Номер 2.125, страница 186 - гдз по алгебре 10 класс учебник Арефьева, Пирютко

Алгебра, 10 класс Учебник, авторы: Арефьева Ирина Глебовна, Пирютко Ольга Николаевна, издательство Народная асвета, Минск, 2019, голубого цвета

Авторы: Арефьева И. Г., Пирютко О. Н.

Тип: Учебник

Издательство: Народная асвета

Год издания: 2019 - 2025

Цвет обложки: голубой с графиком

Допущено Министерством образования Республики Беларусь

Популярные ГДЗ в 10 классе

Глава 2. Корень n-й степени из числа. Параграф 15. Применение свойств корней n-й степени для преобразования выражений - номер 2.125, страница 186.

№2.125 (с. 186)
Условие. №2.125 (с. 186)
скриншот условия
Алгебра, 10 класс Учебник, авторы: Арефьева Ирина Глебовна, Пирютко Ольга Николаевна, издательство Народная асвета, Минск, 2019, голубого цвета, страница 186, номер 2.125, Условие Алгебра, 10 класс Учебник, авторы: Арефьева Ирина Глебовна, Пирютко Ольга Николаевна, издательство Народная асвета, Минск, 2019, голубого цвета, страница 186, номер 2.125, Условие (продолжение 2)

2.125. Найдите значение выражения:

а) $(\sqrt[4]{2} - \sqrt[4]{32})^2$;

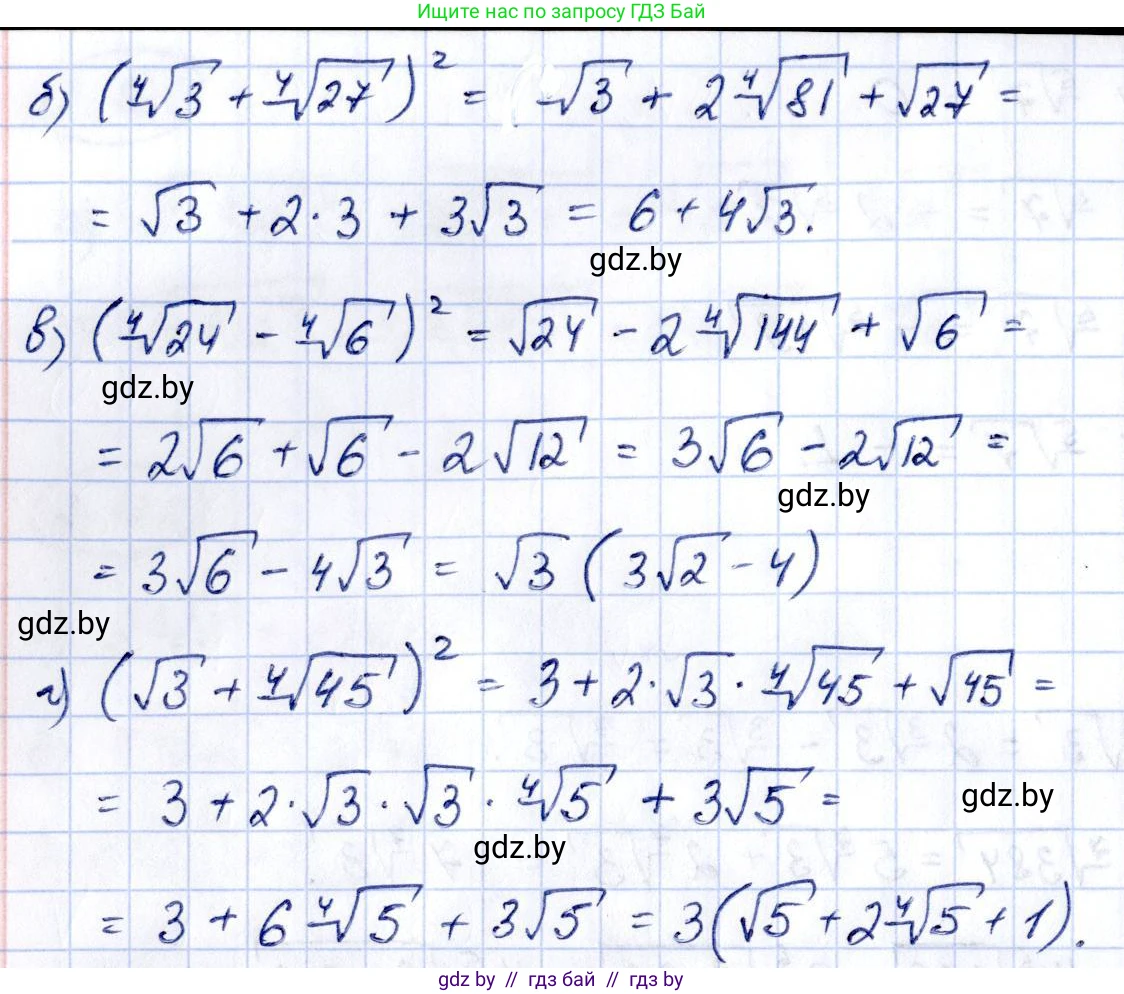
б) $(\sqrt[4]{3} + \sqrt[4]{27})^2$;

