Номер 4.160, страница 233 - гдз по алгебре 9 класс учебник Арефьева, Пирютко

Алгебра, 9 класс Учебник, авторы: Арефьева Ирина Глебовна, Пирютко Ольга Николаевна, издательство Народная асвета, Минск, 2019, голубого цвета

Авторы: Арефьева И. Г., Пирютко О. Н.

Тип: Учебник

Издательство: Народная асвета

Год издания: 2019 - 2025

Цвет обложки: голубой, синий с графиком

ISBN: 978-985-03-3077-2

Допущено Министерством образования Республики Беларусь

Популярные ГДЗ в 9 классе

Глава 4. Прогрессии. Параграф 16. Формула суммы n первых членов арифметической прогрессии - номер 4.160, страница 233.

№4.160 (с. 233)
Условие. №4.160 (с. 233)
скриншот условия
Алгебра, 9 класс Учебник, авторы: Арефьева Ирина Глебовна, Пирютко Ольга Николаевна, издательство Народная асвета, Минск, 2019, голубого цвета, страница 233, номер 4.160, Условие

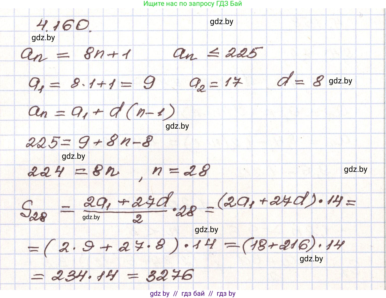
4.160. Запишите формулу натурального числа, которое при делении на 8 дает в остатке 1: $8k + 1$. Найдите сумму всех натуральных чисел, не превосходящих 225, которые при делении на 8 дают в остатке 1.

Решение. №4.160 (с. 233)
Алгебра, 9 класс Учебник, авторы: Арефьева Ирина Глебовна, Пирютко Ольга Николаевна, издательство Народная асвета, Минск, 2019, голубого цвета, страница 233, номер 4.160, Решение
Решение 2. №4.160 (с. 233)

Запишите формулу натурального числа, которое при делении на 8 дает в остатке 1. Ответ:

Любое натуральное число a, которое при делении на 8 дает в остатке 1, можно представить с помощью формулы деления с остатком: $a = bq + r$. В данном случае делитель $b=8$, а остаток $r=1$. Частное $q$ может быть любым целым неотрицательным числом. Обозначив частное как $k$, мы получаем искомую формулу.

Формула: $a = 8k + 1$, где $k \in \{0, 1, 2, ...\}$.

Найдите сумму всех натуральных чисел, не превосходящих 225, которые при делении на 8 дают в остатке 1. Ответ:

Натуральные числа, которые при делении на 8 дают в остатке 1, образуют арифметическую прогрессию. Для нахождения их суммы выполним следующие шаги:

1. Найдем первый член прогрессии ($a_1$). Используя формулу $a_k = 8k + 1$ при наименьшем возможном значении $k=0$, получаем: $a_1 = 8 \cdot 0 + 1 = 1$.

2. Найдем последний член прогрессии ($a_n$), который не превосходит 225. Для этого найдем максимальное значение $k$:
$8k + 1 \le 225$
$8k \le 224$
$k \le \frac{224}{8}$
$k \le 28$
Максимальное целое значение $k=28$. Последний член прогрессии:
$a_n = 8 \cdot 28 + 1 = 224 + 1 = 225$.

3. Найдем количество членов прогрессии ($n$). Так как $k$ принимает целые значения от 0 до 28 включительно, общее количество членов равно:
$n = 28 - 0 + 1 = 29$.

4. Вычислим сумму прогрессии ($S_n$). Используем формулу суммы $n$ членов арифметической прогрессии:
$S_n = \frac{(a_1 + a_n) \cdot n}{2}$
Подставив наши значения, получаем:
$S_{29} = \frac{(1 + 225) \cdot 29}{2} = \frac{226}{2} \cdot 29 = 113 \cdot 29 = 3277$.

Таким образом, сумма всех натуральных чисел, не превосходящих 225, которые при делении на 8 дают в остатке 1, равна 3277.

Помогло решение? Оставьте отзыв в комментариях ниже.

Присоединяйтесь к Телеграм-группе @gdz_by_belarus

Присоединиться

Мы подготовили для вас ответ c подробным объяснением домашего задания по алгебре за 9 класс, для упражнения номер 4.160 расположенного на странице 233 к учебнику 2019 года издания для учащихся школ и гимназий.

Теперь на нашем сайте ГДЗ.ТОП вы всегда легко и бесплатно найдёте условие с правильным ответом на вопрос «Как решить ДЗ» и «Как сделать» задание по алгебре к упражнению №4.160 (с. 233), авторов: Арефьева (Ирина Глебовна), Пирютко (Ольга Николаевна), учебного пособия издательства Народная асвета.