Номер 4.260, страница 253 - гдз по алгебре 9 класс учебник Арефьева, Пирютко

Алгебра, 9 класс Учебник, авторы: Арефьева Ирина Глебовна, Пирютко Ольга Николаевна, издательство Народная асвета, Минск, 2019, голубого цвета

Авторы: Арефьева И. Г., Пирютко О. Н.

Тип: Учебник

Издательство: Народная асвета

Год издания: 2019 - 2025

Цвет обложки: голубой, синий с графиком

ISBN: 978-985-03-3077-2

Допущено Министерством образования Республики Беларусь

Популярные ГДЗ в 9 классе

Глава 4. Прогрессии. Параграф 18. Формула суммы n первых членов геометрической прогрессии - номер 4.260, страница 253.

№4.260 (с. 253)
Условие. №4.260 (с. 253)
скриншот условия
Алгебра, 9 класс Учебник, авторы: Арефьева Ирина Глебовна, Пирютко Ольга Николаевна, издательство Народная асвета, Минск, 2019, голубого цвета, страница 253, номер 4.260, Условие

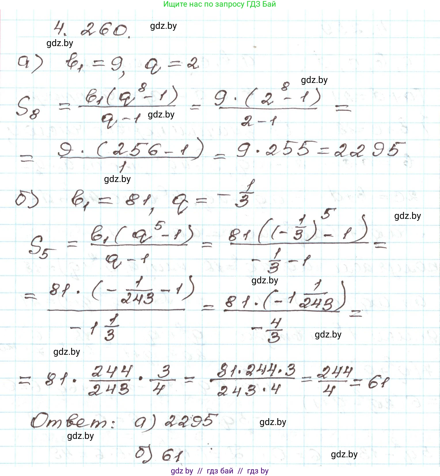
4.260. В геометрической прогрессии $(b_n)$ найдите:

а) $S_8$, если $b_1 = 9$, $q = 2$;

б) $S_5$, если $b_1 = 81$, $q = -\frac{1}{3}$.

Решение. №4.260 (с. 253)
Алгебра, 9 класс Учебник, авторы: Арефьева Ирина Глебовна, Пирютко Ольга Николаевна, издательство Народная асвета, Минск, 2019, голубого цвета, страница 253, номер 4.260, Решение
Решение 2. №4.260 (с. 253)

Для нахождения суммы первых $n$ членов геометрической прогрессии ($S_n$) при знаменателе $q \neq 1$ используется формула:$$ S_n = \frac{b_1(q^n - 1)}{q - 1} $$где $b_1$ — первый член прогрессии, $q$ — её знаменатель, а $n$ — число суммируемых членов.

а) S8, если b1 = 9, q = 2;
Подставим в формулу заданные значения: $n=8$, $b_1=9$, $q=2$.$$ S_8 = \frac{9(2^8 - 1)}{2 - 1} $$Сначала вычислим значение $2^8$:$$ 2^8 = 256 $$Теперь подставим результат в формулу для нахождения суммы:$$ S_8 = \frac{9(256 - 1)}{1} = 9 \times 255 = 2295 $$Ответ: 2295.

б) S5, если b1 = 81, q = -1/3.
Подставим в формулу известные значения: $n=5$, $b_1=81$ и $q = -\frac{1}{3}$.$$ S_5 = \frac{81\left(\left(-\frac{1}{3}\right)^5 - 1\right)}{-\frac{1}{3} - 1} $$Вычислим степень в числителе:$$ \left(-\frac{1}{3}\right)^5 = -\frac{1^5}{3^5} = -\frac{1}{243} $$Теперь подставим полученное значение в выражение для суммы:$$ S_5 = \frac{81\left(-\frac{1}{243} - 1\right)}{-\frac{1}{3} - 1} = \frac{81\left(-\frac{1}{243} - \frac{243}{243}\right)}{-\frac{1}{3} - \frac{3}{3}} = \frac{81\left(-\frac{244}{243}\right)}{-\frac{4}{3}} $$Знаки "минус" в числителе и знаменателе взаимно уничтожаются. Чтобы разделить на дробь, нужно умножить на обратную ей дробь:$$ S_5 = 81 \cdot \frac{244}{243} \cdot \frac{3}{4} $$Учитывая, что $243 = 81 \cdot 3$, мы можем сократить выражение:$$ S_5 = \frac{81 \cdot 244 \cdot 3}{243 \cdot 4} = \frac{243 \cdot 244}{243 \cdot 4} = \frac{244}{4} = 61 $$Ответ: 61.

Помогло решение? Оставьте отзыв в комментариях ниже.

Присоединяйтесь к Телеграм-группе @gdz_by_belarus

Присоединиться

Мы подготовили для вас ответ c подробным объяснением домашего задания по алгебре за 9 класс, для упражнения номер 4.260 расположенного на странице 253 к учебнику 2019 года издания для учащихся школ и гимназий.

Теперь на нашем сайте ГДЗ.ТОП вы всегда легко и бесплатно найдёте условие с правильным ответом на вопрос «Как решить ДЗ» и «Как сделать» задание по алгебре к упражнению №4.260 (с. 253), авторов: Арефьева (Ирина Глебовна), Пирютко (Ольга Николаевна), учебного пособия издательства Народная асвета.