Номер 210, страница 99 - гдз по геометрии 8 класс учебник Казаков, Казакова

Геометрия, 8 класс Учебник, авторы: Казаков Валерий Владимирович, Казакова Ольга Олеговна, издательство Адукацыя i выхаванне, Минск, 2024, оранжевого цвета

Авторы: Казаков В. В., Казакова О. О.

Тип: Учебник

Издательство: Адукацыя i выхаванне

Год издания: 2024 - 2025

Цвет обложки: оранжевый

Допущено Министерством образования Республики Беларусь

Популярные ГДЗ в 8 классе

Глава 2. Площади многоугольников. Параграф 16. Теорема Пифагора - номер 210, страница 99.

№210 (с. 99)
Условие. №210 (с. 99)
скриншот условия
Геометрия, 8 класс Учебник, авторы: Казаков Валерий Владимирович, Казакова Ольга Олеговна, издательство Адукацыя i выхаванне, Минск, 2024, оранжевого цвета, страница 99, номер 210, Условие Геометрия, 8 класс Учебник, авторы: Казаков Валерий Владимирович, Казакова Ольга Олеговна, издательство Адукацыя i выхаванне, Минск, 2024, оранжевого цвета, страница 99, номер 210, Условие (продолжение 2)

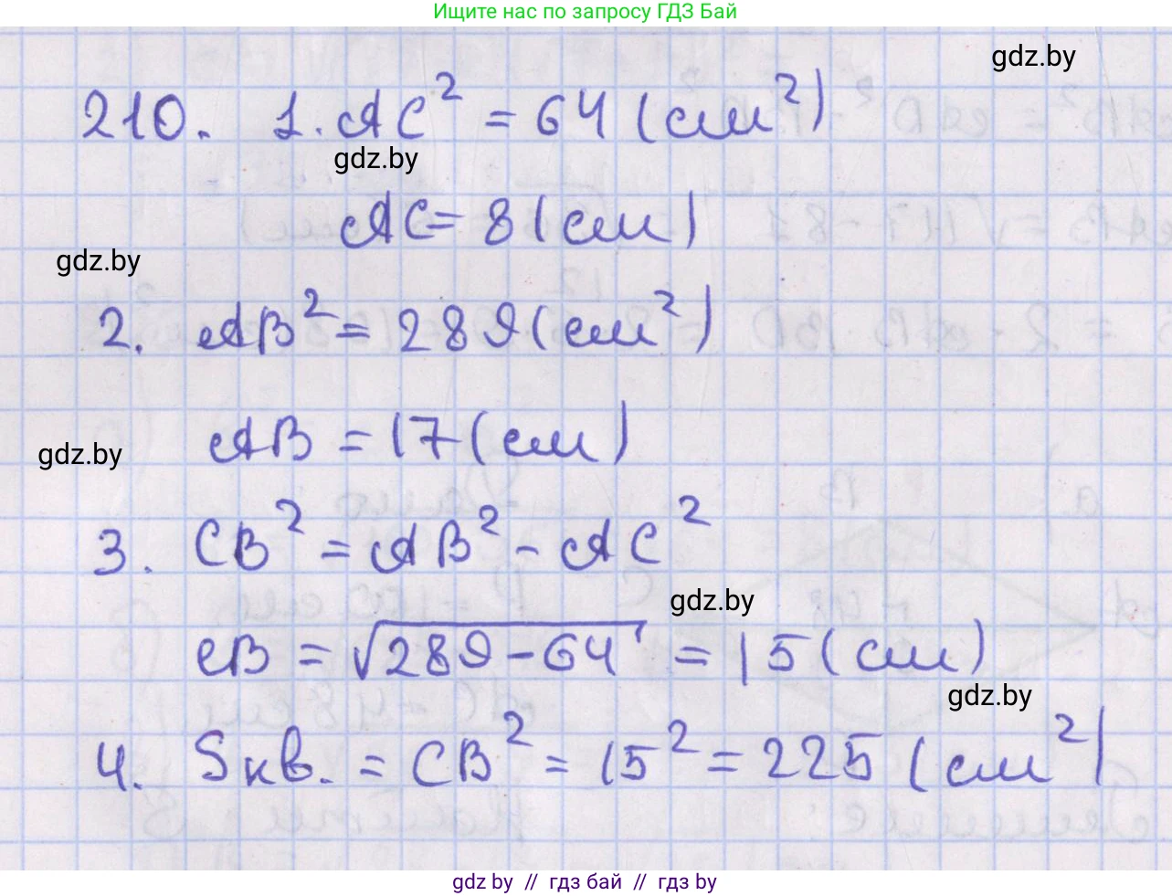
210. На сторонах прямоугольного треугольника построены квадраты (рис. 196). Площадь квадрата, построенного на одном катете, равна $64 \text{ см}^2$, площадь квадрата, построенного на гипотенузе, равна $289 \text{ см}^2$. Найдите площадь квадрата, построенного на другом катете.

