Номер 4.257, страница 252 - гдз по алгебре 9 класс учебник Арефьева, Пирютко

Алгебра, 9 класс Учебник, авторы: Арефьева Ирина Глебовна, Пирютко Ольга Николаевна, издательство Народная асвета, Минск, 2019, голубого цвета

Авторы: Арефьева И. Г., Пирютко О. Н.

Тип: Учебник

Издательство: Народная асвета

Год издания: 2019 - 2025

Цвет обложки: голубой, синий с графиком

ISBN: 978-985-03-3077-2

Допущено Министерством образования Республики Беларусь

Популярные ГДЗ в 9 классе

Глава 4. Прогрессии. Параграф 18. Формула суммы n первых членов геометрической прогрессии - номер 4.257, страница 252.

№4.257 (с. 252)
Условие. №4.257 (с. 252)
скриншот условия
Алгебра, 9 класс Учебник, авторы: Арефьева Ирина Глебовна, Пирютко Ольга Николаевна, издательство Народная асвета, Минск, 2019, голубого цвета, страница 252, номер 4.257, Условие

4.257* Сумма трех положительных чисел, составляющих арифметическую прогрессию, равна 21. Если к ним соответственно прибавить 2, 3 и 9, то полученные числа составят геометрическую прогрессию. Найдите эти числа.

Решение. №4.257 (с. 252)
Алгебра, 9 класс Учебник, авторы: Арефьева Ирина Глебовна, Пирютко Ольга Николаевна, издательство Народная асвета, Минск, 2019, голубого цвета, страница 252, номер 4.257, Решение
Решение 2. №4.257 (с. 252)

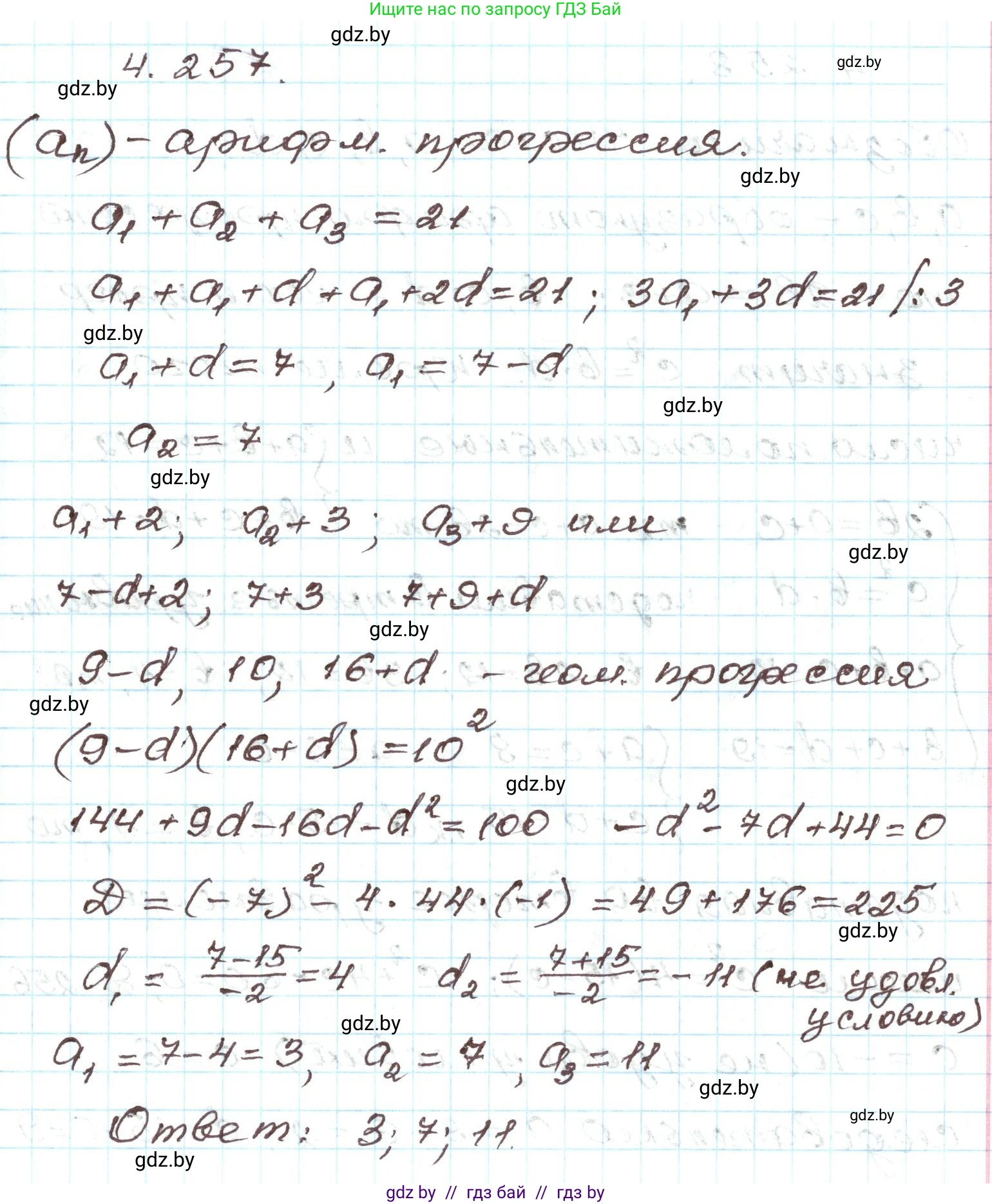
Пусть три искомых положительных числа, составляющих арифметическую прогрессию, равны $a_1$, $a_2$ и $a_3$. Для упрощения вычислений представим их в виде $a-d$, $a$, $a+d$, где $a$ — средний член прогрессии, а $d$ — её разность.

