Номер 25, страница 22 - гдз по геометрии 8 класс учебник Казаков, Казакова

Геометрия, 8 класс Учебник, авторы: Казаков Валерий Владимирович, Казакова Ольга Олеговна, издательство Адукацыя i выхаванне, Минск, 2024, оранжевого цвета

Авторы: Казаков В. В., Казакова О. О.

Тип: Учебник

Издательство: Адукацыя i выхаванне

Год издания: 2024 - 2025

Цвет обложки: оранжевый

Допущено Министерством образования Республики Беларусь

Популярные ГДЗ в 8 классе

Глава 1. Четырехугольники. Параграф 2. Параллелограмм и его свойства - номер 25, страница 22.

№25 (с. 22)
Условие. №25 (с. 22)
скриншот условия
Геометрия, 8 класс Учебник, авторы: Казаков Валерий Владимирович, Казакова Ольга Олеговна, издательство Адукацыя i выхаванне, Минск, 2024, оранжевого цвета, страница 22, номер 25, Условие

25. а) Докажите, что биссектрисы противоположных углов параллелограмма $ABCD$ ($AD \ne AB$) параллельны между собой.

б) Докажите, что биссектрисы соседних углов параллелограмма взаимно перпендикулярны.

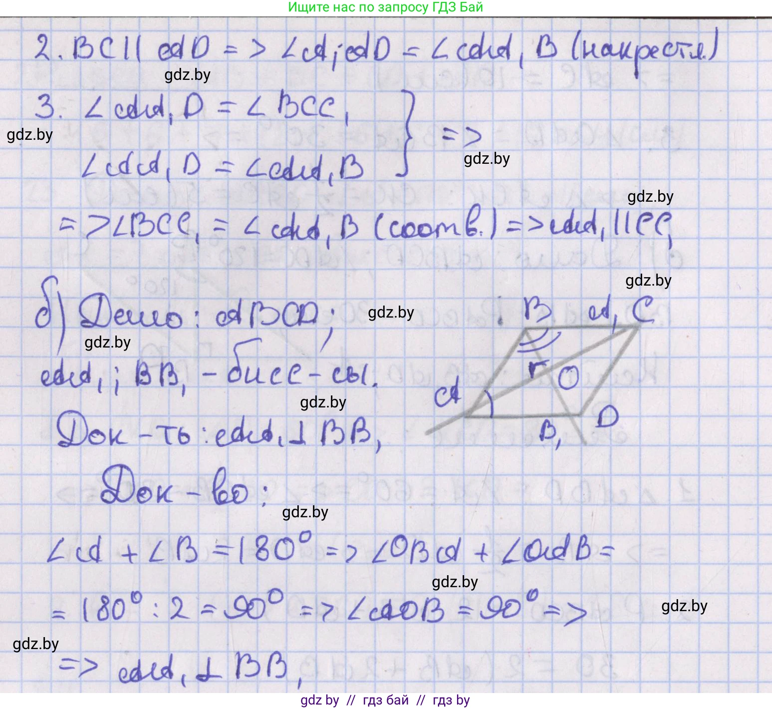
Решение. №25 (с. 22)
Геометрия, 8 класс Учебник, авторы: Казаков Валерий Владимирович, Казакова Ольга Олеговна, издательство Адукацыя i выхаванне, Минск, 2024, оранжевого цвета, страница 22, номер 25, Решение
Решение 2. №25 (с. 22)
Геометрия, 8 класс Учебник, авторы: Казаков Валерий Владимирович, Казакова Ольга Олеговна, издательство Адукацыя i выхаванне, Минск, 2024, оранжевого цвета, страница 22, номер 25, Решение 2 Геометрия, 8 класс Учебник, авторы: Казаков Валерий Владимирович, Казакова Ольга Олеговна, издательство Адукацыя i выхаванне, Минск, 2024, оранжевого цвета, страница 22, номер 25, Решение 2 (продолжение 2)
Решение 3. №25 (с. 22)

а) Докажите, что биссектрисы противоположных углов параллелограмма ABCD (AD ≠ AB) параллельны между собой.

Пусть дан параллелограмм $ABCD$. По свойству параллелограмма его противолежащие углы равны. Рассмотрим углы $\angle A$ и $\angle C$, таким образом, $\angle A = \angle C$. Также, противолежащие стороны параллельны, в частности $AB \parallel DC$.

