Номер 133, страница 277 - гдз по алгебре 9 класс учебник Арефьева, Пирютко

Алгебра, 9 класс Учебник, авторы: Арефьева Ирина Глебовна, Пирютко Ольга Николаевна, издательство Народная асвета, Минск, 2019, голубого цвета

Авторы: Арефьева И. Г., Пирютко О. Н.

Тип: Учебник

Издательство: Народная асвета

Год издания: 2019 - 2025

Цвет обложки: голубой, синий с графиком

ISBN: 978-985-03-3077-2

Допущено Министерством образования Республики Беларусь

Популярные ГДЗ в 9 классе

Итоговое повторение. Выражения и их преобразования - номер 133, страница 277.

№133 (с. 277)
Условие. №133 (с. 277)
скриншот условия
Алгебра, 9 класс Учебник, авторы: Арефьева Ирина Глебовна, Пирютко Ольга Николаевна, издательство Народная асвета, Минск, 2019, голубого цвета, страница 277, номер 133, Условие

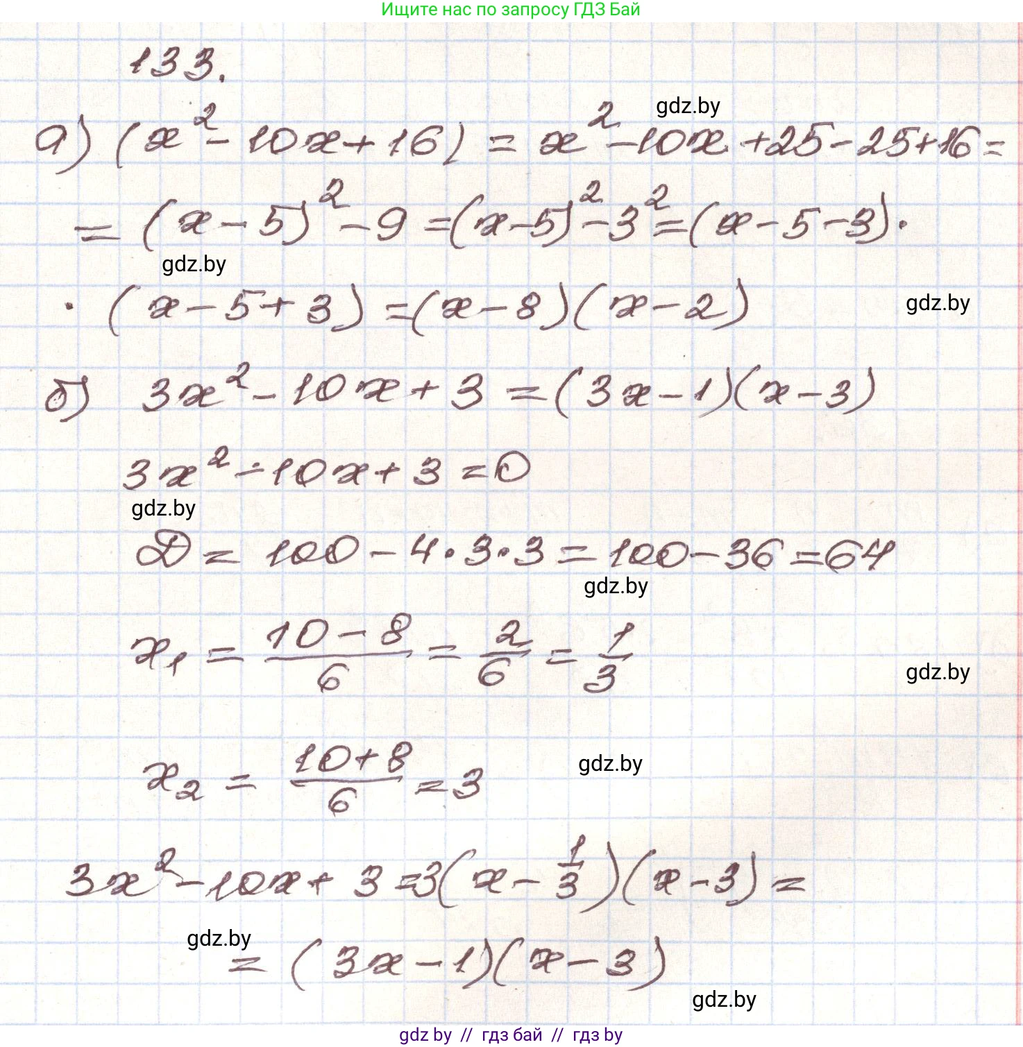
133. Разложите на множители квадратный трехчлен:

a) $x^2 - 10x + 16$;

б) $3x^2 - 10x + 3$.

