Номер 2.7, страница 84 - гдз по алгебре 9 класс учебник Арефьева, Пирютко

Алгебра, 9 класс Учебник, авторы: Арефьева Ирина Глебовна, Пирютко Ольга Николаевна, издательство Народная асвета, Минск, 2019, голубого цвета

Авторы: Арефьева И. Г., Пирютко О. Н.

Тип: Учебник

Издательство: Народная асвета

Год издания: 2019 - 2025

Цвет обложки: голубой, синий с графиком

ISBN: 978-985-03-3077-2

Допущено Министерством образования Республики Беларусь

Популярные ГДЗ в 9 классе

Глава 2. Функции. Параграф 6. Функция числового аргумента. Область определения, множество значений. Способы задания функции - номер 2.7, страница 84.

№2.7 (с. 84)
Условие. №2.7 (с. 84)
скриншот условия
Алгебра, 9 класс Учебник, авторы: Арефьева Ирина Глебовна, Пирютко Ольга Николаевна, издательство Народная асвета, Минск, 2019, голубого цвета, страница 84, номер 2.7, Условие

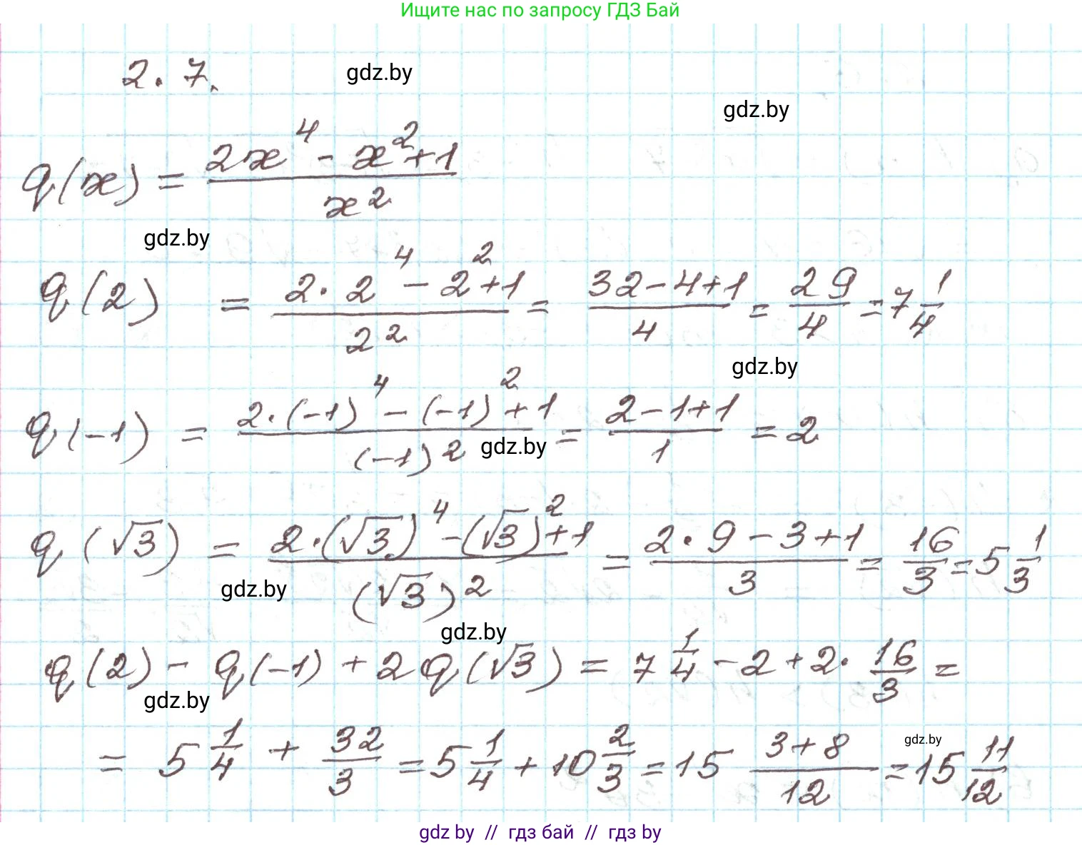
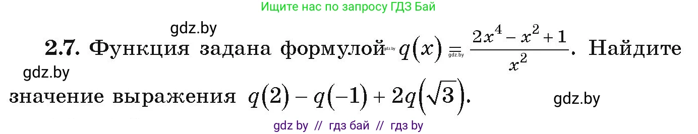
2.7. Функция задана формулой $q(x) = \frac{2x^4 - x^2 + 1}{x^2}$. Найдите

значение выражения $q(2) - q(-1) + 2q(\sqrt{3})$.