в) $(\sqrt[4]{24} - \sqrt[4]{6})^2$;

г) $(\sqrt{3} + \sqrt[4]{45})^2$.

Верно ли, что значение выражения является рациональным числом?

Решение. №2.125 (с. 186)
Алгебра, 10 класс Учебник, авторы: Арефьева Ирина Глебовна, Пирютко Ольга Николаевна, издательство Народная асвета, Минск, 2019, голубого цвета, страница 186, номер 2.125, Решение Алгебра, 10 класс Учебник, авторы: Арефьева Ирина Глебовна, Пирютко Ольга Николаевна, издательство Народная асвета, Минск, 2019, голубого цвета, страница 186, номер 2.125, Решение (продолжение 2)
Решение 2. №2.125 (с. 186)

а) Для того чтобы найти значение выражения $(\sqrt[4]{2} - \sqrt[4]{32})^2$, сначала упростим корень $\sqrt[4]{32}$.
$\sqrt[4]{32} = \sqrt[4]{16 \cdot 2} = \sqrt[4]{2^4 \cdot 2} = 2\sqrt[4]{2}$.
Теперь подставим упрощенное значение обратно в выражение:
$(\sqrt[4]{2} - 2\sqrt[4]{2})^2 = (-\sqrt[4]{2})^2$.
Возведем в квадрат:
$(-\sqrt[4]{2})^2 = (\sqrt[4]{2})^2 = (2^{1/4})^2 = 2^{2/4} = 2^{1/2} = \sqrt{2}$.
Ответ: $\sqrt{2}$.

б) Для того чтобы найти значение выражения $(\sqrt[4]{3} + \sqrt[4]{27})^2$, воспользуемся формулой квадрата суммы $(a+b)^2 = a^2 + 2ab + b^2$.
В нашем случае $a = \sqrt[4]{3}$ и $b = \sqrt[4]{27}$.
$a^2 = (\sqrt[4]{3})^2 = \sqrt{3}$.
$b^2 = (\sqrt[4]{27})^2 = (\sqrt[4]{3^3})^2 = \sqrt{3^3} = \sqrt{27} = 3\sqrt{3}$.
$2ab = 2 \cdot \sqrt[4]{3} \cdot \sqrt[4]{27} = 2 \cdot \sqrt[4]{3 \cdot 27} = 2 \cdot \sqrt[4]{81} = 2 \cdot \sqrt[4]{3^4} = 2 \cdot 3 = 6$.
Сложим полученные части:
$a^2 + 2ab + b^2 = \sqrt{3} + 6 + 3\sqrt{3} = 6 + 4\sqrt{3}$.
Ответ: $6 + 4\sqrt{3}$.

