Номер 3.140, страница 195 - гдз по алгебре 8 класс учебник Арефьева, Пирютко

Алгебра, 8 класс Учебник, авторы: Арефьева Ирина Глебовна, Пирютко Ольга Николаевна, издательство Адукацыя i выхаванне, Минск, 2024, бирюзового цвета

Авторы: Арефьева И. Г., Пирютко О. Н.

Тип: Учебник

Издательство: Адукацыя i выхаванне

Год издания: 2024 - 2025

Цвет обложки: бирюзовый с графиком

ISBN: ISBN 978-985-03-4081-8

Допущено Министерством образования Республики Беларусь

Популярные ГДЗ в 8 классе

Глава 3. Квадратичная функция. Параграф 15. Квадратные неравенства - номер 3.140, страница 195.

№3.140 (с. 195)
Условие. №3.140 (с. 195)
скриншот условия
Алгебра, 8 класс Учебник, авторы: Арефьева Ирина Глебовна, Пирютко Ольга Николаевна, издательство Адукацыя i выхаванне, Минск, 2024, бирюзового цвета, страница 195, номер 3.140, Условие Алгебра, 8 класс Учебник, авторы: Арефьева Ирина Глебовна, Пирютко Ольга Николаевна, издательство Адукацыя i выхаванне, Минск, 2024, бирюзового цвета, страница 195, номер 3.140, Условие (продолжение 2)

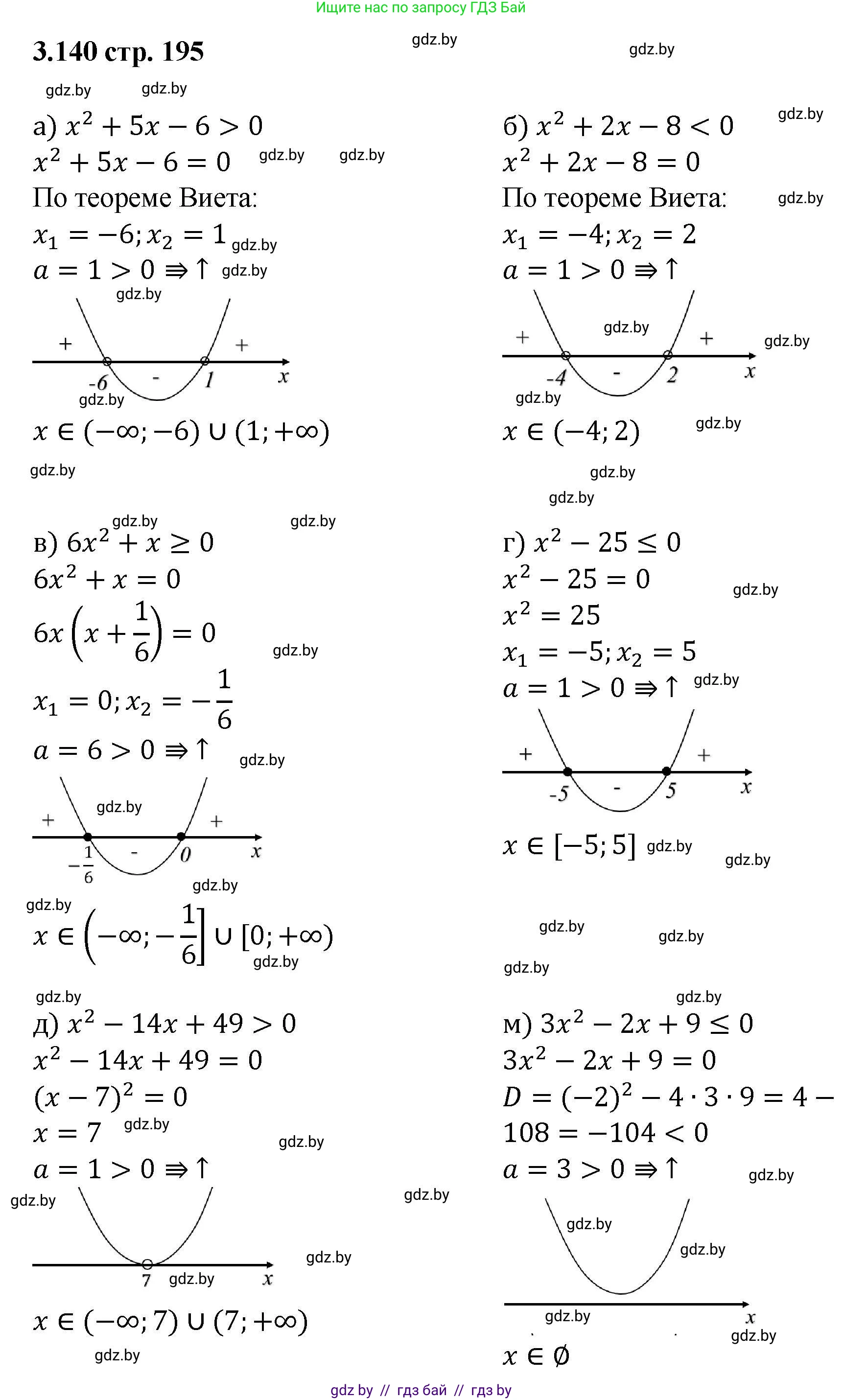
3.140. Решите квадратное неравенство, используя алгоритм:

