Номер 7, страница 159 - гдз по алгебре 10 класс учебник Арефьева, Пирютко

Алгебра, 10 класс Учебник, авторы: Арефьева Ирина Глебовна, Пирютко Ольга Николаевна, издательство Народная асвета, Минск, 2019, голубого цвета

Авторы: Арефьева И. Г., Пирютко О. Н.

Тип: Учебник

Издательство: Народная асвета

Год издания: 2019 - 2025

Цвет обложки: голубой с графиком

Допущено Министерством образования Республики Беларусь

Популярные ГДЗ в 10 классе

Глава 1. Тригонометрия. Я проверяю свои знания - номер 7, страница 159.

№7 (с. 159)
Условие. №7 (с. 159)
скриншот условия
Алгебра, 10 класс Учебник, авторы: Арефьева Ирина Глебовна, Пирютко Ольга Николаевна, издательство Народная асвета, Минск, 2019, голубого цвета, страница 159, номер 7, Условие

7. Решите уравнение:

а) $2\cos^2 x - 5\cos x - 3 = 0;$

б) $5\cos^2 x + 2\sin^2 x = 0.5\sin 2x + 3;$

в) $\cos 10x = \cos x;$

г) $\sin 9x \cos x - \cos 9x \sin x = 0.5;$

д) $\sqrt{2} \sin x = \sin 2x;$

е) $\sin \left(\frac{\pi}{12} - x\right) - \sin x = 0;$

ж) $\cos \left(2x + \frac{\pi}{4}\right) \cos x + \sin \left(2x + \frac{\pi}{4}\right) \sin x = -\frac{\sqrt{2}}{2}.$

Решение. №7 (с. 159)
Алгебра, 10 класс Учебник, авторы: Арефьева Ирина Глебовна, Пирютко Ольга Николаевна, издательство Народная асвета, Минск, 2019, голубого цвета, страница 159, номер 7, Решение Алгебра, 10 класс Учебник, авторы: Арефьева Ирина Глебовна, Пирютко Ольга Николаевна, издательство Народная асвета, Минск, 2019, голубого цвета, страница 159, номер 7, Решение (продолжение 2) Алгебра, 10 класс Учебник, авторы: Арефьева Ирина Глебовна, Пирютко Ольга Николаевна, издательство Народная асвета, Минск, 2019, голубого цвета, страница 159, номер 7, Решение (продолжение 3) Алгебра, 10 класс Учебник, авторы: Арефьева Ирина Глебовна, Пирютко Ольга Николаевна, издательство Народная асвета, Минск, 2019, голубого цвета, страница 159, номер 7, Решение (продолжение 4)
Решение 2. №7 (с. 159)