в) Для того чтобы найти значение выражения $(\sqrt[4]{24} - \sqrt[4]{6})^2$, воспользуемся формулой квадрата разности $(a-b)^2 = a^2 - 2ab + b^2$.
В нашем случае $a = \sqrt[4]{24}$ и $b = \sqrt[4]{6}$.
$a^2 = (\sqrt[4]{24})^2 = \sqrt{24} = \sqrt{4 \cdot 6} = 2\sqrt{6}$.
$b^2 = (\sqrt[4]{6})^2 = \sqrt{6}$.
$2ab = 2 \cdot \sqrt[4]{24} \cdot \sqrt[4]{6} = 2 \cdot \sqrt[4]{24 \cdot 6} = 2 \cdot \sqrt[4]{144} = 2 \cdot \sqrt[4]{12^2} = 2\sqrt{12} = 2\sqrt{4 \cdot 3} = 4\sqrt{3}$.
Подставим полученные части в формулу:
$a^2 - 2ab + b^2 = 2\sqrt{6} - 4\sqrt{3} + \sqrt{6} = 3\sqrt{6} - 4\sqrt{3}$.
Ответ: $3\sqrt{6} - 4\sqrt{3}$.

г) Для того чтобы найти значение выражения $(\sqrt{3} + \sqrt[4]{45})^2$, воспользуемся формулой квадрата суммы $(a+b)^2 = a^2 + 2ab + b^2$.
В нашем случае $a = \sqrt{3}$ и $b = \sqrt[4]{45}$.
$a^2 = (\sqrt{3})^2 = 3$.
$b^2 = (\sqrt[4]{45})^2 = \sqrt{45} = \sqrt{9 \cdot 5} = 3\sqrt{5}$.
$2ab = 2 \cdot \sqrt{3} \cdot \sqrt[4]{45} = 2 \cdot \sqrt[4]{3^2} \cdot \sqrt[4]{45} = 2\sqrt[4]{9 \cdot 45} = 2\sqrt[4]{405}$. Упростим корень: $405 = 81 \cdot 5 = 3^4 \cdot 5$, поэтому $2\sqrt[4]{405} = 2\sqrt[4]{3^4 \cdot 5} = 2 \cdot 3 \sqrt[4]{5} = 6\sqrt[4]{5}$.
Сложим полученные части:
$a^2 + 2ab + b^2 = 3 + 6\sqrt[4]{5} + 3\sqrt{5}$.
Ответ: $3 + 3\sqrt{5} + 6\sqrt[4]{5}$.


Верно ли, что значение выражения является рациональным числом?
Рациональное число — это число, которое можно представить в виде дроби $\frac{p}{q}$, где $p$ — целое число, а $q$ — натуральное.
Проанализируем полученные результаты:

  • а) $\sqrt{2}$ — иррациональное число.
  • б) $6 + 4\sqrt{3}$ — иррациональное число.
  • в) $3\sqrt{6} - 4\sqrt{3}$ — иррациональное число.
  • г) $3 + 3\sqrt{5} + 6\sqrt[4]{5}$ — иррациональное число.

Ни одно из полученных значений не является рациональным числом.
Ответ: нет, не верно.

Помогло решение? Оставьте отзыв в комментариях ниже.

Присоединяйтесь к Телеграм-группе @gdz_by_belarus

Присоединиться

Мы подготовили для вас ответ c подробным объяснением домашего задания по алгебре за 10 класс, для упражнения номер 2.125 расположенного на странице 186 к учебнику 2019 года издания для учащихся школ и гимназий.

Теперь на нашем сайте ГДЗ.ТОП вы всегда легко и бесплатно найдёте условие с правильным ответом на вопрос «Как решить ДЗ» и «Как сделать» задание по алгебре к упражнению №2.125 (с. 186), авторов: Арефьева (Ирина Глебовна), Пирютко (Ольга Николаевна), учебного пособия издательства Народная асвета.