Номер 1.43, страница 26 - гдз по алгебре 9 класс учебник Арефьева, Пирютко

Алгебра, 9 класс Учебник, авторы: Арефьева Ирина Глебовна, Пирютко Ольга Николаевна, издательство Народная асвета, Минск, 2019, голубого цвета

Авторы: Арефьева И. Г., Пирютко О. Н.

Тип: Учебник

Издательство: Народная асвета

Год издания: 2019 - 2025

Цвет обложки: голубой, синий с графиком

ISBN: 978-985-03-3077-2

Допущено Министерством образования Республики Беларусь

Популярные ГДЗ в 9 классе

Глава 1. Рациональные выражения. Параграф 2. Основное свойство рациональной дроби. Сокращение рациональных дробей - номер 1.43, страница 26.

№1.43 (с. 26)
Условие. №1.43 (с. 26)
скриншот условия
Алгебра, 9 класс Учебник, авторы: Арефьева Ирина Глебовна, Пирютко Ольга Николаевна, издательство Народная асвета, Минск, 2019, голубого цвета, страница 26, номер 1.43, Условие

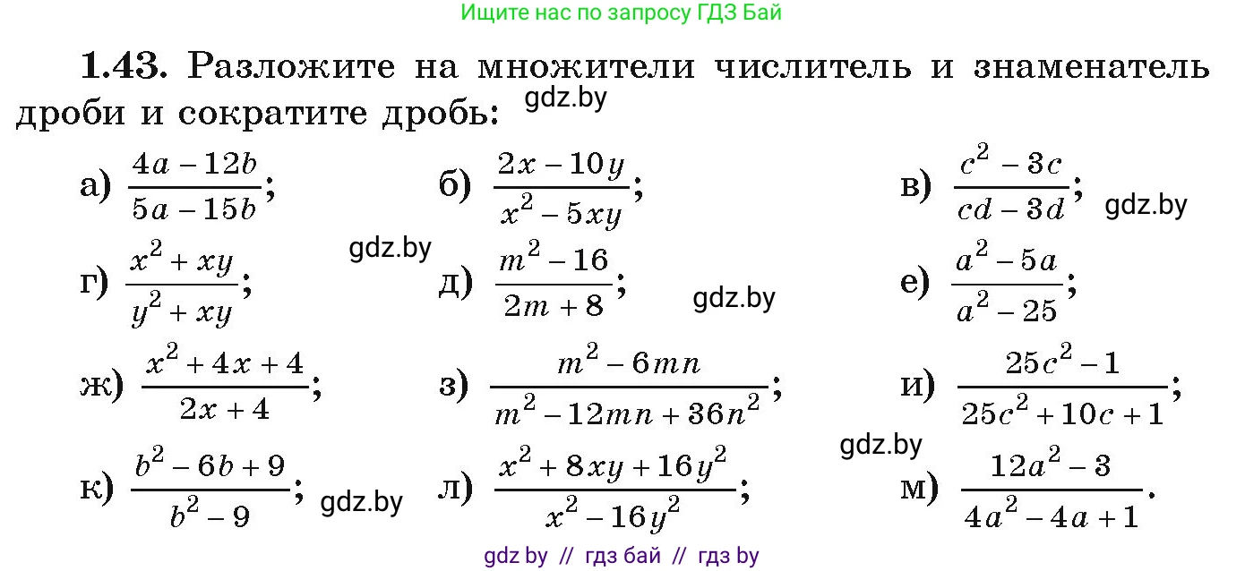
1.43. Разложите на множители числитель и знаменатель дроби и сократите дробь:

а) $ \frac{4a - 12b}{5a - 15b} $;

б) $ \frac{2x - 10y}{x^2 - 5xy} $;

в) $ \frac{c^2 - 3c}{cd - 3d} $;

г) $ \frac{x^2 + xy}{y^2 + xy} $;

д) $ \frac{m^2 - 16}{2m + 8} $;

е) $ \frac{a^2 - 5a}{a^2 - 25} $;