а) $x^2 + 5x - 6 > 0;$

б) $x^2 + 2x - 8 < 0;$

в) $6x^2 + x \ge 0;$

г) $x^2 - 25 \le 0;$

д) $x^2 - 14x + 49 > 0;$

е) $9x^2 - 30x + 25 < 0;$

ж) $4x^2 + 4x + 1 \ge 0;$

з) $x^2 - x + \frac{1}{4} \le 0;$

и) $2x^2 - 7x + 7 > 0;$

к) $5x^2 - x + 7 < 0;$

л) $8x^2 - 3x + 5 \ge 0;$

м) $3x^2 - 2x + 9 \le 0.$

Решение. №3.140 (с. 195)
Алгебра, 8 класс Учебник, авторы: Арефьева Ирина Глебовна, Пирютко Ольга Николаевна, издательство Адукацыя i выхаванне, Минск, 2024, бирюзового цвета, страница 195, номер 3.140, Решение Алгебра, 8 класс Учебник, авторы: Арефьева Ирина Глебовна, Пирютко Ольга Николаевна, издательство Адукацыя i выхаванне, Минск, 2024, бирюзового цвета, страница 195, номер 3.140, Решение (продолжение 2)
Решение 2. №3.140 (с. 195)

а) Решим неравенство $x^2 + 5x - 6 > 0$.
1. Найдем корни соответствующего квадратного уравнения $x^2 + 5x - 6 = 0$.
Дискриминант $D = 5^2 - 4 \cdot 1 \cdot (-6) = 25 + 24 = 49$.
$x_1 = \frac{-5 - \sqrt{49}}{2} = \frac{-5 - 7}{2} = -6$.
$x_2 = \frac{-5 + \sqrt{49}}{2} = \frac{-5 + 7}{2} = 1$.
2. Графиком функции $y = x^2 + 5x - 6$ является парабола, ветви которой направлены вверх (коэффициент при $x^2$ положителен). Парабола пересекает ось абсцисс в точках $x=-6$ и $x=1$.
3. Неравенство $x^2 + 5x - 6 > 0$ выполняется, когда график параболы находится выше оси абсцисс, то есть при $x < -6$ или $x > 1$.
Ответ: $x \in (-\infty; -6) \cup (1; \infty)$.

