Номер 2.201, страница 199 - гдз по алгебре 10 класс учебник Арефьева, Пирютко

Алгебра, 10 класс Учебник, авторы: Арефьева Ирина Глебовна, Пирютко Ольга Николаевна, издательство Народная асвета, Минск, 2019, голубого цвета

Авторы: Арефьева И. Г., Пирютко О. Н.

Тип: Учебник

Издательство: Народная асвета

Год издания: 2019 - 2025

Цвет обложки: голубой с графиком

Допущено Министерством образования Республики Беларусь

Популярные ГДЗ в 10 классе

Глава 2. Корень n-й степени из числа. Параграф 16. Свойства и график функции y=n√x (n>1, n∈N) - номер 2.201, страница 199.

№2.201 (с. 199)
Условие. №2.201 (с. 199)
скриншот условия
Алгебра, 10 класс Учебник, авторы: Арефьева Ирина Глебовна, Пирютко Ольга Николаевна, издательство Народная асвета, Минск, 2019, голубого цвета, страница 199, номер 2.201, Условие

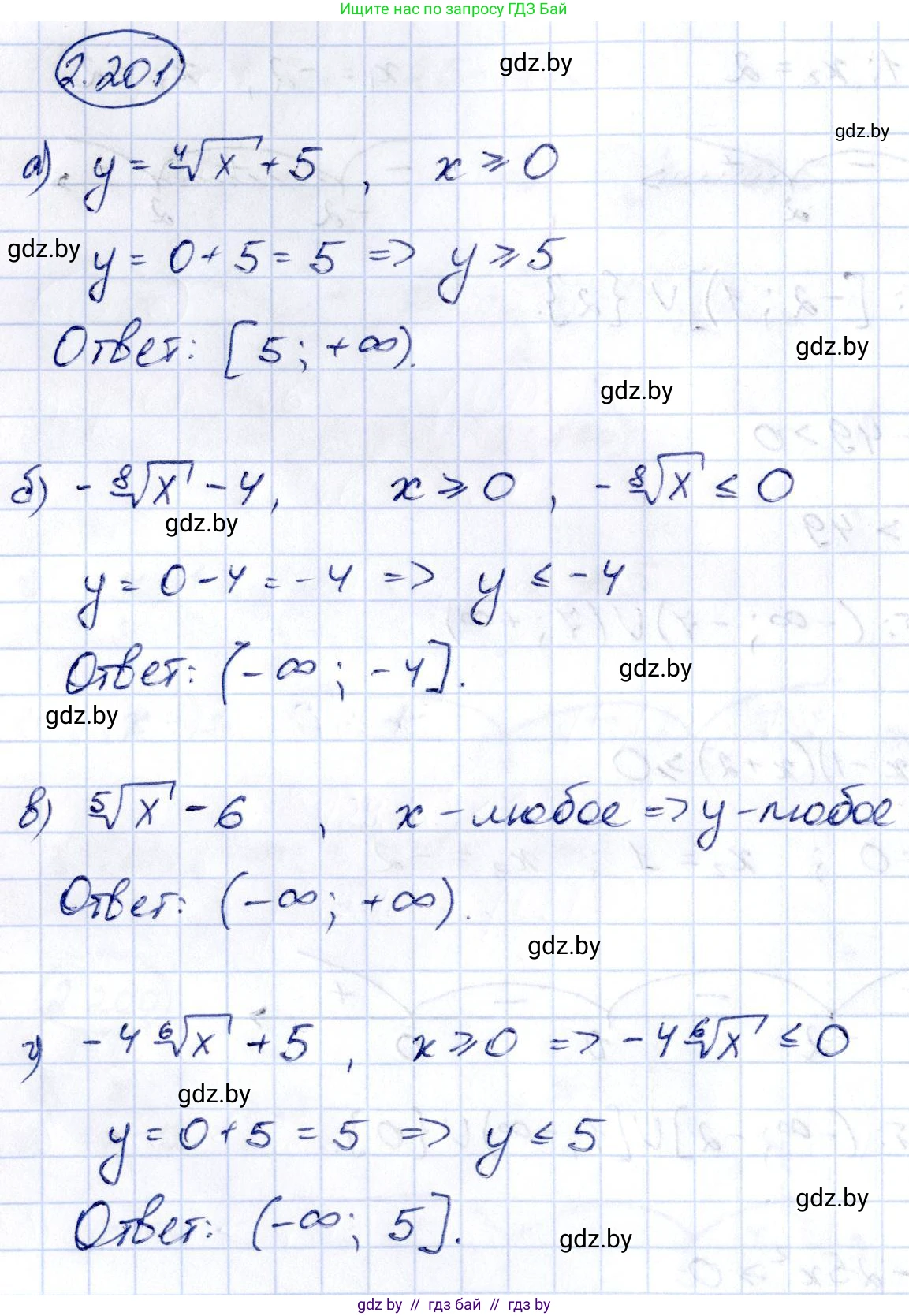
2.201. Найдите множество значений функции:

