Номер 3.121, страница 177 - гдз по алгебре 9 класс учебник Арефьева, Пирютко

Алгебра, 9 класс Учебник, авторы: Арефьева Ирина Глебовна, Пирютко Ольга Николаевна, издательство Народная асвета, Минск, 2019, голубого цвета

Авторы: Арефьева И. Г., Пирютко О. Н.

Тип: Учебник

Издательство: Народная асвета

Год издания: 2019 - 2025

Цвет обложки: голубой, синий с графиком

ISBN: 978-985-03-3077-2

Допущено Министерством образования Республики Беларусь

Популярные ГДЗ в 9 классе

Глава 3. Дробно-рациональные уравнения и неравенства. Параграф 12. Формула длины отрезка с заданными координатами его концов. Уравнение окружности - номер 3.121, страница 177.

№3.121 (с. 177)
Условие. №3.121 (с. 177)
скриншот условия
Алгебра, 9 класс Учебник, авторы: Арефьева Ирина Глебовна, Пирютко Ольга Николаевна, издательство Народная асвета, Минск, 2019, голубого цвета, страница 177, номер 3.121, Условие Алгебра, 9 класс Учебник, авторы: Арефьева Ирина Глебовна, Пирютко Ольга Николаевна, издательство Народная асвета, Минск, 2019, голубого цвета, страница 177, номер 3.121, Условие (продолжение 2)

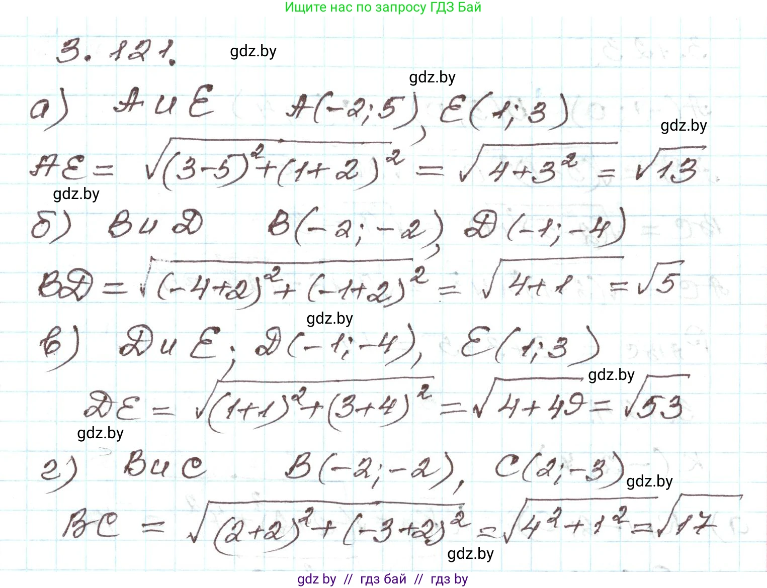
3.121. На координатной плоскости отмечены точки $A$, $B$, $C$, $D$ и $E$ (рис. 77). Найдите расстояние между точками:

а) $A$ и $E$;

б) $B$ и $D$;

в) $D$ и $E$;

г) $B$ и $C$.

Рис. 77

Решение. №3.121 (с. 177)
Алгебра, 9 класс Учебник, авторы: Арефьева Ирина Глебовна, Пирютко Ольга Николаевна, издательство Народная асвета, Минск, 2019, голубого цвета, страница 177, номер 3.121, Решение
Решение 2. №3.121 (с. 177)

Для нахождения расстояния между двумя точками с координатами $(x_1, y_1)$ и $(x_2, y_2)$ на плоскости используется формула, основанная на теореме Пифагора:

$d = \sqrt{(x_2 - x_1)^2 + (y_2 - y_1)^2}$

Сначала определим координаты точек по данным на рисунке 77:

  • A(-2, 5)
  • B(-2, -2)
  • C(2, -3)
  • D(-1, -4)
  • E(1, 3)

Далее мы вычислим точное расстояние для каждой пары точек, а затем, согласно требованию, выделим целую часть полученного значения.

а) A и E;

Вычисляем расстояние между точками A(-2, 5) и E(1, 3):
$d = \sqrt{(1 - (-2))^2 + (3 - 5)^2} = \sqrt{3^2 + (-2)^2} = \sqrt{9 + 4} = \sqrt{13}$.
Значение $\sqrt{13}$ находится между 3 и 4, так как $3^2=9$ и $4^2=16$. Следовательно, целая часть расстояния равна 3. Ответ: 3

б) B и D;

Вычисляем расстояние между точками B(-2, -2) и D(-1, -4):
$d = \sqrt{(-1 - (-2))^2 + (-4 - (-2))^2} = \sqrt{1^2 + (-2)^2} = \sqrt{1 + 4} = \sqrt{5}$.
Значение $\sqrt{5}$ находится между 2 и 3, так как $2^2=4$ и $3^2=9$. Следовательно, целая часть расстояния равна 2. Ответ: 2

в) D и E;

Вычисляем расстояние между точками D(-1, -4) и E(1, 3):
$d = \sqrt{(1 - (-1))^2 + (3 - (-4))^2} = \sqrt{2^2 + 7^2} = \sqrt{4 + 49} = \sqrt{53}$.
Значение $\sqrt{53}$ находится между 7 и 8, так как $7^2=49$ и $8^2=64$. Следовательно, целая часть расстояния равна 7. Ответ: 7

г) B и C.

Вычисляем расстояние между точками B(-2, -2) и C(2, -3):
$d = \sqrt{(2 - (-2))^2 + (-3 - (-2))^2} = \sqrt{4^2 + (-1)^2} = \sqrt{16 + 1} = \sqrt{17}$.
Значение $\sqrt{17}$ находится между 4 и 5, так как $4^2=16$ и $5^2=25$. Следовательно, целая часть расстояния равна 4. Ответ: 4

Помогло решение? Оставьте отзыв в комментариях ниже.

Присоединяйтесь к Телеграм-группе @gdz_by_belarus

Присоединиться

Мы подготовили для вас ответ c подробным объяснением домашего задания по алгебре за 9 класс, для упражнения номер 3.121 расположенного на странице 177 к учебнику 2019 года издания для учащихся школ и гимназий.

Теперь на нашем сайте ГДЗ.ТОП вы всегда легко и бесплатно найдёте условие с правильным ответом на вопрос «Как решить ДЗ» и «Как сделать» задание по алгебре к упражнению №3.121 (с. 177), авторов: Арефьева (Ирина Глебовна), Пирютко (Ольга Николаевна), учебного пособия издательства Народная асвета.