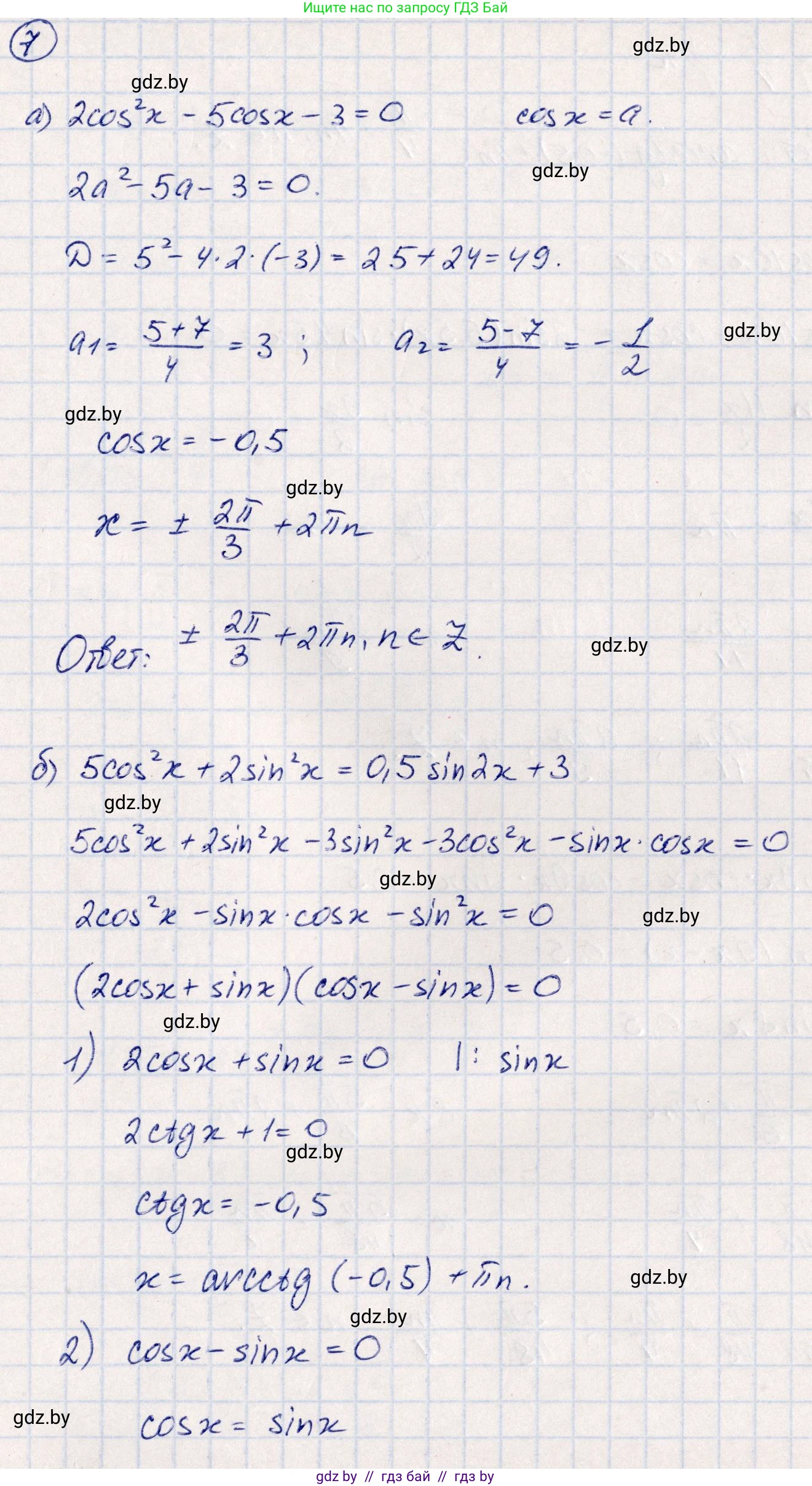
a) Исходное уравнение: $2\cos^2 x - 5\cos x - 3 = 0$.
Это квадратное уравнение относительно $\cos x$. Сделаем замену переменной. Пусть $t = \cos x$, при этом $-1 \le t \le 1$.
Получаем уравнение: $2t^2 - 5t - 3 = 0$.
Найдем дискриминант: $D = b^2 - 4ac = (-5)^2 - 4 \cdot 2 \cdot (-3) = 25 + 24 = 49 = 7^2$.
Найдем корни уравнения для $t$:
$t_1 = \frac{-b - \sqrt{D}}{2a} = \frac{5 - 7}{4} = -\frac{2}{4} = -\frac{1}{2}$.
$t_2 = \frac{-b + \sqrt{D}}{2a} = \frac{5 + 7}{4} = \frac{12}{4} = 3$.
Проверим корни на соответствие условию $-1 \le t \le 1$:
$t_1 = -1/2$ удовлетворяет условию.
$t_2 = 3$ не удовлетворяет условию, поэтому это посторонний корень.
Вернемся к исходной переменной: $\cos x = -1/2$.
Решение этого простейшего тригонометрического уравнения:
$x = \pm \arccos(-\frac{1}{2}) + 2\pi k, k \in \mathbb{Z}$.
$x = \pm (\pi - \arccos(\frac{1}{2})) + 2\pi k, k \in \mathbb{Z}$.
$x = \pm (\pi - \frac{\pi}{3}) + 2\pi k, k \in \mathbb{Z}$.
$x = \pm \frac{2\pi}{3} + 2\pi k, k \in \mathbb{Z}$.
Ответ: $x = \pm \frac{2\pi}{3} + 2\pi k, k \in \mathbb{Z}$.

