Номер 2.67, страница 101 - гдз по алгебре 9 класс учебник Арефьева, Пирютко

Алгебра, 9 класс Учебник, авторы: Арефьева Ирина Глебовна, Пирютко Ольга Николаевна, издательство Народная асвета, Минск, 2019, голубого цвета

Авторы: Арефьева И. Г., Пирютко О. Н.

Тип: Учебник

Издательство: Народная асвета

Год издания: 2019 - 2025

Цвет обложки: голубой, синий с графиком

ISBN: 978-985-03-3077-2

Допущено Министерством образования Республики Беларусь

Популярные ГДЗ в 9 классе

Глава 2. Функции. Параграф 7. Свойства функции - номер 2.67, страница 101.

№2.67 (с. 101)
Условие. №2.67 (с. 101)
скриншот условия
Алгебра, 9 класс Учебник, авторы: Арефьева Ирина Глебовна, Пирютко Ольга Николаевна, издательство Народная асвета, Минск, 2019, голубого цвета, страница 101, номер 2.67, Условие

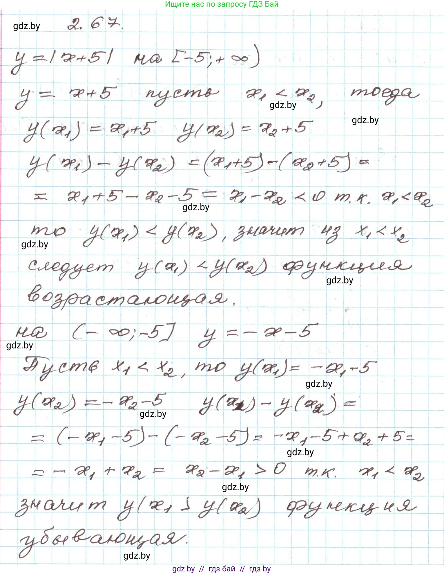
2.67*. Докажите, что функция $y=|x+5|$ возрастает на промежутке $[-5;+\infty)$ и убывает на промежутке $(-\infty;-5]$.

Решение. №2.67 (с. 101)
Алгебра, 9 класс Учебник, авторы: Арефьева Ирина Глебовна, Пирютко Ольга Николаевна, издательство Народная асвета, Минск, 2019, голубого цвета, страница 101, номер 2.67, Решение
Решение 2. №2.67 (с. 101)

Для доказательства утверждений, касающихся монотонности функции $y = |x + 5|$, необходимо сначала раскрыть модуль. По определению абсолютной величины:

$|a| = \begin{cases} a, & \text{если } a \ge 0 \\ -a, & \text{если } a < 0 \end{cases}$

Применительно к заданной функции $y = |x + 5|$, получаем:

$y = |x + 5| = \begin{cases} x + 5, & \text{если } x + 5 \ge 0, \text{ то есть при } x \ge -5 \\ -(x + 5), & \text{если } x + 5 < 0, \text{ то есть при } x < -5 \end{cases}$

Теперь докажем утверждения для каждого из указанных промежутков.

Функция $y=|x+5|$ возрастает на промежутке $[-5; +\infty)$

На промежутке $[-5; +\infty)$ выполняется условие $x \ge -5$, поэтому функция принимает вид $y = x + 5$.

Функция является возрастающей на некотором промежутке, если для любых двух значений $x_1$ и $x_2$ из этого промежутка, таких что $x_2 > x_1$, выполняется неравенство $f(x_2) > f(x_1)$.

Возьмем два произвольных числа $x_1$ и $x_2$ из промежутка $[-5; +\infty)$ так, чтобы $x_2 > x_1$.

Значения функции в этих точках равны:

$y(x_1) = x_1 + 5$

$y(x_2) = x_2 + 5$

Найдем разность значений функции:

$y(x_2) - y(x_1) = (x_2 + 5) - (x_1 + 5) = x_2 - x_1$

Поскольку мы выбрали $x_2 > x_1$, разность $x_2 - x_1$ будет положительной:

$x_2 - x_1 > 0$

Следовательно, $y(x_2) - y(x_1) > 0$, откуда $y(x_2) > y(x_1)$.

Это доказывает, что для любых $x_2 > x_1$ из промежутка $[-5; +\infty)$ значение функции в точке $x_2$ больше, чем в точке $x_1$. Таким образом, функция $y = |x + 5|$ возрастает на промежутке $[-5; +\infty)$. Что и требовалось доказать.

Ответ: -5

Функция $y=|x+5|$ убывает на промежутке $(-\infty; -5]$

На промежутке $(-\infty; -5]$ выполняется условие $x \le -5$ (включая точку $x = -5$, где $y = -(-5) - 5 = 0$), поэтому функция принимает вид $y = -(x + 5) = -x - 5$.

Функция является убывающей на некотором промежутке, если для любых двух значений $x_1$ и $x_2$ из этого промежутка, таких что $x_2 > x_1$, выполняется неравенство $f(x_2) < f(x_1)$.

Возьмем два произвольных числа $x_1$ и $x_2$ из промежутка $(-\infty; -5]$ так, чтобы $x_1 < x_2 \le -5$.

Значения функции в этих точках равны:

$y(x_1) = -x_1 - 5$

$y(x_2) = -x_2 - 5$

Найдем разность значений функции:

$y(x_2) - y(x_1) = (-x_2 - 5) - (-x_1 - 5) = -x_2 - 5 + x_1 + 5 = x_1 - x_2 = -(x_2 - x_1)$

Поскольку мы выбрали $x_2 > x_1$, разность $x_2 - x_1$ будет положительной:

$x_2 - x_1 > 0$

Тогда выражение $-(x_2 - x_1)$ будет отрицательным:

$-(x_2 - x_1) < 0$

Следовательно, $y(x_2) - y(x_1) < 0$, откуда $y(x_2) < y(x_1)$.

Это доказывает, что для любых $x_2 > x_1$ из промежутка $(-\infty; -5]$ значение функции в точке $x_2$ меньше, чем в точке $x_1$. Таким образом, функция $y = |x + 5|$ убывает на промежутке $(-\infty; -5]$. Что и требовалось доказать.

Ответ: -5

Помогло решение? Оставьте отзыв в комментариях ниже.

Присоединяйтесь к Телеграм-группе @gdz_by_belarus

Присоединиться

Мы подготовили для вас ответ c подробным объяснением домашего задания по алгебре за 9 класс, для упражнения номер 2.67 расположенного на странице 101 к учебнику 2019 года издания для учащихся школ и гимназий.

Теперь на нашем сайте ГДЗ.ТОП вы всегда легко и бесплатно найдёте условие с правильным ответом на вопрос «Как решить ДЗ» и «Как сделать» задание по алгебре к упражнению №2.67 (с. 101), авторов: Арефьева (Ирина Глебовна), Пирютко (Ольга Николаевна), учебного пособия издательства Народная асвета.