Решение. №2.7 (с. 84)
Алгебра, 9 класс Учебник, авторы: Арефьева Ирина Глебовна, Пирютко Ольга Николаевна, издательство Народная асвета, Минск, 2019, голубого цвета, страница 84, номер 2.7, Решение
Решение 2. №2.7 (с. 84)

Для решения задачи сначала упростим заданную функцию $q(x) = \frac{2x^4 - x^2 + 1}{x^2}$, разделив каждый член числителя на знаменатель. Это значительно облегчит последующие вычисления.

$q(x) = \frac{2x^4}{x^2} - \frac{x^2}{x^2} + \frac{1}{x^2} = 2x^2 - 1 + \frac{1}{x^2}$

Теперь найдем значение каждого компонента в выражении $q(2) - q(-1) + 2q(\sqrt{3})$.

q(2)
Подставляем $x=2$ в упрощенную формулу функции:$q(2) = 2(2)^2 - 1 + \frac{1}{2^2} = 2 \cdot 4 - 1 + \frac{1}{4} = 8 - 1 + \frac{1}{4} = 7 + \frac{1}{4} = \frac{29}{4}$. Чтобы выделить целую часть из неправильной дроби $\frac{29}{4}$, делим 29 на 4. Получаем 7 и 1 в остатке.Ответ: $7\frac{1}{4}$

q(-1)
Подставляем $x=-1$ в формулу:$q(-1) = 2(-1)^2 - 1 + \frac{1}{(-1)^2} = 2 \cdot 1 - 1 + \frac{1}{1} = 2 - 1 + 1 = 2$.Ответ: $2$

2q(\sqrt{3})
Сначала найдем значение $q(\sqrt{3})$, подставив $x=\sqrt{3}$:$q(\sqrt{3}) = 2(\sqrt{3})^2 - 1 + \frac{1}{(\sqrt{3})^2} = 2 \cdot 3 - 1 + \frac{1}{3} = 6 - 1 + \frac{1}{3} = 5 + \frac{1}{3} = \frac{16}{3}$. Теперь умножим полученный результат на 2:$2q(\sqrt{3}) = 2 \cdot \frac{16}{3} = \frac{32}{3}$. Выделяем целую часть из дроби $\frac{32}{3}$. Делим 32 на 3, получаем 10 и 2 в остатке.Ответ: $10\frac{2}{3}$

Вычисление итогового выражения
Теперь подставим все найденные значения в исходное выражение $q(2) - q(-1) + 2q(\sqrt{3})$:$7\frac{1}{4} - 2 + 10\frac{2}{3}$Для сложения и вычитания смешанных чисел с разными знаменателями, приведем дробные части к общему знаменателю, который равен 12:$\frac{1}{4} = \frac{3}{12}$$\frac{2}{3} = \frac{8}{12}$Получаем:$7\frac{3}{12} - 2 + 10\frac{8}{12}$Складываем и вычитаем целые и дробные части по отдельности:$(7 - 2 + 10) + (\frac{3}{12} + \frac{8}{12}) = 15 + \frac{11}{12} = 15\frac{11}{12}$.Ответ: $15\frac{11}{12}$

Помогло решение? Оставьте отзыв в комментариях ниже.

Присоединяйтесь к Телеграм-группе @gdz_by_belarus

Присоединиться

Мы подготовили для вас ответ c подробным объяснением домашего задания по алгебре за 9 класс, для упражнения номер 2.7 расположенного на странице 84 к учебнику 2019 года издания для учащихся школ и гимназий.

Теперь на нашем сайте ГДЗ.ТОП вы всегда легко и бесплатно найдёте условие с правильным ответом на вопрос «Как решить ДЗ» и «Как сделать» задание по алгебре к упражнению №2.7 (с. 84), авторов: Арефьева (Ирина Глебовна), Пирютко (Ольга Николаевна), учебного пособия издательства Народная асвета.