ж) $ \frac{x^2 + 4x + 4}{2x + 4} $;

з) $ \frac{m^2 - 6mn}{m^2 - 12mn + 36n^2} $;

и) $ \frac{25c^2 - 1}{25c^2 + 10c + 1} $;

к) $ \frac{b^2 - 6b + 9}{b^2 - 9} $;

л) $ \frac{x^2 + 8xy + 16y^2}{x^2 - 16y^2} $;

м) $ \frac{12a^2 - 3}{4a^2 - 4a + 1} $;

Решение. №1.43 (с. 26)
Алгебра, 9 класс Учебник, авторы: Арефьева Ирина Глебовна, Пирютко Ольга Николаевна, издательство Народная асвета, Минск, 2019, голубого цвета, страница 26, номер 1.43, Решение
Решение 2. №1.43 (с. 26)

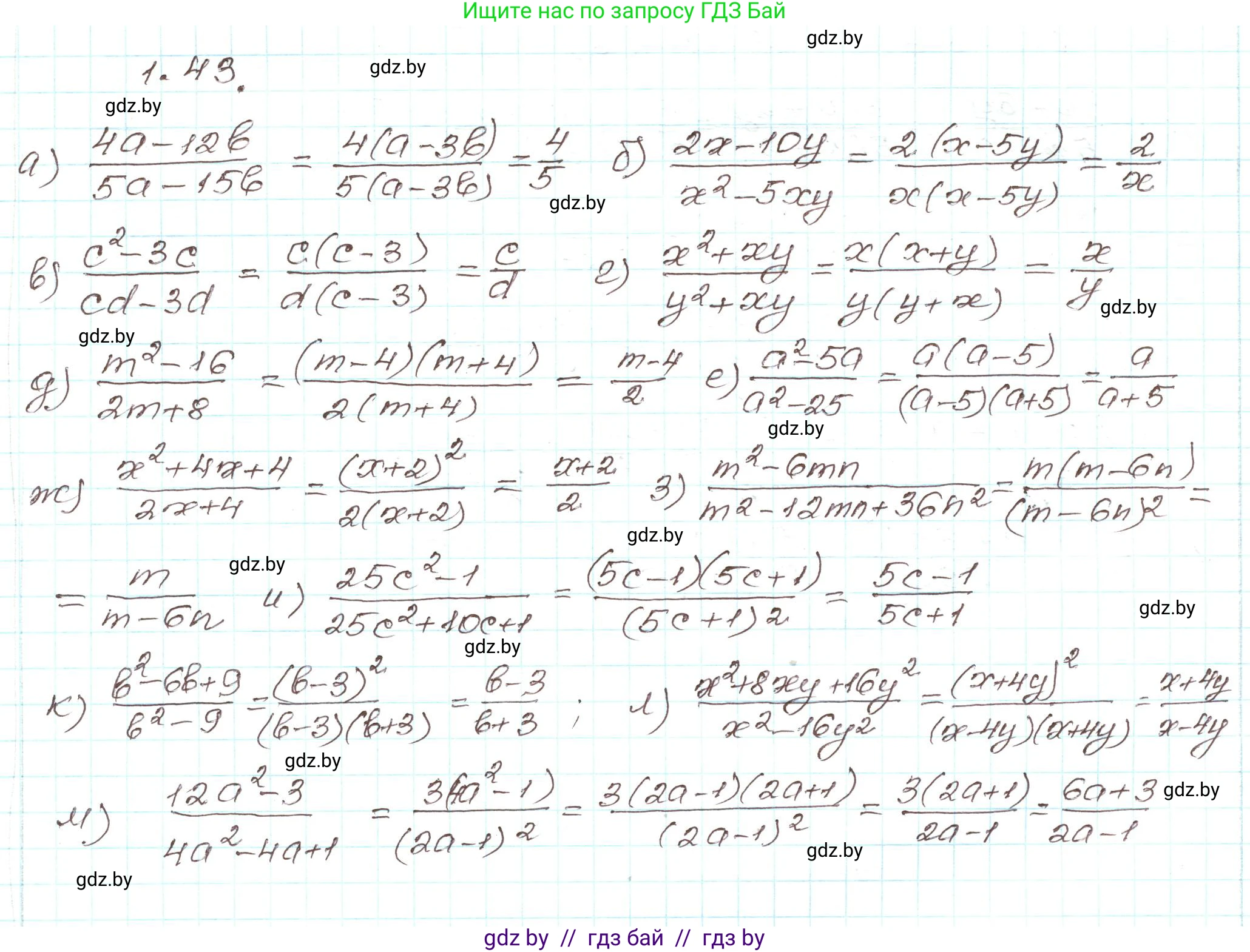
а) Раскладываем числитель и знаменатель на множители, вынося общий множитель за скобки:
Числитель: $4a - 12b = 4(a - 3b)$
Знаменатель: $5a - 15b = 5(a - 3b)$
Получаем дробь и сокращаем общий множитель $(a - 3b)$:
$\frac{4(a - 3b)}{5(a - 3b)} = \frac{4}{5}$
Ответ: $\frac{4}{5}$

