Номер 2.78, страница 102 - гдз по алгебре 9 класс учебник Арефьева, Пирютко

Алгебра, 9 класс Учебник, авторы: Арефьева Ирина Глебовна, Пирютко Ольга Николаевна, издательство Народная асвета, Минск, 2019, голубого цвета

Авторы: Арефьева И. Г., Пирютко О. Н.

Тип: Учебник

Издательство: Народная асвета

Год издания: 2019 - 2025

Цвет обложки: голубой, синий с графиком

ISBN: 978-985-03-3077-2

Допущено Министерством образования Республики Беларусь

Популярные ГДЗ в 9 классе

Глава 2. Функции. Параграф 7. Свойства функции - номер 2.78, страница 102.

№2.78 (с. 102)
Условие. №2.78 (с. 102)
скриншот условия
Алгебра, 9 класс Учебник, авторы: Арефьева Ирина Глебовна, Пирютко Ольга Николаевна, издательство Народная асвета, Минск, 2019, голубого цвета, страница 102, номер 2.78, Условие

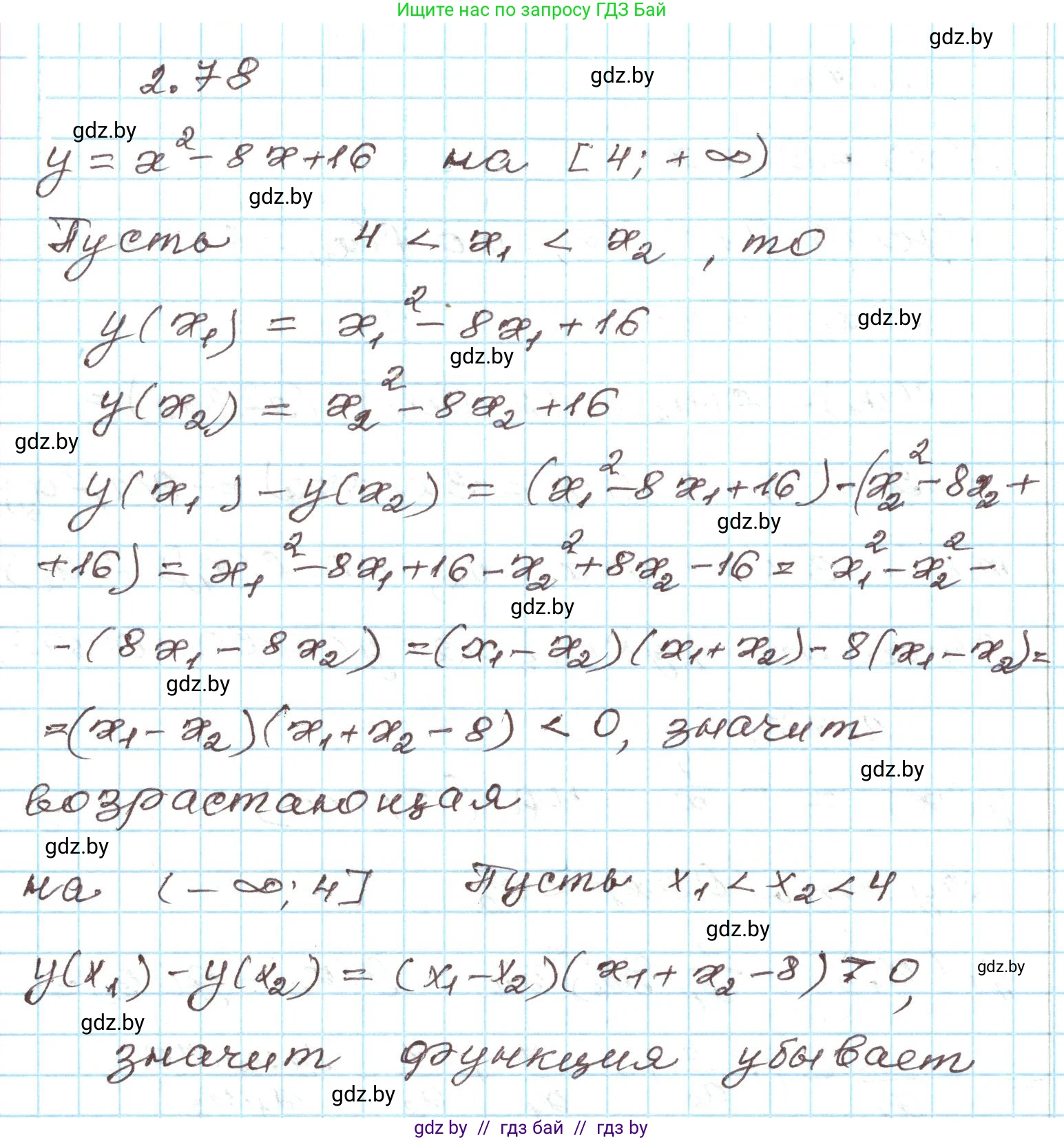
2.78*. Докажите, что функция $y = x^2 - 8x + 16$ возрастает на промежутке $[4; +\infty)$ и убывает на промежутке $(-\infty; 4]$.

