Номер 2.128, страница 118 - гдз по алгебре 9 класс учебник Арефьева, Пирютко

Алгебра, 9 класс Учебник, авторы: Арефьева Ирина Глебовна, Пирютко Ольга Николаевна, издательство Народная асвета, Минск, 2019, голубого цвета

Авторы: Арефьева И. Г., Пирютко О. Н.

Тип: Учебник

Издательство: Народная асвета

Год издания: 2019 - 2025

Цвет обложки: голубой, синий с графиком

ISBN: 978-985-03-3077-2

Допущено Министерством образования Республики Беларусь

Популярные ГДЗ в 9 классе

Глава 2. Функции. Параграф 8. Четные и нечетные функции - номер 2.128, страница 118.

№2.128 (с. 118)
Условие. №2.128 (с. 118)
скриншот условия
Алгебра, 9 класс Учебник, авторы: Арефьева Ирина Глебовна, Пирютко Ольга Николаевна, издательство Народная асвета, Минск, 2019, голубого цвета, страница 118, номер 2.128, Условие

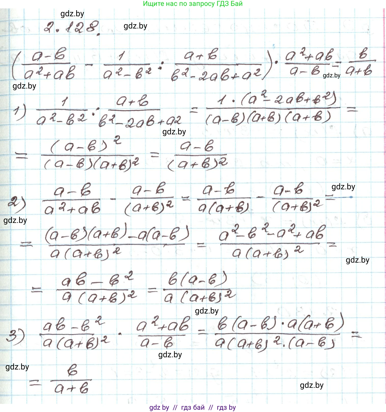
2.128. Упростите выражение

$\left( \frac{a - b}{a^2 + ab} - \frac{1}{a^2 - b^2} : \frac{a + b}{b^2 - 2ab + a^2} \right) \cdot \frac{a^2 + ab}{a - b}$.

Решение. №2.128 (с. 118)
Алгебра, 9 класс Учебник, авторы: Арефьева Ирина Глебовна, Пирютко Ольга Николаевна, издательство Народная асвета, Минск, 2019, голубого цвета, страница 118, номер 2.128, Решение
Решение 2. №2.128 (с. 118)

Для упрощения данного выражения выполним действия по порядку: сначала действия в скобках (деление, затем вычитание), а после — умножение.

1. Выполним деление в скобках

Сначала преобразуем делитель и делимое, разложив знаменатели на множители по формулам сокращенного умножения:

  • Разность квадратов: $a^2 - b^2 = (a-b)(a+b)$
  • Квадрат разности: $b^2 - 2ab + a^2 = (a-b)^2$

Выражение для деления принимает вид:

$ \frac{1}{a^2-b^2} : \frac{a+b}{b^2-2ab+a^2} = \frac{1}{(a-b)(a+b)} : \frac{a+b}{(a-b)^2} $

Чтобы разделить на дробь, необходимо умножить на обратную ей (перевернутую) дробь:

$ \frac{1}{(a-b)(a+b)} \cdot \frac{(a-b)^2}{a+b} = \frac{(a-b)^2}{(a-b)(a+b)^2} $

Сокращаем общий множитель $(a-b)$:

$ \frac{a-b}{(a+b)^2} $

2. Выполним вычитание в скобках

Подставим результат деления обратно в выражение в скобках:

$ \frac{a-b}{a^2+ab} - \frac{a-b}{(a+b)^2} $

Разложим на множители знаменатель первой дроби, вынеся за скобки $a$:

$ \frac{a-b}{a(a+b)} - \frac{a-b}{(a+b)^2} $

Приведем дроби к общему знаменателю $a(a+b)^2$. Для этого домножим числитель и знаменатель первой дроби на $(a+b)$, а второй — на $a$:

$ \frac{(a-b)(a+b)}{a(a+b)^2} - \frac{a(a-b)}{a(a+b)^2} = \frac{(a^2-b^2) - (a^2-ab)}{a(a+b)^2} $

Раскроем скобки в числителе и приведем подобные слагаемые:

$ \frac{a^2-b^2-a^2+ab}{a(a+b)^2} = \frac{ab-b^2}{a(a+b)^2} $

Вынесем в числителе общий множитель $b$ за скобки:

$ \frac{b(a-b)}{a(a+b)^2} $

3. Выполним умножение

Теперь умножим результат, полученный в скобках, на множитель за скобками:

$ \frac{b(a-b)}{a(a+b)^2} \cdot \frac{a^2+ab}{a-b} $

Разложим числитель второй дроби на множители: $a^2+ab = a(a+b)$.

$ \frac{b(a-b)}{a(a+b)^2} \cdot \frac{a(a+b)}{a-b} $

Сократим общие множители $a$, $(a-b)$ и $(a+b)$:

$ \frac{b \cdot \cancel{(a-b)} \cdot \cancel{a} \cdot \cancel{(a+b)}}{\cancel{a} \cdot (a+b)^{\cancel{2}} \cdot \cancel{(a-b)}} = \frac{b}{a+b} $

Ответ: $ \frac{b}{a+b} $.

Помогло решение? Оставьте отзыв в комментариях ниже.

Присоединяйтесь к Телеграм-группе @gdz_by_belarus

Присоединиться

Мы подготовили для вас ответ c подробным объяснением домашего задания по алгебре за 9 класс, для упражнения номер 2.128 расположенного на странице 118 к учебнику 2019 года издания для учащихся школ и гимназий.

Теперь на нашем сайте ГДЗ.ТОП вы всегда легко и бесплатно найдёте условие с правильным ответом на вопрос «Как решить ДЗ» и «Как сделать» задание по алгебре к упражнению №2.128 (с. 118), авторов: Арефьева (Ирина Глебовна), Пирютко (Ольга Николаевна), учебного пособия издательства Народная асвета.