Рис. 196

Решение. №210 (с. 99)
Геометрия, 8 класс Учебник, авторы: Казаков Валерий Владимирович, Казакова Ольга Олеговна, издательство Адукацыя i выхаванне, Минск, 2024, оранжевого цвета, страница 99, номер 210, Решение
Решение 2. №210 (с. 99)
Геометрия, 8 класс Учебник, авторы: Казаков Валерий Владимирович, Казакова Ольга Олеговна, издательство Адукацыя i выхаванне, Минск, 2024, оранжевого цвета, страница 99, номер 210, Решение 2
Решение 3. №210 (с. 99)

Данная задача решается с помощью теоремы Пифагора, которая устанавливает соотношение между сторонами прямоугольного треугольника. Теорема гласит, что сумма квадратов длин катетов равна квадрату длины гипотенузы.

Пусть катеты прямоугольного треугольника равны a и b, а гипотенуза равна c. Тогда, согласно теореме Пифагора:

$a^2 + b^2 = c^2$

Площадь квадрата, построенного на стороне треугольника, равна квадрату длины этой стороны. Таким образом, $a^2$ — это площадь квадрата, построенного на катете a, $b^2$ — площадь квадрата на катете b, а $c^2$ — площадь квадрата на гипотенузе c.

Из этого следует, что сумма площадей квадратов, построенных на катетах, равна площади квадрата, построенного на гипотенузе.

По условию задачи нам даны:

  • Площадь квадрата, построенного на одном катете: $a^2 = 64$ см².
  • Площадь квадрата, построенного на гипотенузе: $c^2 = 289$ см².

Необходимо найти площадь квадрата, построенного на другом катете, то есть $b^2$.

Подставим известные значения в формулу теоремы Пифагора:

$64 + b^2 = 289$

Теперь найдем неизвестную площадь $b^2$, вычтя из площади квадрата на гипотенузе площадь квадрата на известном катете:

$b^2 = 289 - 64$

$b^2 = 225$

Таким образом, площадь квадрата, построенного на другом катете, составляет 225 см².

Ответ: 225 см².

Помогло решение? Оставьте отзыв в комментариях ниже.

Присоединяйтесь к Телеграм-группе @gdz_by_belarus

Присоединиться

Мы подготовили для вас ответ c подробным объяснением домашего задания по геометрии за 8 класс, для упражнения номер 210 расположенного на странице 99 к учебнику 2024 года издания для учащихся школ и гимназий.

Теперь на нашем сайте ГДЗ.ТОП вы всегда легко и бесплатно найдёте условие с правильным ответом на вопрос «Как решить ДЗ» и «Как сделать» задание по геометрии к упражнению №210 (с. 99), авторов: Казаков (Валерий Владимирович), Казакова (Ольга Олеговна), учебного пособия издательства Адукацыя i выхаванне.