Номер 294, страница 116 - гдз по геометрии 10 класс учебник Латотин, Чеботаревский

Геометрия, 10 класс Учебник, авторы: Латотин Леонид Александрович, Чеботаревский Борис Дмитриевич, Горбунова Ирина Владимировна, издательство Адукацыя i выхаванне, Минск, 2020, белого цвета

Авторы: Латотин Л. А., Чеботаревский Б. Д., Горбунова И. В.

Тип: Учебник

Издательство: Адукацыя i выхаванне

Год издания: 2020 - 2025

Уровень обучения: базовый и повышенный

Цвет обложки: белый в клеточку

Допущено Министерством образования Республики Беларусь

Популярные ГДЗ в 10 классе

Раздел 3. Перпендикулярность прямых и плоскостей. Параграф 9. Угол между прямой и плоскостью. Задания - номер 294, страница 116.

№294 (с. 116)
Условие. №294 (с. 116)
скриншот условия
Геометрия, 10 класс Учебник, авторы: Латотин Леонид Александрович, Чеботаревский Борис Дмитриевич, Горбунова Ирина Владимировна, издательство Адукацыя i выхаванне, Минск, 2020, белого цвета, страница 116, номер 294, Условие

294. Вершина правильной четырёхугольной пирамиды отстоит от плоскости основания на $h$, а её боковые рёбра образуют с плоскостью основания углы в $60^\circ$. Найдите боковую поверхность пирамиды.

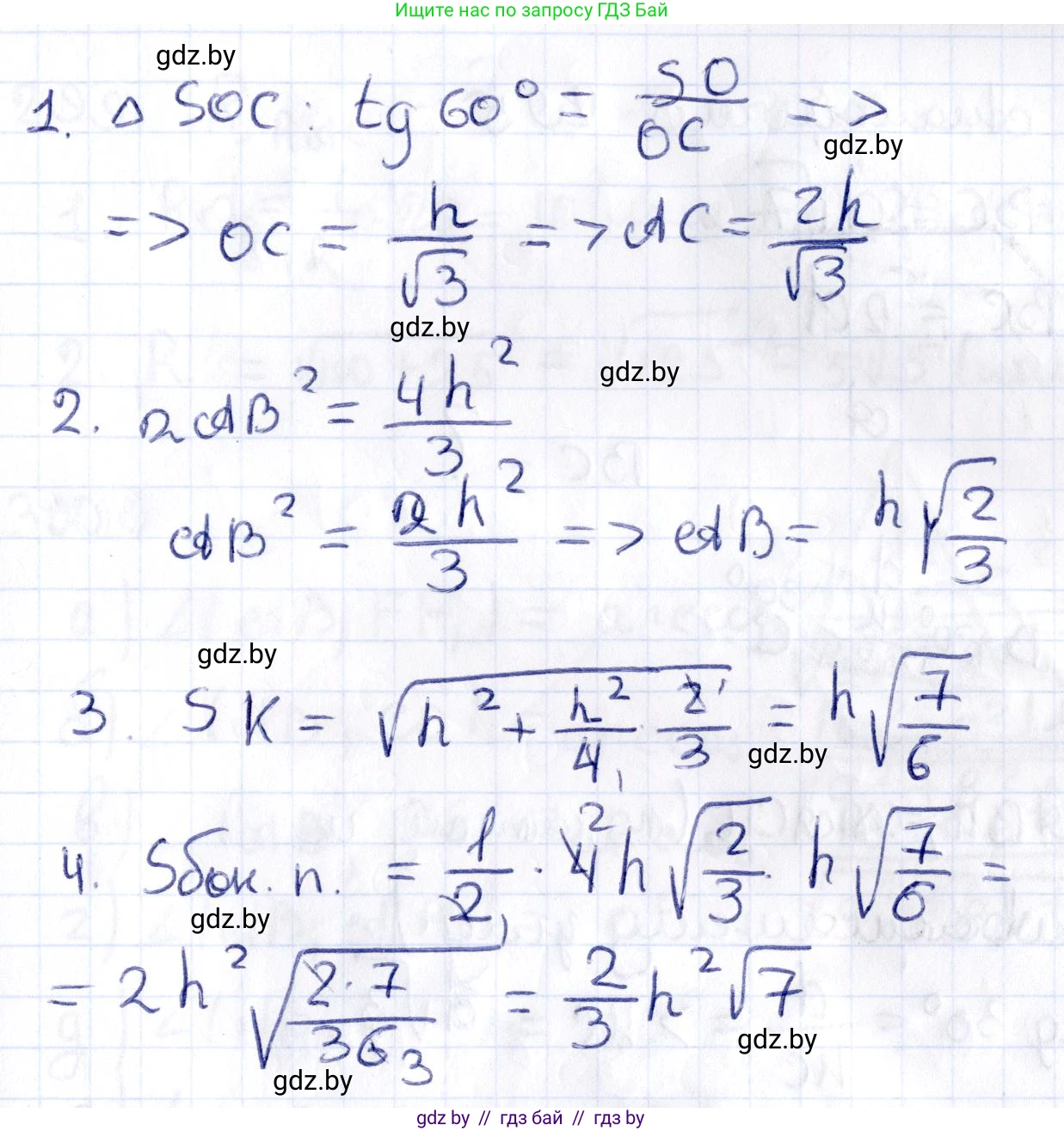
Решение 2. №294 (с. 116)
Геометрия, 10 класс Учебник, авторы: Латотин Леонид Александрович, Чеботаревский Борис Дмитриевич, Горбунова Ирина Владимировна, издательство Адукацыя i выхаванне, Минск, 2020, белого цвета, страница 116, номер 294, Решение 2 Геометрия, 10 класс Учебник, авторы: Латотин Леонид Александрович, Чеботаревский Борис Дмитриевич, Горбунова Ирина Владимировна, издательство Адукацыя i выхаванне, Минск, 2020, белого цвета, страница 116, номер 294, Решение 2 (продолжение 2)
Решение 3. №294 (с. 116)

Пусть дана правильная четырёхугольная пирамида `SABCD`, где `S` — вершина, а `ABCD` — квадрат в основании. Высота пирамиды `SO` (где `O` — центр квадрата) по условию равна `h`.

