Номер 187, страница 80 - гдз по геометрии 10 класс учебник Латотин, Чеботаревский

Геометрия, 10 класс Учебник, авторы: Латотин Леонид Александрович, Чеботаревский Борис Дмитриевич, Горбунова Ирина Владимировна, издательство Адукацыя i выхаванне, Минск, 2020, белого цвета

Авторы: Латотин Л. А., Чеботаревский Б. Д., Горбунова И. В.

Тип: Учебник

Издательство: Адукацыя i выхаванне

Год издания: 2020 - 2025

Уровень обучения: базовый и повышенный

Цвет обложки: белый в клеточку

Допущено Министерством образования Республики Беларусь

Популярные ГДЗ в 10 классе

Раздел 2. Параллельность прямых и плоскостей. Параграф 6. Взаимное расположение плоскостей в пространстве. Задания - номер 187, страница 80.

№187 (с. 80)
Условие. №187 (с. 80)
скриншот условия
Геометрия, 10 класс Учебник, авторы: Латотин Леонид Александрович, Чеботаревский Борис Дмитриевич, Горбунова Ирина Владимировна, издательство Адукацыя i выхаванне, Минск, 2020, белого цвета, страница 80, номер 187, Условие Геометрия, 10 класс Учебник, авторы: Латотин Леонид Александрович, Чеботаревский Борис Дмитриевич, Горбунова Ирина Владимировна, издательство Адукацыя i выхаванне, Минск, 2020, белого цвета, страница 80, номер 187, Условие (продолжение 2)

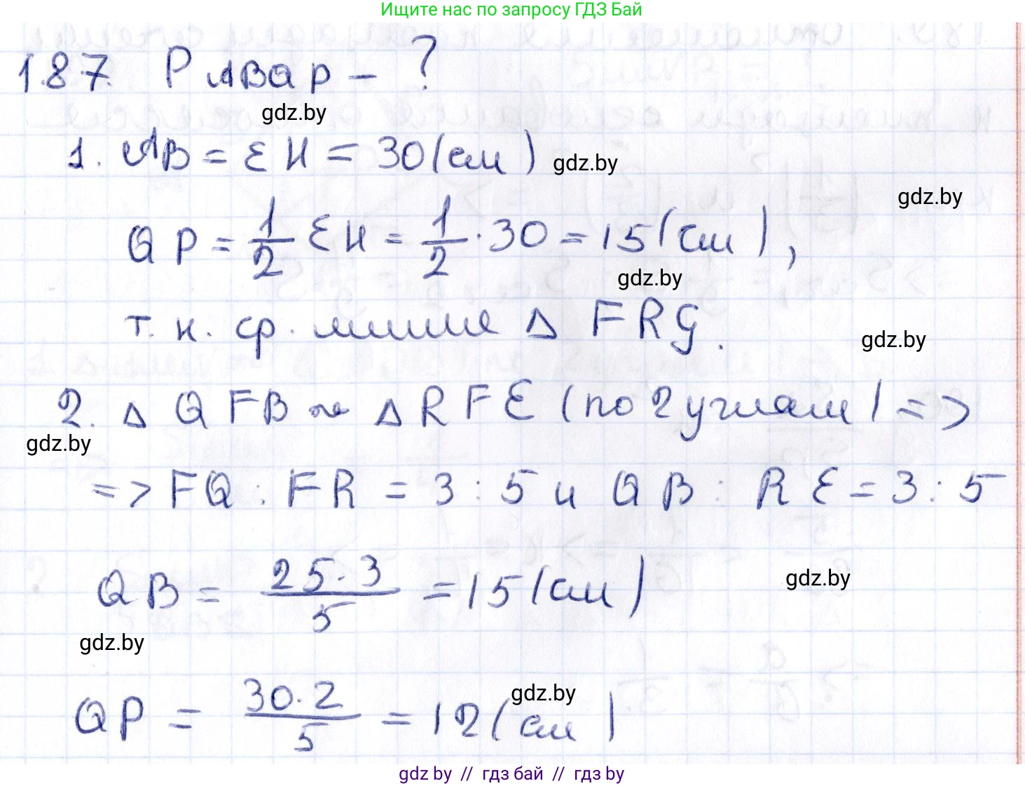
187. Плоскость, которая параллельна плоскости $RHE$ и проходит через такую точку $Q$ ребра $RF$ правильной четырёхугольной пирамиды $REFGH$, что $FQ : QR = 3 : 2$, пересекает пирамиду по четырёхугольнику $QPAB$ (рис. 206). Найдите периметр сечения, учитывая, что $EH = 30$ см, $ER = 25$ см.

