Номер 209, страница 99 - гдз по геометрии 8 класс учебник Казаков, Казакова

Геометрия, 8 класс Учебник, авторы: Казаков Валерий Владимирович, Казакова Ольга Олеговна, издательство Адукацыя i выхаванне, Минск, 2024, оранжевого цвета

Авторы: Казаков В. В., Казакова О. О.

Тип: Учебник

Издательство: Адукацыя i выхаванне

Год издания: 2024 - 2025

Цвет обложки: оранжевый

Допущено Министерством образования Республики Беларусь

Популярные ГДЗ в 8 классе

Глава 2. Площади многоугольников. Параграф 16. Теорема Пифагора - номер 209, страница 99.

№209 (с. 99)
Условие. №209 (с. 99)
скриншот условия
Геометрия, 8 класс Учебник, авторы: Казаков Валерий Владимирович, Казакова Ольга Олеговна, издательство Адукацыя i выхаванне, Минск, 2024, оранжевого цвета, страница 99, номер 209, Условие Геометрия, 8 класс Учебник, авторы: Казаков Валерий Владимирович, Казакова Ольга Олеговна, издательство Адукацыя i выхаванне, Минск, 2024, оранжевого цвета, страница 99, номер 209, Условие (продолжение 2)

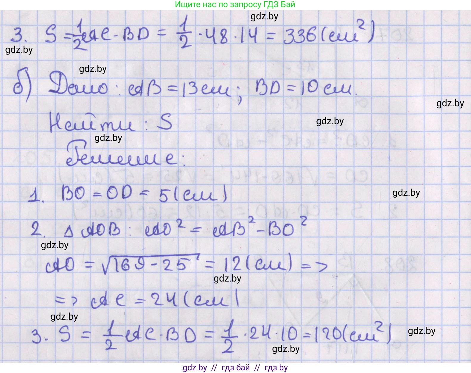
209. Найдите площадь ромба, если:

а) его периметр равен 100 см, а одна из диагоналей — 48 см (рис. 195);

б) его сторона равна 13 см, а одна из диагоналей — 10 см.

48

Рис. 195

Решение. №209 (с. 99)
Геометрия, 8 класс Учебник, авторы: Казаков Валерий Владимирович, Казакова Ольга Олеговна, издательство Адукацыя i выхаванне, Минск, 2024, оранжевого цвета, страница 99, номер 209, Решение
Решение 2. №209 (с. 99)
Геометрия, 8 класс Учебник, авторы: Казаков Валерий Владимирович, Казакова Ольга Олеговна, издательство Адукацыя i выхаванне, Минск, 2024, оранжевого цвета, страница 99, номер 209, Решение 2 Геометрия, 8 класс Учебник, авторы: Казаков Валерий Владимирович, Казакова Ольга Олеговна, издательство Адукацыя i выхаванне, Минск, 2024, оранжевого цвета, страница 99, номер 209, Решение 2 (продолжение 2)
Решение 3. №209 (с. 99)

а)

Площадь ромба $S$ можно найти по формуле, используя длины его диагоналей $d_1$ и $d_2$: $S = \frac{1}{2} d_1 d_2$.
По условию, периметр ромба $P = 100$ см. Ромб имеет четыре равные стороны, поэтому длину одной стороны $a$ можно найти так:
$a = \frac{P}{4} = \frac{100}{4} = 25$ см.

Одна из диагоналей ромба, согласно условию и рисунку, равна $d_1 = 48$ см.
Диагонали ромба пересекаются под прямым углом и в точке пересечения делятся пополам. Это означает, что они делят ромб на четыре одинаковых прямоугольных треугольника.
В каждом таком треугольнике гипотенузой является сторона ромба $a$, а катетами — половины его диагоналей ($\frac{d_1}{2}$ и $\frac{d_2}{2}$).

Используем теорему Пифагора для одного из этих треугольников: $a^2 = (\frac{d_1}{2})^2 + (\frac{d_2}{2})^2$.
Найдем половину второй диагонали. Половина первой диагонали равна $\frac{d_1}{2} = \frac{48}{2} = 24$ см.
Подставим известные значения:
$25^2 = 24^2 + (\frac{d_2}{2})^2$
$625 = 576 + (\frac{d_2}{2})^2$
$(\frac{d_2}{2})^2 = 625 - 576$
$(\frac{d_2}{2})^2 = 49$
$\frac{d_2}{2} = \sqrt{49} = 7$ см.
Следовательно, вся вторая диагональ $d_2 = 2 \cdot 7 = 14$ см.

Теперь можно вычислить площадь ромба:
$S = \frac{1}{2} \cdot d_1 \cdot d_2 = \frac{1}{2} \cdot 48 \cdot 14 = 24 \cdot 14 = 336$ см2.

Ответ: 336 см2.

б)

По условию, сторона ромба $a = 13$ см, а одна из диагоналей $d_1 = 10$ см.
Как и в предыдущем пункте, воспользуемся тем, что диагонали ромба взаимно перпендикулярны и делятся точкой пересечения пополам.

Рассмотрим прямоугольный треугольник, образованный половинами диагоналей и стороной ромба.
Гипотенуза этого треугольника равна стороне ромба $a=13$ см.
Один из катетов равен половине известной диагонали: $\frac{d_1}{2} = \frac{10}{2} = 5$ см.
Второй катет — это половина второй диагонали, $\frac{d_2}{2}$.

Применим теорему Пифагора $a^2 = (\frac{d_1}{2})^2 + (\frac{d_2}{2})^2$:
$13^2 = 5^2 + (\frac{d_2}{2})^2$
$169 = 25 + (\frac{d_2}{2})^2$
$(\frac{d_2}{2})^2 = 169 - 25$
$(\frac{d_2}{2})^2 = 144$
$\frac{d_2}{2} = \sqrt{144} = 12$ см.
Значит, вторая диагональ $d_2 = 2 \cdot 12 = 24$ см.

Теперь вычислим площадь ромба по формуле:
$S = \frac{1}{2} \cdot d_1 \cdot d_2 = \frac{1}{2} \cdot 10 \cdot 24 = 5 \cdot 24 = 120$ см2.

Ответ: 120 см2.

Помогло решение? Оставьте отзыв в комментариях ниже.

Присоединяйтесь к Телеграм-группе @gdz_by_belarus

Присоединиться

Мы подготовили для вас ответ c подробным объяснением домашего задания по геометрии за 8 класс, для упражнения номер 209 расположенного на странице 99 к учебнику 2024 года издания для учащихся школ и гимназий.

Теперь на нашем сайте ГДЗ.ТОП вы всегда легко и бесплатно найдёте условие с правильным ответом на вопрос «Как решить ДЗ» и «Как сделать» задание по геометрии к упражнению №209 (с. 99), авторов: Казаков (Валерий Владимирович), Казакова (Ольга Олеговна), учебного пособия издательства Адукацыя i выхаванне.