б) Исходное уравнение: $5\cos^2 x + 2\sin^2 x = 0,5\sin 2x + 3$.
Используем тригонометрические тождества: $\sin^2 x = 1 - \cos^2 x$, $\sin 2x = 2\sin x \cos x$ и $1 = \sin^2 x + \cos^2 x$.
$5\cos^2 x + 2(1 - \cos^2 x) = 0,5(2\sin x \cos x) + 3$.
$5\cos^2 x + 2 - 2\cos^2 x = \sin x \cos x + 3$.
$3\cos^2 x + 2 = \sin x \cos x + 3$.
$3\cos^2 x - \sin x \cos x - 1 = 0$.
Заменим 1 на $\sin^2 x + \cos^2 x$:
$3\cos^2 x - \sin x \cos x - (\sin^2 x + \cos^2 x) = 0$.
$2\cos^2 x - \sin x \cos x - \sin^2 x = 0$.
Это однородное тригонометрическое уравнение второй степени. Разделим обе части на $\cos^2 x \neq 0$ (случай $\cos x = 0$ не является решением, так как тогда и $\sin x = 0$, что невозможно).
$2 - \tan x - \tan^2 x = 0$.
$\tan^2 x + \tan x - 2 = 0$.
Сделаем замену $t = \tan x$: $t^2 + t - 2 = 0$.
По теореме Виета, корни $t_1 = 1$, $t_2 = -2$.
Возвращаемся к переменной $x$:
1) $\tan x = 1 \implies x = \frac{\pi}{4} + \pi k, k \in \mathbb{Z}$.
2) $\tan x = -2 \implies x = \arctan(-2) + \pi n = -\arctan 2 + \pi n, n \in \mathbb{Z}$.
Ответ: $x = \frac{\pi}{4} + \pi k, k \in \mathbb{Z}$; $x = -\arctan 2 + \pi n, n \in \mathbb{Z}$.