Решение. №2.78 (с. 102)
Алгебра, 9 класс Учебник, авторы: Арефьева Ирина Глебовна, Пирютко Ольга Николаевна, издательство Народная асвета, Минск, 2019, голубого цвета, страница 102, номер 2.78, Решение
Решение 2. №2.78 (с. 102)

Для доказательства утверждения о монотонности функции $y = x^2 - 8x + 16$ можно использовать ее свойства как квадратичной функции или доказать строго по определению.

Сначала заметим, что данное выражение является полным квадратом: $$y = x^2 - 2 \cdot x \cdot 4 + 4^2 = (x - 4)^2$$ График этой функции — парабола с вершиной в точке $x=4$ и ветвями, направленными вверх. Следовательно, функция убывает до вершины (на промежутке $(-\infty; 4]$) и возрастает после вершины (на промежутке $[4; +\infty)$).

Проведем строгое доказательство по определению монотонности.

Функция $y = x^2 - 8x + 16$ возрастает на промежутке $[4; +\infty)$
Согласно определению, функция возрастает, если для любых $x_1, x_2$ из данного промежутка, таких что $x_1 < x_2$, выполняется неравенство $y(x_1) < y(x_2)$. Возьмем произвольные $x_1, x_2$ такие, что $4 \le x_1 < x_2$. Рассмотрим разность $y(x_2) - y(x_1)$: $$y(x_2) - y(x_1) = (x_2 - 4)^2 - (x_1 - 4)^2$$ Применим формулу разности квадратов $a^2 - b^2 = (a-b)(a+b)$: $$y(x_2) - y(x_1) = ((x_2 - 4) - (x_1 - 4))((x_2 - 4) + (x_1 - 4)) = (x_2 - x_1)(x_1 + x_2 - 8)$$ Оценим знак каждого множителя:

  • $x_2 - x_1 > 0$, так как по выбору $x_1 < x_2$.
  • $x_1 + x_2 - 8 > 0$, так как из $x_1 \ge 4$ и $x_2 > 4$ следует, что $x_1 + x_2 > 8$.

Произведение двух положительных множителей положительно: $y(x_2) - y(x_1) > 0$, следовательно $y(x_2) > y(x_1)$. Утверждение доказано.
Ответ: 4

Функция $y = x^2 - 8x + 16$ убывает на промежутке $(-\infty; 4]$
Согласно определению, функция убывает, если для любых $x_1, x_2$ из данного промежутка, таких что $x_1 < x_2$, выполняется неравенство $y(x_1) > y(x_2)$. Возьмем произвольные $x_1, x_2$ такие, что $x_1 < x_2 \le 4$. Используем то же выражение для разности: $$y(x_2) - y(x_1) = (x_2 - x_1)(x_1 + x_2 - 8)$$ Оценим знак каждого множителя:

  • $x_2 - x_1 > 0$, так как по выбору $x_1 < x_2$.
  • $x_1 + x_2 - 8 < 0$, так как из $x_1 < 4$ и $x_2 \le 4$ следует, что $x_1 + x_2 < 8$.

Произведение положительного и отрицательного множителей отрицательно: $y(x_2) - y(x_1) < 0$, следовательно $y(x_2) < y(x_1)$. Утверждение доказано.
Ответ: 4

Помогло решение? Оставьте отзыв в комментариях ниже.

Присоединяйтесь к Телеграм-группе @gdz_by_belarus

Присоединиться

Мы подготовили для вас ответ c подробным объяснением домашего задания по алгебре за 9 класс, для упражнения номер 2.78 расположенного на странице 102 к учебнику 2019 года издания для учащихся школ и гимназий.

Теперь на нашем сайте ГДЗ.ТОП вы всегда легко и бесплатно найдёте условие с правильным ответом на вопрос «Как решить ДЗ» и «Как сделать» задание по алгебре к упражнению №2.78 (с. 102), авторов: Арефьева (Ирина Глебовна), Пирютко (Ольга Николаевна), учебного пособия издательства Народная асвета.