б) Раскладываем числитель и знаменатель на множители:
Числитель: $2x - 10y = 2(x - 5y)$
Знаменатель: $x^2 - 5xy = x(x - 5y)$
Сокращаем дробь на общий множитель $(x - 5y)$:
$\frac{2(x - 5y)}{x(x - 5y)} = \frac{2}{x}$
Ответ: $\frac{2}{x}$

в) Выносим общие множители в числителе и знаменателе:
Числитель: $c^2 - 3c = c(c - 3)$
Знаменатель: $cd - 3d = d(c - 3)$
Сокращаем дробь на $(c - 3)$:
$\frac{c(c - 3)}{d(c - 3)} = \frac{c}{d}$
Ответ: $\frac{c}{d}$

г) Выносим общие множители в числителе и знаменателе:
Числитель: $x^2 + xy = x(x + y)$
Знаменатель: $y^2 + xy = y(y + x) = y(x + y)$
Сокращаем дробь на $(x + y)$:
$\frac{x(x + y)}{y(x + y)} = \frac{x}{y}$
Ответ: $\frac{x}{y}$

д) Раскладываем числитель по формуле разности квадратов, а в знаменателе выносим общий множитель:
Числитель: $m^2 - 16 = (m - 4)(m + 4)$
Знаменатель: $2m + 8 = 2(m + 4)$
Сокращаем дробь на $(m + 4)$:
$\frac{(m - 4)(m + 4)}{2(m + 4)} = \frac{m - 4}{2}$
Представим результат в виде многочлена: $\frac{m}{2} - 2$
Ответ: $\frac{m}{2} - \mathbf{2}$

е) Раскладываем числитель на множители, а знаменатель по формуле разности квадратов:
Числитель: $a^2 - 5a = a(a - 5)$
Знаменатель: $a^2 - 25 = (a - 5)(a + 5)$
Сокращаем дробь на $(a - 5)$:
$\frac{a(a - 5)}{(a - 5)(a + 5)} = \frac{a}{a + 5}$
Выделяем целую часть: $\frac{a}{a + 5} = \frac{(a + 5) - 5}{a + 5} = 1 - \frac{5}{a + 5}$
Ответ: $\mathbf{1} - \frac{5}{a + 5}$

ж) Раскладываем числитель по формуле квадрата суммы, а в знаменателе выносим общий множитель:
Числитель: $x^2 + 4x + 4 = (x + 2)^2$
Знаменатель: $2x + 4 = 2(x + 2)$
Сокращаем дробь на $(x + 2)$:
$\frac{(x + 2)^2}{2(x + 2)} = \frac{x + 2}{2}$
Представим результат в виде многочлена: $\frac{x}{2} + 1$
Ответ: $\frac{x}{2} + \mathbf{1}$