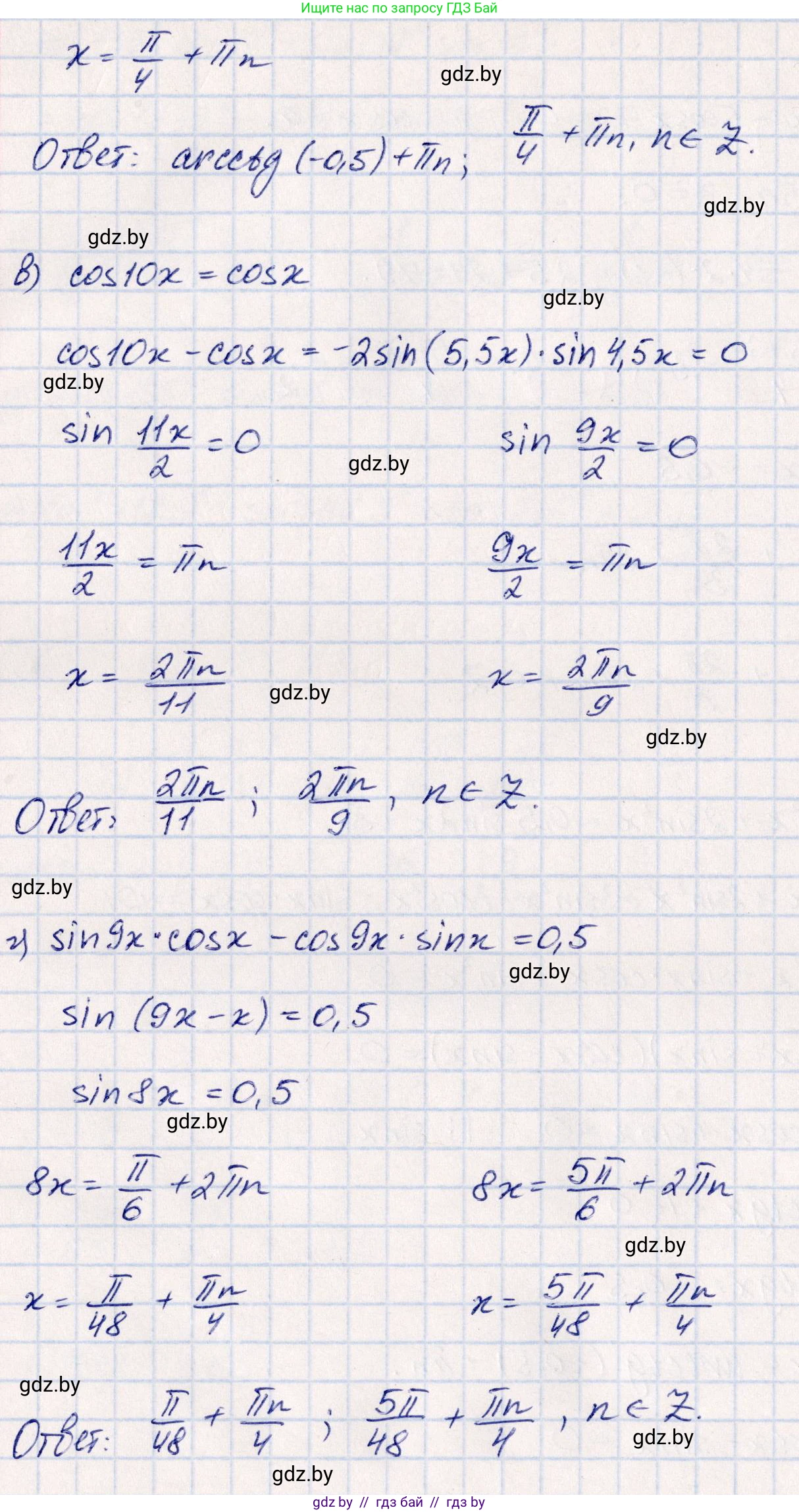
в) Исходное уравнение: $\cos 10x = \cos x$.
Перенесем все в левую часть: $\cos 10x - \cos x = 0$.
Используем формулу разности косинусов: $\cos \alpha - \cos \beta = -2\sin\frac{\alpha+\beta}{2}\sin\frac{\alpha-\beta}{2}$.
$-2\sin\frac{10x+x}{2}\sin\frac{10x-x}{2} = 0$.
$\sin\frac{11x}{2}\sin\frac{9x}{2} = 0$.
Произведение равно нулю, когда хотя бы один из множителей равен нулю:
1) $\sin\frac{11x}{2} = 0 \implies \frac{11x}{2} = \pi n \implies x = \frac{2\pi n}{11}, n \in \mathbb{Z}$.
2) $\sin\frac{9x}{2} = 0 \implies \frac{9x}{2} = \pi m \implies x = \frac{2\pi m}{9}, m \in \mathbb{Z}$.
Ответ: $x = \frac{2\pi n}{11}, n \in \mathbb{Z}$; $x = \frac{2\pi m}{9}, m \in \mathbb{Z}$.

г) Исходное уравнение: $\sin 9x \cos x - \cos 9x \sin x = 0,5$.
Левая часть уравнения является формулой синуса разности: $\sin(\alpha - \beta) = \sin\alpha\cos\beta - \cos\alpha\sin\beta$.
Применяем формулу: $\sin(9x - x) = 0,5$.
$\sin(8x) = \frac{1}{2}$.
Это простейшее тригонометрическое уравнение. Его решение:
$8x = (-1)^k \arcsin(\frac{1}{2}) + \pi k, k \in \mathbb{Z}$.
$8x = (-1)^k \frac{\pi}{6} + \pi k, k \in \mathbb{Z}$.
$x = \frac{(-1)^k}{8} \frac{\pi}{6} + \frac{\pi k}{8}, k \in \mathbb{Z}$.
$x = (-1)^k \frac{\pi}{48} + \frac{\pi k}{8}, k \in \mathbb{Z}$.
Ответ: $x = (-1)^k \frac{\pi}{48} + \frac{\pi k}{8}, k \in \mathbb{Z}$.