б) Решим неравенство $x^2 + 2x - 8 < 0$.
1. Найдем корни уравнения $x^2 + 2x - 8 = 0$.
Дискриминант $D = 2^2 - 4 \cdot 1 \cdot (-8) = 4 + 32 = 36$.
$x_1 = \frac{-2 - \sqrt{36}}{2} = \frac{-2 - 6}{2} = -4$.
$x_2 = \frac{-2 + \sqrt{36}}{2} = \frac{-2 + 6}{2} = 2$.
2. Графиком функции $y = x^2 + 2x - 8$ является парабола с ветвями вверх. Она пересекает ось Ox в точках $x=-4$ и $x=2$.
3. Неравенство $x^2 + 2x - 8 < 0$ выполняется, когда график параболы находится ниже оси абсцисс, то есть между корнями.
Ответ: $x \in (-4; 2)$.

в) Решим неравенство $6x^2 + x \ge 0$.
1. Найдем корни уравнения $6x^2 + x = 0$.
$x(6x + 1) = 0$.
$x_1 = 0$ или $6x + 1 = 0 \implies x_2 = -\frac{1}{6}$.
2. Графиком функции $y = 6x^2 + x$ является парабола с ветвями вверх. Она пересекает ось Ox в точках $x=0$ и $x=-\frac{1}{6}$.
3. Неравенство $6x^2 + x \ge 0$ выполняется, когда график параболы находится выше или на оси абсцисс. Это происходит при $x \le -\frac{1}{6}$ или $x \ge 0$.
Ответ: $x \in (-\infty; -\frac{1}{6}] \cup [0; \infty)$.

г) Решим неравенство $x^2 - 25 \le 0$.
1. Найдем корни уравнения $x^2 - 25 = 0$.
$(x-5)(x+5) = 0$.
$x_1 = 5$, $x_2 = -5$.
2. Графиком функции $y = x^2 - 25$ является парабола с ветвями вверх, пересекающая ось Ox в точках $x=-5$ и $x=5$.
3. Неравенство $x^2 - 25 \le 0$ выполняется, когда график параболы находится ниже или на оси абсцисс, то есть между корнями, включая сами корни.
Ответ: $x \in [-5; 5]$.

д) Решим неравенство $x^2 - 14x + 49 > 0$.
1. Заметим, что левая часть является полным квадратом: $x^2 - 14x + 49 = (x-7)^2$.
Неравенство принимает вид $(x-7)^2 > 0$.
2. Выражение $(x-7)^2$ всегда неотрицательно. Оно равно нулю при $x=7$ и положительно при всех остальных значениях $x$.
3. Таким образом, неравенство выполняется для всех $x$, кроме $x=7$.
Ответ: $x \in (-\infty; 7) \cup (7; \infty)$.

е) Решим неравенство $9x^2 - 30x + 25 < 0$.
1. Заметим, что левая часть является полным квадратом: $9x^2 - 30x + 25 = (3x-5)^2$.
Неравенство принимает вид $(3x-5)^2 < 0$.
2. Выражение $(3x-5)^2$ всегда неотрицательно (больше или равно нулю) для любого действительного $x$. Оно равно нулю при $x = \frac{5}{3} = \mathbf{1}\frac{2}{3}$.
3. Неравенство $(3x-5)^2 < 0$ (строго меньше нуля) не выполняется ни при каких значениях $x$.
Ответ: решений нет (или $x \in \emptyset$).

ж) Решим неравенство $4x^2 + 4x + 1 \ge 0$.
1. Заметим, что левая часть является полным квадратом: $4x^2 + 4x + 1 = (2x+1)^2$.
Неравенство принимает вид $(2x+1)^2 \ge 0$.
2. Квадрат любого действительного числа всегда неотрицателен.
3. Следовательно, неравенство $(2x+1)^2 \ge 0$ выполняется для всех действительных чисел $x$.
Ответ: $x \in (-\infty; \infty)$.