Решение. №133 (с. 277)
Алгебра, 9 класс Учебник, авторы: Арефьева Ирина Глебовна, Пирютко Ольга Николаевна, издательство Народная асвета, Минск, 2019, голубого цвета, страница 277, номер 133, Решение
Решение 2. №133 (с. 277)

Для разложения квадратного трехчлена вида $ax^2 + bx + c$ на множители используется формула:

$ax^2 + bx + c = a(x - x_1)(x - x_2)$

где $x_1$ и $x_2$ — это корни соответствующего квадратного уравнения $ax^2 + bx + c = 0$. Корни находятся через дискриминант $D = b^2 - 4ac$ по формуле $x_{1,2} = \frac{-b \pm \sqrt{D}}{2a}$.

а) Разложим на множители трехчлен $x^2 - 10x + 16$.
Сначала найдем корни уравнения $x^2 - 10x + 16 = 0$.
Коэффициенты: $a=1, b=-10, c=16$.
Вычислим дискриминант:
$D = b^2 - 4ac = (-10)^2 - 4 \cdot 1 \cdot 16 = 100 - 64 = 36$
$\sqrt{D} = \sqrt{36} = 6$
Найдем корни уравнения:
$x_1 = \frac{-b + \sqrt{D}}{2a} = \frac{10 + 6}{2 \cdot 1} = \frac{16}{2} = 8$
$x_2 = \frac{-b - \sqrt{D}}{2a} = \frac{10 - 6}{2 \cdot 1} = \frac{4}{2} = 2$
Подставим найденные корни в формулу разложения:
$x^2 - 10x + 16 = 1 \cdot (x - 8)(x - 2) = (x - 8)(x - 2)$

Ответ: а) $(x - 8)(x - 2)$

б) Разложим на множители трехчлен $3x^2 - 10x + 3$.
Сначала найдем корни уравнения $3x^2 - 10x + 3 = 0$.
Коэффициенты: $a=3, b=-10, c=3$.
Вычислим дискриминант:
$D = b^2 - 4ac = (-10)^2 - 4 \cdot 3 \cdot 3 = 100 - 36 = 64$
$\sqrt{D} = \sqrt{64} = 8$
Найдем корни уравнения:
$x_1 = \frac{-b + \sqrt{D}}{2a} = \frac{10 + 8}{2 \cdot 3} = \frac{18}{6} = 3$
$x_2 = \frac{-b - \sqrt{D}}{2a} = \frac{10 - 8}{2 \cdot 3} = \frac{2}{6} = \frac{1}{3}$
Подставим коэффициент $a=3$ и найденные корни в формулу разложения:
$3x^2 - 10x + 3 = 3(x - 3)(x - \frac{1}{3})$
Для удобства можно внести множитель 3 во вторую скобку:
$3(x - 3)(x - \frac{1}{3}) = (x - 3)(3 \cdot x - 3 \cdot \frac{1}{3}) = (x - 3)(3x - 1)$

Ответ: б) $(x - 3)(3x - 1)$

Помогло решение? Оставьте отзыв в комментариях ниже.

Присоединяйтесь к Телеграм-группе @gdz_by_belarus

Присоединиться

Мы подготовили для вас ответ c подробным объяснением домашего задания по алгебре за 9 класс, для упражнения номер 133 расположенного на странице 277 к учебнику 2019 года издания для учащихся школ и гимназий.

Теперь на нашем сайте ГДЗ.ТОП вы всегда легко и бесплатно найдёте условие с правильным ответом на вопрос «Как решить ДЗ» и «Как сделать» задание по алгебре к упражнению №133 (с. 277), авторов: Арефьева (Ирина Глебовна), Пирютко (Ольга Николаевна), учебного пособия издательства Народная асвета.