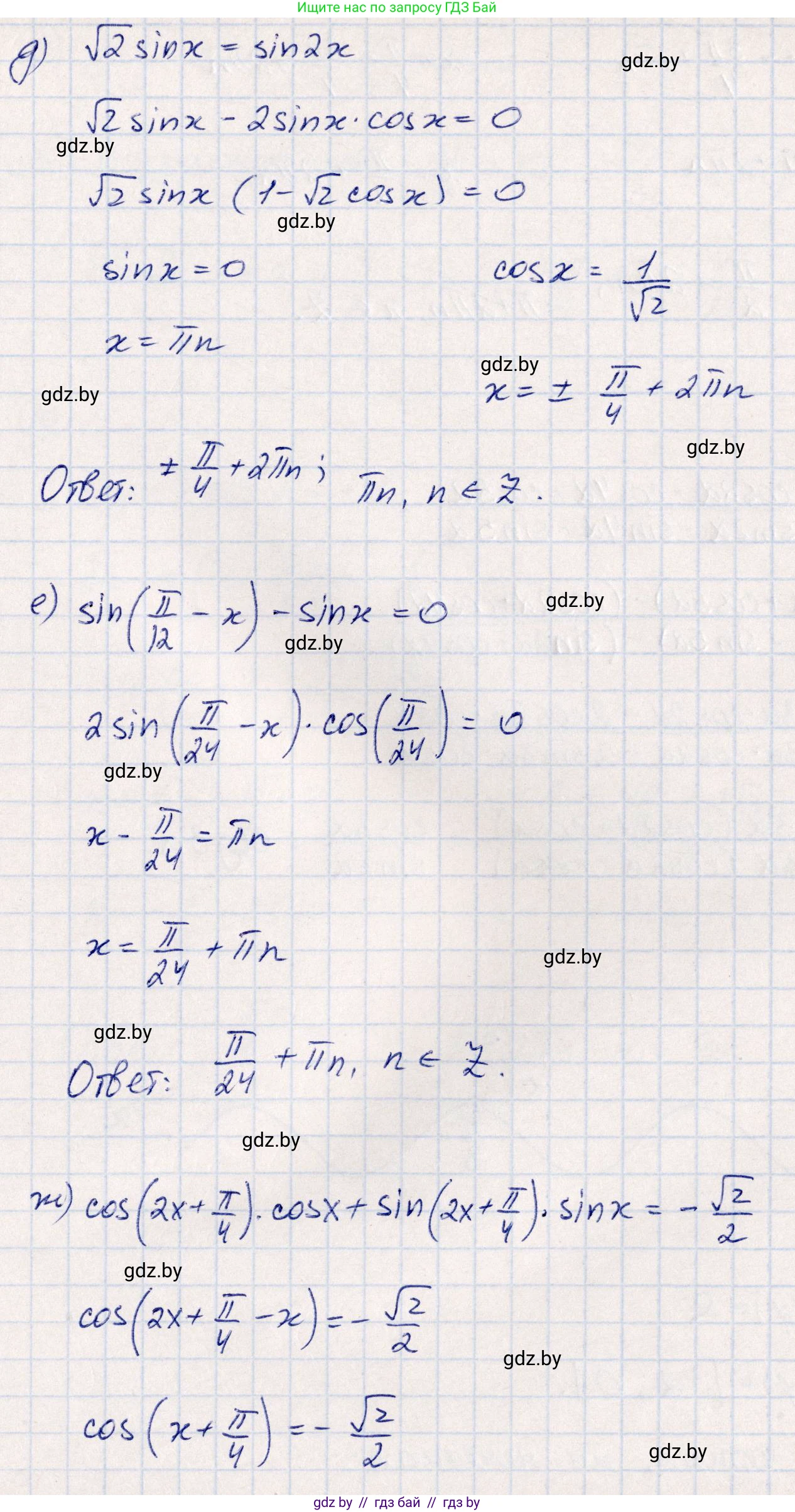
д) Исходное уравнение: $\sqrt{2} \sin x = \sin 2x$.
Используем формулу синуса двойного угла: $\sin 2x = 2\sin x \cos x$.
$\sqrt{2} \sin x = 2\sin x \cos x$.
Перенесем все в одну сторону и вынесем общий множитель за скобки:
$2\sin x \cos x - \sqrt{2} \sin x = 0$.
$\sin x (2\cos x - \sqrt{2}) = 0$.
Произведение равно нулю, когда один из множителей равен нулю:
1) $\sin x = 0 \implies x = \pi k, k \in \mathbb{Z}$.
2) $2\cos x - \sqrt{2} = 0 \implies 2\cos x = \sqrt{2} \implies \cos x = \frac{\sqrt{2}}{2}$.
$x = \pm \frac{\pi}{4} + 2\pi n, n \in \mathbb{Z}$.
Ответ: $x = \pi k, k \in \mathbb{Z}$; $x = \pm \frac{\pi}{4} + 2\pi n, n \in \mathbb{Z}$.