Рис. 207

Рис. 206

Решение 1. №187 (с. 80)
Геометрия, 10 класс Учебник, авторы: Латотин Леонид Александрович, Чеботаревский Борис Дмитриевич, Горбунова Ирина Владимировна, издательство Адукацыя i выхаванне, Минск, 2020, белого цвета, страница 80, номер 187, Решение 1 Геометрия, 10 класс Учебник, авторы: Латотин Леонид Александрович, Чеботаревский Борис Дмитриевич, Горбунова Ирина Владимировна, издательство Адукацыя i выхаванне, Минск, 2020, белого цвета, страница 80, номер 187, Решение 1 (продолжение 2) Геометрия, 10 класс Учебник, авторы: Латотин Леонид Александрович, Чеботаревский Борис Дмитриевич, Горбунова Ирина Владимировна, издательство Адукацыя i выхаванне, Минск, 2020, белого цвета, страница 80, номер 187, Решение 1 (продолжение 3)
Решение 2. №187 (с. 80)
Геометрия, 10 класс Учебник, авторы: Латотин Леонид Александрович, Чеботаревский Борис Дмитриевич, Горбунова Ирина Владимировна, издательство Адукацыя i выхаванне, Минск, 2020, белого цвета, страница 80, номер 187, Решение 2 Геометрия, 10 класс Учебник, авторы: Латотин Леонид Александрович, Чеботаревский Борис Дмитриевич, Горбунова Ирина Владимировна, издательство Адукацыя i выхаванне, Минск, 2020, белого цвета, страница 80, номер 187, Решение 2 (продолжение 2)
Решение 3. №187 (с. 80)

По условию задачи, нам дана правильная четырехугольная пирамида `REFGH`, что означает, что в ее основании лежит квадрат `EFGH`, а вершина `R` проецируется в центр этого квадрата. Все боковые ребра пирамиды равны, т.е. `RE = RF = RG = RH = 25` см. Сторона основания `EH = 30` см, следовательно, `EF = FG = GH = HE = 30` см.

Секущая плоскость `\alpha` проходит через точку `Q` на ребре `RF` и параллельна плоскости грани `(RHE)`. Нам нужно найти периметр сечения, которое, как указано, является четырехугольником `QPAB`.

Используем свойство параллельных плоскостей: если плоскость `\alpha` параллельна плоскости `(RHE)`, то линии пересечения плоскости `\alpha` с гранями пирамиды будут параллельны соответствующим линиям, лежащим в плоскости `(RHE)`.

Определим вершины сечения:

  • Точка `Q` лежит на ребре `RF` по условию.
  • Плоскость `\alpha` пересекает грань `(RFE)`. Плоскость грани `(RFE)` пересекается с плоскостью `(RHE)` по прямой `RE`. Следовательно, линия пересечения плоскости `\alpha` с гранью `(RFE)` будет параллельна `RE`. Обозначим эту линию `QB`, где `B` - точка на стороне основания `FE`. Таким образом, `QB \parallel RE`.
  • Плоскость `\alpha` пересекает плоскость основания `(EFGH)`. Плоскость основания `(EFGH)` пересекается с плоскостью `(RHE)` по прямой `HE`. Следовательно, линия пересечения `\alpha` с основанием будет параллельна `HE`. Обозначим эту линию `BA`, где `A` - точка на стороне основания `GH` (это следует из расположения точки B на `FE`). Таким образом, `BA \parallel HE`.
  • Плоскость `\alpha` пересекает грань `(RGH)`. Плоскость грани `(RGH)` пересекается с плоскостью `(RHE)` по прямой `RH`. Следовательно, линия пересечения `\alpha` с гранью `(RGH)` будет параллельна `RH`. Обозначим эту линию `AP`, где `P` - точка на ребре `RG`. Таким образом, `AP \parallel RH`.
  • Линия `PQ` замыкает сечение, соединяя точки на ребрах `RG` и `RF`.

Таким образом, сечение представляет собой четырехугольник `QBAP`. Найдем длины его сторон.

