Номер 4.65, страница 220 - гдз по алгебре 9 класс учебник Арефьева, Пирютко

Алгебра, 9 класс Учебник, авторы: Арефьева Ирина Глебовна, Пирютко Ольга Николаевна, издательство Народная асвета, Минск, 2019, голубого цвета

Авторы: Арефьева И. Г., Пирютко О. Н.

Тип: Учебник

Издательство: Народная асвета

Год издания: 2019 - 2025

Цвет обложки: голубой, синий с графиком

ISBN: 978-985-03-3077-2

Допущено Министерством образования Республики Беларусь

Популярные ГДЗ в 9 классе

Глава 4. Прогрессии. Параграф 15. Арифметическая прогрессия - номер 4.65, страница 220.

№4.65 (с. 220)
Условие. №4.65 (с. 220)
скриншот условия
Алгебра, 9 класс Учебник, авторы: Арефьева Ирина Глебовна, Пирютко Ольга Николаевна, издательство Народная асвета, Минск, 2019, голубого цвета, страница 220, номер 4.65, Условие

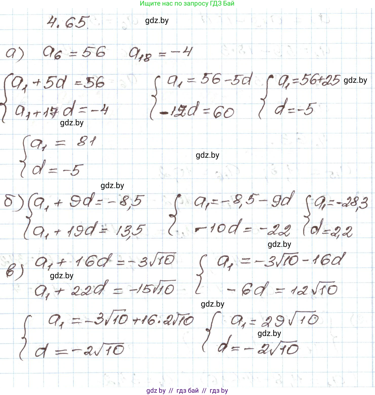
4.65. Найдите тридцатый член арифметической прогрессии ($a_n$), если известно, что:

а) $a_6 = 56, a_{18} = -4;$

б) $a_{10} = -8,5, a_{20} = 13,5;$

в) $a_{17} = -3\sqrt{10}, a_{23} = -15\sqrt{10}.$

Решение. №4.65 (с. 220)
Алгебра, 9 класс Учебник, авторы: Арефьева Ирина Глебовна, Пирютко Ольга Николаевна, издательство Народная асвета, Минск, 2019, голубого цвета, страница 220, номер 4.65, Решение
Решение 2. №4.65 (с. 220)
Для решения задачи воспользуемся формулой n-го члена арифметической прогрессии, выраженного через другой ее член m: $a_n = a_m + (n-m)d$, где $d$ — разность прогрессии.

Из этой формулы выразим разность прогрессии $d$: $d = \frac{a_n - a_m}{n-m}$.

а) Дано: $a_6 = 56$, $a_{18} = -4$.

1. Сначала найдем разность арифметической прогрессии $d$:
$d = \frac{a_{18} - a_6}{18 - 6} = \frac{-4 - 56}{12} = \frac{-60}{12} = -5$.

2. Теперь, зная разность, найдем тридцатый член прогрессии $a_{30}$. Можно использовать любой из данных членов, например, $a_{18}$:
$a_{30} = a_{18} + (30 - 18)d = -4 + 12 \cdot (-5) = -4 - 60 = -64$.

Ответ: -64

б) Дано: $a_{10} = -8,5$, $a_{20} = 13,5$.

1. Найдем разность арифметической прогрессии $d$:
$d = \frac{a_{20} - a_{10}}{20 - 10} = \frac{13,5 - (-8,5)}{10} = \frac{13,5 + 8,5}{10} = \frac{22}{10} = 2,2$.

2. Найдем тридцатый член прогрессии $a_{30}$, используя $a_{20}$:
$a_{30} = a_{20} + (30 - 20)d = 13,5 + 10 \cdot 2,2 = 13,5 + 22 = 35,5$.

Поскольку $35,5 = \frac{71}{2}$, это неправильная дробь. Выделим целую часть: $35,5 = 35\frac{1}{2}$.
Ответ: $ \mathbf{35}\frac{1}{2} $

в) Дано: $a_{17} = -3\sqrt{10}$, $a_{23} = -15\sqrt{10}$.

1. Найдем разность арифметической прогрессии $d$:
$d = \frac{a_{23} - a_{17}}{23 - 17} = \frac{-15\sqrt{10} - (-3\sqrt{10})}{6} = \frac{-15\sqrt{10} + 3\sqrt{10}}{6} = \frac{-12\sqrt{10}}{6} = -2\sqrt{10}$.

2. Найдем тридцатый член прогрессии $a_{30}$, используя $a_{23}$:
$a_{30} = a_{23} + (30 - 23)d = -15\sqrt{10} + 7 \cdot (-2\sqrt{10}) = -15\sqrt{10} - 14\sqrt{10} = -29\sqrt{10}$.

Ответ: $ -29\sqrt{10} $

Помогло решение? Оставьте отзыв в комментариях ниже.

Присоединяйтесь к Телеграм-группе @gdz_by_belarus

Присоединиться

Мы подготовили для вас ответ c подробным объяснением домашего задания по алгебре за 9 класс, для упражнения номер 4.65 расположенного на странице 220 к учебнику 2019 года издания для учащихся школ и гимназий.

Теперь на нашем сайте ГДЗ.ТОП вы всегда легко и бесплатно найдёте условие с правильным ответом на вопрос «Как решить ДЗ» и «Как сделать» задание по алгебре к упражнению №4.65 (с. 220), авторов: Арефьева (Ирина Глебовна), Пирютко (Ольга Николаевна), учебного пособия издательства Народная асвета.