а) $y = \sqrt[4]{x} + 5$

б) $y = -\sqrt[8]{x} - 4$

в) $y = \sqrt[5]{x} - 6$

г) $y = -4\sqrt[6]{x} + 5$

Решение. №2.201 (с. 199)
Алгебра, 10 класс Учебник, авторы: Арефьева Ирина Глебовна, Пирютко Ольга Николаевна, издательство Народная асвета, Минск, 2019, голубого цвета, страница 199, номер 2.201, Решение
Решение 2. №2.201 (с. 199)

а) Функция $y = \sqrt[4]{x} + 5$ состоит из корня четной степени $\sqrt[4]{x}$ и константы. Область значений для функции $f(x) = \sqrt[4]{x}$ - это все неотрицательные числа, так как корень четной степени из неотрицательного числа всегда неотрицателен. Математически это записывается как $\sqrt[4]{x} \ge 0$. Чтобы найти множество значений для исходной функции, мы прибавляем 5 к обеим частям этого неравенства: $\sqrt[4]{x} + 5 \ge 0 + 5$ $y \ge 5$ Следовательно, множество значений функции — это все числа, большие или равные 5.
Ответ: $[5; +\infty)$

б) Функция $y = -\sqrt[8]{x} - 4$ также содержит корень четной степени $\sqrt[8]{x}$. Мы знаем, что $\sqrt[8]{x} \ge 0$. Умножим это неравенство на -1. При умножении на отрицательное число знак неравенства меняется на противоположный: $-\sqrt[8]{x} \le 0$ Теперь вычтем 4 из обеих частей неравенства: $-\sqrt[8]{x} - 4 \le 0 - 4$ $y \le -4$ Следовательно, множество значений функции — это все числа, меньшие или равные -4.
Ответ: $(-\infty; -4]$

в) Функция $y = \sqrt[5]{x} - 6$ содержит корень нечетной степени $\sqrt[5]{x}$. Корень нечетной степени может быть извлечен из любого действительного числа (положительного, отрицательного или нуля), и результат также может быть любым действительным числом. Поэтому множество значений функции $f(x) = \sqrt[5]{x}$ — это все действительные числа, то есть $(-\infty; +\infty)$. Вычитание константы 6 из функции просто смещает ее график вниз на 6 единиц, но не изменяет ее множество значений. Следовательно, множество значений функции $y = \sqrt[5]{x} - 6$ также является множеством всех действительных чисел.
Ответ: $(-\infty; +\infty)$

г) Функция $y = -4\sqrt[6]{x} + 5$ содержит корень четной степени $\sqrt[6]{x}$. Начнем с того, что $\sqrt[6]{x} \ge 0$. Умножим неравенство на -4 (знак неравенства изменится): $-4\sqrt[6]{x} \le -4 \cdot 0$ $-4\sqrt[6]{x} \le 0$ Теперь прибавим 5 к обеим частям неравенства: $-4\sqrt[6]{x} + 5 \le 0 + 5$ $y \le 5$ Следовательно, множество значений функции — это все числа, меньшие или равные 5.
Ответ: $(-\infty; 5]$

Помогло решение? Оставьте отзыв в комментариях ниже.

Присоединяйтесь к Телеграм-группе @gdz_by_belarus

Присоединиться

Мы подготовили для вас ответ c подробным объяснением домашего задания по алгебре за 10 класс, для упражнения номер 2.201 расположенного на странице 199 к учебнику 2019 года издания для учащихся школ и гимназий.

Теперь на нашем сайте ГДЗ.ТОП вы всегда легко и бесплатно найдёте условие с правильным ответом на вопрос «Как решить ДЗ» и «Как сделать» задание по алгебре к упражнению №2.201 (с. 199), авторов: Арефьева (Ирина Глебовна), Пирютко (Ольга Николаевна), учебного пособия издательства Народная асвета.