Номер 2.70, страница 102 - гдз по алгебре 9 класс учебник Арефьева, Пирютко

Алгебра, 9 класс Учебник, авторы: Арефьева Ирина Глебовна, Пирютко Ольга Николаевна, издательство Народная асвета, Минск, 2019, голубого цвета

Авторы: Арефьева И. Г., Пирютко О. Н.

Тип: Учебник

Издательство: Народная асвета

Год издания: 2019 - 2025

Цвет обложки: голубой, синий с графиком

ISBN: 978-985-03-3077-2

Допущено Министерством образования Республики Беларусь

Популярные ГДЗ в 9 классе

Глава 2. Функции. Параграф 7. Свойства функции - номер 2.70, страница 102.

№2.70 (с. 102)
Условие. №2.70 (с. 102)
скриншот условия
Алгебра, 9 класс Учебник, авторы: Арефьева Ирина Глебовна, Пирютко Ольга Николаевна, издательство Народная асвета, Минск, 2019, голубого цвета, страница 102, номер 2.70, Условие

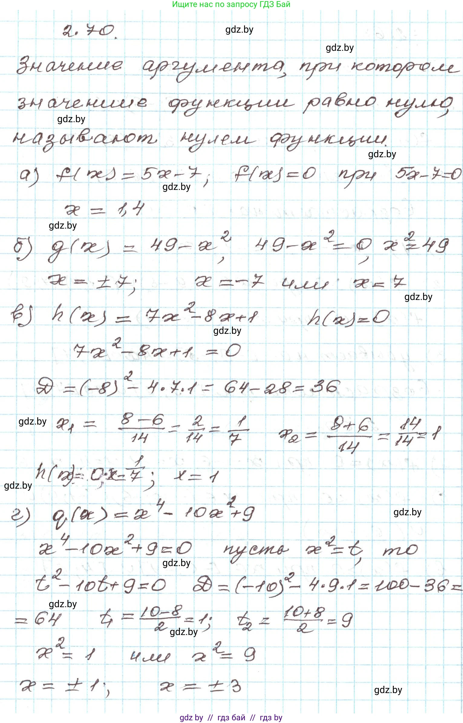
2.70. Какие значения аргумента называют нулями функции? Найдите нули функции:

а) $f(x)=5x-7;$

б) $g(x)=49-x^2;$

в) $h(x)=7x^2-8x+1;$

г) $q(x)=x^4-10x^2+9.$

Решение. №2.70 (с. 102)
Алгебра, 9 класс Учебник, авторы: Арефьева Ирина Глебовна, Пирютко Ольга Николаевна, издательство Народная асвета, Минск, 2019, голубого цвета, страница 102, номер 2.70, Решение
Решение 2. №2.70 (с. 102)

Нулями функции называют такие значения аргумента (переменной $x$), при которых значение функции (переменной $y$ или $f(x)$) равно нулю. Чтобы найти нули функции $y=f(x)$, необходимо решить уравнение $f(x)=0$.

a) $f(x) = 5x - 7$

Для нахождения нулей функции приравняем ее к нулю:

$5x - 7 = 0$

Перенесем -7 в правую часть уравнения с противоположным знаком:

$5x = 7$

Разделим обе части на 5:

$x = \frac{7}{5}$

Так как это неправильная дробь, выделим из нее целую часть:

$x = 1\frac{2}{5}$

Ответ: $x = \mathbf{1}\frac{2}{5}$.

б) $g(x) = 49 - x^2$

Приравняем функцию к нулю:

$49 - x^2 = 0$

Используем формулу разности квадратов $a^2 - b^2 = (a-b)(a+b)$:

$7^2 - x^2 = 0$

$(7 - x)(7 + x) = 0$

Произведение равно нулю, когда хотя бы один из множителей равен нулю:

$7 - x = 0$ или $7 + x = 0$

Из первого уравнения получаем $x_1 = 7$.

Из второго уравнения получаем $x_2 = -7$.

Ответ: $x_1 = 7, x_2 = -7$.

в) $h(x) = 7x^2 - 8x + 1$

Приравняем функцию к нулю, чтобы найти ее нули:

$7x^2 - 8x + 1 = 0$

Это квадратное уравнение. Решим его через дискриминант $D = b^2 - 4ac$:

$D = (-8)^2 - 4 \cdot 7 \cdot 1 = 64 - 28 = 36$

Так как $D > 0$, уравнение имеет два действительных корня, которые находим по формуле $x_{1,2} = \frac{-b \pm \sqrt{D}}{2a}$:

$x_1 = \frac{-(-8) + \sqrt{36}}{2 \cdot 7} = \frac{8 + 6}{14} = \frac{14}{14} = 1$

$x_2 = \frac{-(-8) - \sqrt{36}}{2 \cdot 7} = \frac{8 - 6}{14} = \frac{2}{14} = \frac{1}{7}$

Ответ: $x_1 = 1, x_2 = \frac{1}{7}$.

г) $q(x) = x^4 - 10x^2 + 9$

Приравняем функцию к нулю:

$x^4 - 10x^2 + 9 = 0$

Это биквадратное уравнение. Введем замену переменной: пусть $t = x^2$. Так как $x^2$ не может быть отрицательным, $t \ge 0$.

Уравнение принимает вид:

$t^2 - 10t + 9 = 0$

Решим полученное квадратное уравнение. По теореме Виета, сумма корней $t_1 + t_2 = 10$, а их произведение $t_1 \cdot t_2 = 9$. Легко подобрать корни:

$t_1 = 1$

$t_2 = 9$

Оба значения удовлетворяют условию $t \ge 0$. Теперь вернемся к исходной переменной $x$:

1) Если $t_1 = 1$, то $x^2 = 1$. Отсюда $x = \pm\sqrt{1}$, то есть $x_1 = 1$ и $x_2 = -1$.

2) Если $t_2 = 9$, то $x^2 = 9$. Отсюда $x = \pm\sqrt{9}$, то есть $x_3 = 3$ и $x_4 = -3$.

Ответ: $x = \pm 1, x = \pm 3$.

Помогло решение? Оставьте отзыв в комментариях ниже.

Присоединяйтесь к Телеграм-группе @gdz_by_belarus

Присоединиться

Мы подготовили для вас ответ c подробным объяснением домашего задания по алгебре за 9 класс, для упражнения номер 2.70 расположенного на странице 102 к учебнику 2019 года издания для учащихся школ и гимназий.

Теперь на нашем сайте ГДЗ.ТОП вы всегда легко и бесплатно найдёте условие с правильным ответом на вопрос «Как решить ДЗ» и «Как сделать» задание по алгебре к упражнению №2.70 (с. 102), авторов: Арефьева (Ирина Глебовна), Пирютко (Ольга Николаевна), учебного пособия издательства Народная асвета.