Пусть $AK$ — биссектриса угла $\angle A$ (точка $K$ лежит на стороне $DC$), а $CM$ — биссектриса угла $\angle C$ (точка $M$ лежит на стороне $AB$).

По определению биссектрисы: $\angle DAK = \angle KAB = \frac{\angle A}{2}$ $\angle DCM = \angle MCB = \frac{\angle C}{2}$

Поскольку $\angle A = \angle C$, то и их половины равны: $\angle KAB = \angle DCM$.

Рассмотрим прямые $AK$ и $MC$. Прямая $AB$ является для них секущей. Углы $\angle KAB$ и $\angle AMC$ являются соответственными углами, если мы докажем, что они равны, то прямые $AK$ и $MC$ будут параллельны.

Рассмотрим параллельные прямые $AB$ и $DC$ и секущую $MC$. Накрест лежащие углы $\angle AMC$ и $\angle DCM$ равны.

Итак, мы имеем следующую цепочку равенств: $\angle KAB = \angle DCM$ (как половины равных углов) $\angle DCM = \angle AMC$ (как накрест лежащие углы) Следовательно, $\angle KAB = \angle AMC$.

Так как соответственные углы $\angle KAB$ и $\angle AMC$ при прямых $AK$ и $MC$ и секущей $AB$ равны, то прямые $AK$ и $MC$ параллельны. Условие $AD \neq AB$ гарантирует, что параллелограмм не является ромбом, и биссектрисы не совпадают, являясь двумя различными параллельными прямыми.

Ответ: Что и требовалось доказать.

б) Докажите, что биссектрисы соседних углов параллелограмма взаимно перпендикулярны.

Пусть дан параллелограмм $ABCD$. По свойству параллелограмма сумма его соседних (прилежащих к одной стороне) углов равна $180^\circ$. Возьмем, к примеру, углы $\angle A$ и $\angle B$: $\angle A + \angle B = 180^\circ$.

Пусть $AE$ — биссектриса угла $\angle A$, а $BE$ — биссектриса угла $\angle B$. Точка $E$ — точка их пересечения.

Рассмотрим треугольник $\triangle ABE$. Сумма углов в любом треугольнике равна $180^\circ$, следовательно: $\angle EAB + \angle EBA + \angle AEB = 180^\circ$.

Поскольку $AE$ — биссектриса угла $\angle A$, то $\angle EAB = \frac{\angle A}{2}$. Аналогично, поскольку $BE$ — биссектриса угла $\angle B$, то $\angle EBA = \frac{\angle B}{2}$.

Подставим эти выражения в уравнение для суммы углов треугольника $\triangle ABE$: $\frac{\angle A}{2} + \frac{\angle B}{2} + \angle AEB = 180^\circ$

Вынесем общий множитель за скобки: $\frac{\angle A + \angle B}{2} + \angle AEB = 180^\circ$

Так как мы знаем, что $\angle A + \angle B = 180^\circ$, подставим это значение в уравнение: $\frac{180^\circ}{2} + \angle AEB = 180^\circ$

В данном выражении есть неправильная дробь $\frac{180}{2}$. Найдем ее целую часть: $180 \div 2 = 90$. $90^\circ + \angle AEB = 180^\circ$

Отсюда находим угол $\angle AEB$: $\angle AEB = 180^\circ - 90^\circ = 90^\circ$.

Угол между биссектрисами $AE$ и $BE$ равен $90^\circ$, что означает, что они взаимно перпендикулярны. Данное доказательство справедливо для любой пары соседних углов параллелограмма.

Ответ: Что и требовалось доказать.

Помогло решение? Оставьте отзыв в комментариях ниже.

Присоединяйтесь к Телеграм-группе @gdz_by_belarus

Присоединиться

Мы подготовили для вас ответ c подробным объяснением домашего задания по геометрии за 8 класс, для упражнения номер 25 расположенного на странице 22 к учебнику 2024 года издания для учащихся школ и гимназий.

Теперь на нашем сайте ГДЗ.ТОП вы всегда легко и бесплатно найдёте условие с правильным ответом на вопрос «Как решить ДЗ» и «Как сделать» задание по геометрии к упражнению №25 (с. 22), авторов: Казаков (Валерий Владимирович), Казакова (Ольга Олеговна), учебного пособия издательства Адукацыя i выхаванне.