По первому условию задачи, сумма этих чисел равна 21:
$(a - d) + a + (a + d) = 21$
$3a = 21$
$a = 7$

Таким образом, искомые числа можно записать в виде: $7-d$, $7$, $7+d$.

По второму условию, если к этим числам соответственно прибавить 2, 3 и 9, то полученные числа составят геометрическую прогрессию. Новые числа будут:

  • Первое число: $(7-d) + 2 = 9-d$
  • Второе число: $7 + 3 = 10$
  • Третье число: $(7+d) + 9 = 16+d$

Для чисел $9-d$, $10$ и $16+d$, составляющих геометрическую прогрессию, должно выполняться свойство: квадрат среднего члена равен произведению крайних членов.
$10^2 = (9-d)(16+d)$

Решим это уравнение:
$100 = 144 + 9d - 16d - d^2$
$100 = 144 - 7d - d^2$
$d^2 + 7d - 44 = 0$

Это квадратное уравнение относительно $d$. Найдем его корни по формуле через дискриминант:
$D = b^2 - 4ac = 7^2 - 4 \cdot 1 \cdot (-44) = 49 + 176 = 225 = 15^2$
$d_{1,2} = \frac{-7 \pm 15}{2}$
$d_1 = \frac{-7 + 15}{2} = 4$
$d_2 = \frac{-7 - 15}{2} = -11$

Мы получили два возможных значения для разности прогрессии. Проверим каждое из них, учитывая, что исходные числа должны быть положительными.

При $d = 4$:
Исходные числа: $7-4=3$, $7$, $7+4=11$.
Все числа (3, 7, 11) положительны, что соответствует условию. Их сумма $3+7+11=21$. Новые числа $3+2=5$, $7+3=10$, $11+9=20$ образуют геометрическую прогрессию со знаменателем 2. Этот вариант является решением.

При $d = -11$:
Исходные числа: $7-(-11)=18$, $7$, $7+(-11)=-4$.
Поскольку число -4 является отрицательным, этот набор не удовлетворяет условию о положительности чисел.

Искомые числа: Ответ: 3, 7, 11.

Помогло решение? Оставьте отзыв в комментариях ниже.

Присоединяйтесь к Телеграм-группе @gdz_by_belarus

Присоединиться

Мы подготовили для вас ответ c подробным объяснением домашего задания по алгебре за 9 класс, для упражнения номер 4.257 расположенного на странице 252 к учебнику 2019 года издания для учащихся школ и гимназий.

Теперь на нашем сайте ГДЗ.ТОП вы всегда легко и бесплатно найдёте условие с правильным ответом на вопрос «Как решить ДЗ» и «Как сделать» задание по алгебре к упражнению №4.257 (с. 252), авторов: Арефьева (Ирина Глебовна), Пирютко (Ольга Николаевна), учебного пособия издательства Народная асвета.