з) Раскладываем числитель на множители, а знаменатель по формуле квадрата разности:
Числитель: $m^2 - 6mn = m(m - 6n)$
Знаменатель: $m^2 - 12mn + 36n^2 = (m - 6n)^2$
Сокращаем дробь на $(m - 6n)$:
$\frac{m(m - 6n)}{(m - 6n)^2} = \frac{m}{m - 6n}$
Выделяем целую часть: $\frac{m}{m - 6n} = \frac{(m - 6n) + 6n}{m - 6n} = 1 + \frac{6n}{m - 6n}$
Ответ: $\mathbf{1} + \frac{6n}{m - 6n}$

и) Раскладываем числитель по формуле разности квадратов, а знаменатель по формуле квадрата суммы:
Числитель: $25c^2 - 1 = (5c - 1)(5c + 1)$
Знаменатель: $25c^2 + 10c + 1 = (5c + 1)^2$
Сокращаем дробь на $(5c + 1)$:
$\frac{(5c - 1)(5c + 1)}{(5c + 1)^2} = \frac{5c - 1}{5c + 1}$
Выделяем целую часть: $\frac{5c - 1}{5c + 1} = \frac{(5c + 1) - 2}{5c + 1} = 1 - \frac{2}{5c + 1}$
Ответ: $\mathbf{1} - \frac{2}{5c + 1}$

к) Раскладываем числитель по формуле квадрата разности, а знаменатель по формуле разности квадратов:
Числитель: $b^2 - 6b + 9 = (b - 3)^2$
Знаменатель: $b^2 - 9 = (b - 3)(b + 3)$
Сокращаем дробь на $(b - 3)$:
$\frac{(b - 3)^2}{(b - 3)(b + 3)} = \frac{b - 3}{b + 3}$
Выделяем целую часть: $\frac{b - 3}{b + 3} = \frac{(b + 3) - 6}{b + 3} = 1 - \frac{6}{b + 3}$
Ответ: $\mathbf{1} - \frac{6}{b + 3}$

л) Раскладываем числитель по формуле квадрата суммы, а знаменатель по формуле разности квадратов:
Числитель: $x^2 + 8xy + 16y^2 = (x + 4y)^2$
Знаменатель: $x^2 - 16y^2 = (x - 4y)(x + 4y)$
Сокращаем дробь на $(x + 4y)$:
$\frac{(x + 4y)^2}{(x - 4y)(x + 4y)} = \frac{x + 4y}{x - 4y}$
Выделяем целую часть: $\frac{x + 4y}{x - 4y} = \frac{(x - 4y) + 8y}{x - 4y} = 1 + \frac{8y}{x - 4y}$
Ответ: $\mathbf{1} + \frac{8y}{x - 4y}$

м) Раскладываем числитель и знаменатель на множители:
Числитель: $12a^2 - 3 = 3(4a^2 - 1) = 3(2a - 1)(2a + 1)$
Знаменатель: $4a^2 - 4a + 1 = (2a - 1)^2$
Сокращаем дробь на $(2a - 1)$:
$\frac{3(2a - 1)(2a + 1)}{(2a - 1)^2} = \frac{3(2a + 1)}{2a - 1} = \frac{6a + 3}{2a - 1}$
Выделяем целую часть делением столбиком: $\frac{3(2a-1) + 6}{2a - 1} = 3 + \frac{6}{2a - 1}$
Ответ: $\mathbf{3} + \frac{6}{2a - 1}$

Помогло решение? Оставьте отзыв в комментариях ниже.

Присоединяйтесь к Телеграм-группе @gdz_by_belarus

Присоединиться

Мы подготовили для вас ответ c подробным объяснением домашего задания по алгебре за 9 класс, для упражнения номер 1.43 расположенного на странице 26 к учебнику 2019 года издания для учащихся школ и гимназий.

Теперь на нашем сайте ГДЗ.ТОП вы всегда легко и бесплатно найдёте условие с правильным ответом на вопрос «Как решить ДЗ» и «Как сделать» задание по алгебре к упражнению №1.43 (с. 26), авторов: Арефьева (Ирина Глебовна), Пирютко (Ольга Николаевна), учебного пособия издательства Народная асвета.