е) Исходное уравнение: $\sin(\frac{\pi}{12} - x) - \sin x = 0$.
Используем формулу разности синусов: $\sin\alpha - \sin\beta = 2\sin\frac{\alpha-\beta}{2}\cos\frac{\alpha+\beta}{2}$.
$2\sin\frac{(\frac{\pi}{12} - x) - x}{2}\cos\frac{(\frac{\pi}{12} - x) + x}{2} = 0$.
$2\sin(\frac{\frac{\pi}{12} - 2x}{2})\cos(\frac{\pi}{24}) = 0$.
$2\sin(\frac{\pi}{24} - x)\cos(\frac{\pi}{24}) = 0$.
Так как $\cos(\frac{\pi}{24}) \neq 0$, то равенство возможно только если:
$\sin(\frac{\pi}{24} - x) = 0$.
$\frac{\pi}{24} - x = \pi k, k \in \mathbb{Z}$.
$x = \frac{\pi}{24} - \pi k, k \in \mathbb{Z}$.
(Заметим, что это эквивалентно $x = \frac{\pi}{24} + \pi n, n \in \mathbb{Z}$)
Ответ: $x = \frac{\pi}{24} + \pi k, k \in \mathbb{Z}$.

ж) Исходное уравнение: $\cos(2x + \frac{\pi}{4})\cos x + \sin(2x + \frac{\pi}{4})\sin x = -\frac{\sqrt{2}}{2}$.
Левая часть уравнения является формулой косинуса разности: $\cos(\alpha - \beta) = \cos\alpha\cos\beta + \sin\alpha\sin\beta$.
Применяем формулу для $\alpha = 2x + \frac{\pi}{4}$ и $\beta = x$:
$\cos((2x + \frac{\pi}{4}) - x) = -\frac{\sqrt{2}}{2}$.
$\cos(x + \frac{\pi}{4}) = -\frac{\sqrt{2}}{2}$.
Решаем простейшее тригонометрическое уравнение:
$x + \frac{\pi}{4} = \pm \arccos(-\frac{\sqrt{2}}{2}) + 2\pi k, k \in \mathbb{Z}$.
$x + \frac{\pi}{4} = \pm (\pi - \frac{\pi}{4}) + 2\pi k, k \in \mathbb{Z}$.
$x + \frac{\pi}{4} = \pm \frac{3\pi}{4} + 2\pi k, k \in \mathbb{Z}$.
Рассмотрим два случая:
1) $x + \frac{\pi}{4} = \frac{3\pi}{4} + 2\pi k \implies x = \frac{3\pi}{4} - \frac{\pi}{4} + 2\pi k = \frac{2\pi}{4} + 2\pi k = \frac{\pi}{2} + 2\pi k, k \in \mathbb{Z}$.
2) $x + \frac{\pi}{4} = -\frac{3\pi}{4} + 2\pi k \implies x = -\frac{3\pi}{4} - \frac{\pi}{4} + 2\pi k = -\frac{4\pi}{4} + 2\pi k = -\pi + 2\pi k, k \in \mathbb{Z}$.
Ответ: $x = \frac{\pi}{2} + 2\pi k, k \in \mathbb{Z}$; $x = -\pi + 2\pi k, k \in \mathbb{Z}$.

Помогло решение? Оставьте отзыв в комментариях ниже.

Присоединяйтесь к Телеграм-группе @gdz_by_belarus

Присоединиться

Мы подготовили для вас ответ c подробным объяснением домашего задания по алгебре за 10 класс, для упражнения номер 7 расположенного на странице 159 к учебнику 2019 года издания для учащихся школ и гимназий.

Теперь на нашем сайте ГДЗ.ТОП вы всегда легко и бесплатно найдёте условие с правильным ответом на вопрос «Как решить ДЗ» и «Как сделать» задание по алгебре к упражнению №7 (с. 159), авторов: Арефьева (Ирина Глебовна), Пирютко (Ольга Николаевна), учебного пособия издательства Народная асвета.