з) Решим неравенство $x^2 - x + \frac{1}{4} \le 0$.
1. Заметим, что левая часть является полным квадратом: $x^2 - x + \frac{1}{4} = (x-\frac{1}{2})^2$.
Неравенство принимает вид $(x-\frac{1}{2})^2 \le 0$.
2. Выражение $(x-\frac{1}{2})^2$ всегда неотрицательно. Оно не может быть строго меньше нуля.
3. Единственная возможность, при которой неравенство выполняется, это равенство нулю: $(x-\frac{1}{2})^2 = 0$. Это происходит при $x = \frac{1}{2}$.
Ответ: $x = \frac{1}{2}$.

и) Решим неравенство $2x^2 - 7x + 7 > 0$.
1. Найдем дискриминант квадратного трехчлена $2x^2 - 7x + 7$.
$D = (-7)^2 - 4 \cdot 2 \cdot 7 = 49 - 56 = -7$.
2. Так как дискриминант отрицателен ($D < 0$) и старший коэффициент положителен ($a=2 > 0$), то парабола $y = 2x^2 - 7x + 7$ полностью расположена выше оси абсцисс.
3. Это означает, что выражение $2x^2 - 7x + 7$ принимает положительные значения при любых действительных $x$.
Ответ: $x \in (-\infty; \infty)$.

к) Решим неравенство $5x^2 - x + 7 < 0$.
1. Найдем дискриминант квадратного трехчлена $5x^2 - x + 7$.
$D = (-1)^2 - 4 \cdot 5 \cdot 7 = 1 - 140 = -139$.
2. Так как дискриминант отрицателен ($D < 0$) и старший коэффициент положителен ($a=5 > 0$), то парабола $y = 5x^2 - x + 7$ полностью расположена выше оси абсцисс.
3. Это означает, что выражение $5x^2 - x + 7$ всегда положительно и никогда не может быть меньше нуля.
Ответ: решений нет (или $x \in \emptyset$).

л) Решим неравенство $8x^2 - 3x + 5 \ge 0$.
1. Найдем дискриминант квадратного трехчлена $8x^2 - 3x + 5$.
$D = (-3)^2 - 4 \cdot 8 \cdot 5 = 9 - 160 = -151$.
2. Так как дискриминант отрицателен ($D < 0$) и старший коэффициент положителен ($a=8 > 0$), парабола $y = 8x^2 - 3x + 5$ полностью расположена выше оси абсцисс.
3. Выражение $8x^2 - 3x + 5$ всегда положительно, а значит, всегда больше или равно нулю. Неравенство выполняется для всех действительных чисел $x$.
Ответ: $x \in (-\infty; \infty)$.

м) Решим неравенство $3x^2 - 2x + 9 \le 0$.
1. Найдем дискриминант квадратного трехчлена $3x^2 - 2x + 9$.
$D = (-2)^2 - 4 \cdot 3 \cdot 9 = 4 - 108 = -104$.
2. Так как дискриминант отрицателен ($D < 0$) и старший коэффициент положителен ($a=3 > 0$), парабола $y = 3x^2 - 2x + 9$ полностью расположена выше оси абсцисс.
3. Выражение $3x^2 - 2x + 9$ всегда положительно. Неравенство $3x^2 - 2x + 9 \le 0$ не выполняется ни при каких значениях $x$.
Ответ: решений нет (или $x \in \emptyset$).

Помогло решение? Оставьте отзыв в комментариях ниже.

Присоединяйтесь к Телеграм-группе @gdz_by_belarus

Присоединиться

Мы подготовили для вас ответ c подробным объяснением домашего задания по алгебре за 8 класс, для упражнения номер 3.140 расположенного на странице 195 к учебнику 2024 года издания для учащихся школ и гимназий.

Теперь на нашем сайте ГДЗ.ТОП вы всегда легко и бесплатно найдёте условие с правильным ответом на вопрос «Как решить ДЗ» и «Как сделать» задание по алгебре к упражнению №3.140 (с. 195), авторов: Арефьева (Ирина Глебовна), Пирютко (Ольга Николаевна), учебного пособия издательства Адукацыя i выхаванне.