Боковые рёбра, например `SA`, образуют с плоскостью основания угол в `60^\circ`. Этот угол равен углу между самим ребром и его проекцией на плоскость основания. Проекцией ребра `SA` на плоскость `(ABC)` является отрезок `AO`. Следовательно, `\angle SAO = 60^\circ`.

Площадь боковой поверхности `S_{бок}` правильной пирамиды вычисляется по формуле `S_{бок} = \frac{1}{2} P \cdot l`, где `P` — периметр основания, а `l` — апофема (высота боковой грани). Для решения задачи нам необходимо найти сторону основания и апофему.

1. Нахождение стороны основания (a)

Рассмотрим прямоугольный треугольник `\triangle SAO`. Мы знаем катет `SO = h` и угол `\angle SAO = 60^\circ`. Найдём катет `AO`: `\tan(\angle SAO) = \frac{SO}{AO}` `\tan(60^\circ) = \frac{h}{AO}` Так как `\tan(60^\circ) = \sqrt{3}`, то: `\sqrt{3} = \frac{h}{AO} \Rightarrow AO = \frac{h}{\sqrt{3}}`

`AO` является половиной диагонали `AC` квадрата `ABCD`. Значит, `AC = 2 \cdot AO = \frac{2h}{\sqrt{3}}`. Диагональ квадрата `d` связана с его стороной `a` формулой `d = a\sqrt{2}`. `a\sqrt{2} = \frac{2h}{\sqrt{3}}` Отсюда выражаем `a`: `a = \frac{2h}{\sqrt{3} \cdot \sqrt{2}} = \frac{2h}{\sqrt{6}} = \frac{2h\sqrt{6}}{6} = \frac{h\sqrt{6}}{3}`

2. Нахождение апофемы (l)

Апофема `l` — это высота боковой грани, проведённая из вершины пирамиды `S` к стороне основания. Пусть `SK` — апофема, проведённая к стороне `AB`. Рассмотрим прямоугольный треугольник `\triangle SOK`. Катет `SO = h`. Катет `OK` — это расстояние от центра квадрата до его стороны, он равен половине стороны основания: `OK = \frac{a}{2}`. `OK = \frac{1}{2} \cdot \frac{h\sqrt{6}}{3} = \frac{h\sqrt{6}}{6}`. По теореме Пифагора в `\triangle SOK`: `l^2 = SK^2 = SO^2 + OK^2` `l^2 = h^2 + \left(\frac{h\sqrt{6}}{6}\right)^2 = h^2 + \frac{6h^2}{36} = h^2 + \frac{h^2}{6} = \frac{6h^2 + h^2}{6} = \frac{7h^2}{6}` `l = \sqrt{\frac{7h^2}{6}} = \frac{h\sqrt{7}}{\sqrt{6}} = \frac{h\sqrt{42}}{6}`

3. Вычисление площади боковой поверхности

Периметр основания `P` равен `4a`: `P = 4 \cdot \frac{h\sqrt{6}}{3} = \frac{4h\sqrt{6}}{3}`. Теперь можем вычислить площадь боковой поверхности: `S_{бок} = \frac{1}{2} P \cdot l = \frac{1}{2} \cdot \frac{4h\sqrt{6}}{3} \cdot \frac{h\sqrt{42}}{6}` `S_{бок} = \frac{2h\sqrt{6}}{3} \cdot \frac{h\sqrt{42}}{6} = \frac{2h^2\sqrt{6 \cdot 42}}{18} = \frac{h^2\sqrt{252}}{9}` Упростим выражение под корнем: `\sqrt{252} = \sqrt{36 \cdot 7} = 6\sqrt{7}`. `S_{бок} = \frac{h^2 \cdot 6\sqrt{7}}{9} = \frac{2h^2\sqrt{7}}{3}`

Ответ: `\frac{2h^2\sqrt{7}}{3}`

Помогло решение? Оставьте отзыв в комментариях ниже.

Присоединяйтесь к Телеграм-группе @gdz_by_belarus

Присоединиться

Мы подготовили для вас ответ c подробным объяснением домашего задания по геометрии за 10 класс, для упражнения номер 294 расположенного на странице 116 к учебнику 2020 года издания для учащихся школ и гимназий.

Теперь на нашем сайте ГДЗ.ТОП вы всегда легко и бесплатно найдёте условие с правильным ответом на вопрос «Как решить ДЗ» и «Как сделать» задание по геометрии к упражнению №294 (с. 116), авторов: Латотин (Леонид Александрович), Чеботаревский (Борис Дмитриевич), Горбунова (Ирина Владимировна), базовый и повышенный уровень обучения учебного пособия издательства Адукацыя i выхаванне.