1. Найдем длину стороны QB

Так как `QB \parallel RE`, треугольник `\triangle FQB` подобен треугольнику `\triangle FRE`. Коэффициент подобия `k` равен отношению `FQ/FR`. Из условия `FQ : QR = 3 : 2`, мы можем записать `FQ = 3x` и `QR = 2x`. Тогда `FR = FQ + QR = 3x + 2x = 5x`. Коэффициент подобия `k = \frac{FQ}{FR} = \frac{3x}{5x} = \frac{3}{5}`. Следовательно, `\frac{QB}{RE} = \frac{3}{5}`. Зная, что `RE = 25` см, находим `QB`:`QB = \frac{3}{5} \cdot RE = \frac{3}{5} \cdot 25 = 15` см.

2. Найдем длину стороны BA

Поскольку `BA \parallel HE` и точки `B` и `A` лежат на параллельных сторонах квадрата `FE` и `GH` соответственно, то отрезок `BA` перпендикулярен этим сторонам (так как `HE` перпендикулярен им). Длина такого отрезка равна расстоянию между прямыми `FE` и `GH`, что равно длине стороны квадрата `EH`.`BA = EH = 30` см.

3. Найдем длину стороны AP

Так как `AP \parallel RH`, треугольник `\triangle GAP` подобен треугольнику `\triangle GRH`. Коэффициент подобия равен `GA/GH`. Найдем положение точки `A` на стороне `GH`. Из подобия `\triangle FQB` и `\triangle FRE` следует, что `\frac{FB}{FE} = \frac{FQ}{FR} = \frac{3}{5}`.`FB = \frac{3}{5} \cdot FE = \frac{3}{5} \cdot 30 = 18` см. Поскольку `BA \parallel HE` и `EFGH` - квадрат, положение точки `A` на `GH` аналогично положению точки `B` на `FE`. То есть `GA = FB = 18` см. Тогда коэффициент подобия `\frac{GA}{GH} = \frac{18}{30} = \frac{3}{5}`. Следовательно, `\frac{AP}{RH} = \frac{3}{5}`. Зная, что `RH = 25` см, находим `AP`:`AP = \frac{3}{5} \cdot RH = \frac{3}{5} \cdot 25 = 15` см.

4. Найдем длину стороны PQ

Рассмотрим грань `(RFG)`. Мы знаем, что `\frac{FQ}{FR} = \frac{3}{5}`, откуда `\frac{RQ}{RF} = \frac{2}{5}`. Из подобия `\triangle GAP` и `\triangle GRH` мы получили `\frac{GA}{GH} = \frac{3}{5}`, откуда `\frac{AP}{RH} = \frac{3}{5}` и `\frac{GP}{GR} = \frac{GA}{GH} = \frac{3}{5}`. Тогда `\frac{RP}{RG} = 1 - \frac{GP}{GR} = 1 - \frac{3}{5} = \frac{2}{5}`. Поскольку `\frac{RQ}{RF} = \frac{RP}{RG} = \frac{2}{5}`, по теореме, обратной теореме Фалеса, `PQ \parallel FG` и `\triangle RQP \sim \triangle RFG` с коэффициентом `\frac{2}{5}`. Следовательно, `\frac{PQ}{FG} = \frac{2}{5}`. Зная, что `FG = 30` см, находим `PQ`:`PQ = \frac{2}{5} \cdot FG = \frac{2}{5} \cdot 30 = 12` см.

5. Найдем периметр сечения

Периметр четырехугольника `QBAP` равен сумме длин его сторон:`P_{QBAP} = QB + BA + AP + PQ``P_{QBAP} = 15 + 30 + 15 + 12 = 72` см.

Ответ: Периметр сечения равен 72 см.

Помогло решение? Оставьте отзыв в комментариях ниже.

Присоединяйтесь к Телеграм-группе @gdz_by_belarus

Присоединиться

Мы подготовили для вас ответ c подробным объяснением домашего задания по геометрии за 10 класс, для упражнения номер 187 расположенного на странице 80 к учебнику 2020 года издания для учащихся школ и гимназий.

Теперь на нашем сайте ГДЗ.ТОП вы всегда легко и бесплатно найдёте условие с правильным ответом на вопрос «Как решить ДЗ» и «Как сделать» задание по геометрии к упражнению №187 (с. 80), авторов: Латотин (Леонид Александрович), Чеботаревский (Борис Дмитриевич), Горбунова (Ирина Владимировна), базовый и повышенный уровень обучения учебного пособия издательства Адукацыя i выхаванне.