}{4} = 12(x-1)$

$4(2x^2+x) - 3(x+3) = 12x - 12$

$8x^2 + 4x - 3x - 9 = 12x - 12$

$8x^2 + x - 9 = 12x - 12$

Приведем уравнение к стандартному виду:

$8x^2 + x - 12x - 9 + 12 = 0$

$8x^2 - 11x + 3 = 0$

Решим квадратное уравнение через дискриминант:

$D = (-11)^2 - 4 \cdot 8 \cdot 3 = 121 - 96 = 25$

Найдем корни:

$x_1 = \frac{11 + \sqrt{25}}{2 \cdot 8} = \frac{11 + 5}{16} = \frac{16}{16} = 1$

$x_2 = \frac{11 - \sqrt{25}}{2 \cdot 8} = \frac{11 - 5}{16} = \frac{6}{16} = \frac{3}{8}$

Ответ: $1$; $\frac{3}{8}$.

г) $\frac{x^2+3x}{8} = \frac{x-1}{4} + \frac{3-2x}{2}$

Умножим обе части уравнения на наименьшее общее кратное знаменателей 8, 4 и 2, то есть на 8.

$8 \cdot \frac{x^2+3x}{8} = 8 \cdot \frac{x-1}{4} + 8 \cdot \frac{3-2x}{2}$

$x^2+3x = 2(x-1) + 4(3-2x)$

$x^2+3x = 2x - 2 + 12 - 8x$

$x^2+3x = -6x + 10$

Приведем уравнение к стандартному виду:

$x^2 + 3x + 6x - 10 = 0$

$x^2 + 9x - 10 = 0$

Решим квадратное уравнение. Можно использовать теорему Виета. Сумма корней равна $-9$, а произведение равно $-10$. Корни равны $1$ и $-10$. Проверим с помощью дискриминанта:

$D = 9^2 - 4 \cdot 1 \cdot (-10) = 81 + 40 = 121$

Найдем корни:

$x_1 = \frac{-9 + \sqrt{121}}{2 \cdot 1} = \frac{-9 + 11}{2} = \frac{2}{2} = 1$

$x_2 = \frac{-9 - \sqrt{121}}{2 \cdot 1} = \frac{-9 - 11}{2} = \frac{-20}{2} = -10$

Ответ: $1$; $-10$.

Помогло решение? Оставьте отзыв в комментариях ниже.

Присоединяйтесь к Телеграм-группе @gdz_by_belarus

Присоединиться

Мы подготовили для вас ответ c подробным объяснением домашего задания по алгебре за 8 класс, для упражнения номер 2.78 расположенного на странице 115 к учебнику 2024 года издания для учащихся школ и гимназий.

Теперь на нашем сайте ГДЗ.ТОП вы всегда легко и бесплатно найдёте условие с правильным ответом на вопрос «Как решить ДЗ» и «Как сделать» задание по алгебре к упражнению №2.78 (с. 115), авторов: Арефьева (Ирина Глебовна), Пирютко (Ольга Николаевна), учебного пособия издательства Адукацыя i выхаванне.