Номер 8, страница 16 - гдз по геометрии 10 класс учебник Латотин, Чеботаревский

Геометрия, 10 класс Учебник, авторы: Латотин Леонид Александрович, Чеботаревский Борис Дмитриевич, Горбунова Ирина Владимировна, издательство Адукацыя i выхаванне, Минск, 2020, белого цвета

Авторы: Латотин Л. А., Чеботаревский Б. Д., Горбунова И. В.

Тип: Учебник

Издательство: Адукацыя i выхаванне

Год издания: 2020 - 2025

Уровень обучения: базовый и повышенный

Цвет обложки: белый в клеточку

Допущено Министерством образования Республики Беларусь

Популярные ГДЗ в 10 классе

Раздел 1. Введение в стериометрию. Параграф 1. Пространственные фигуры. Задания - номер 8, страница 16.

№8 (с. 16)
Условие. №8 (с. 16)
скриншот условия
Геометрия, 10 класс Учебник, авторы: Латотин Леонид Александрович, Чеботаревский Борис Дмитриевич, Горбунова Ирина Владимировна, издательство Адукацыя i выхаванне, Минск, 2020, белого цвета, страница 16, номер 8, Условие

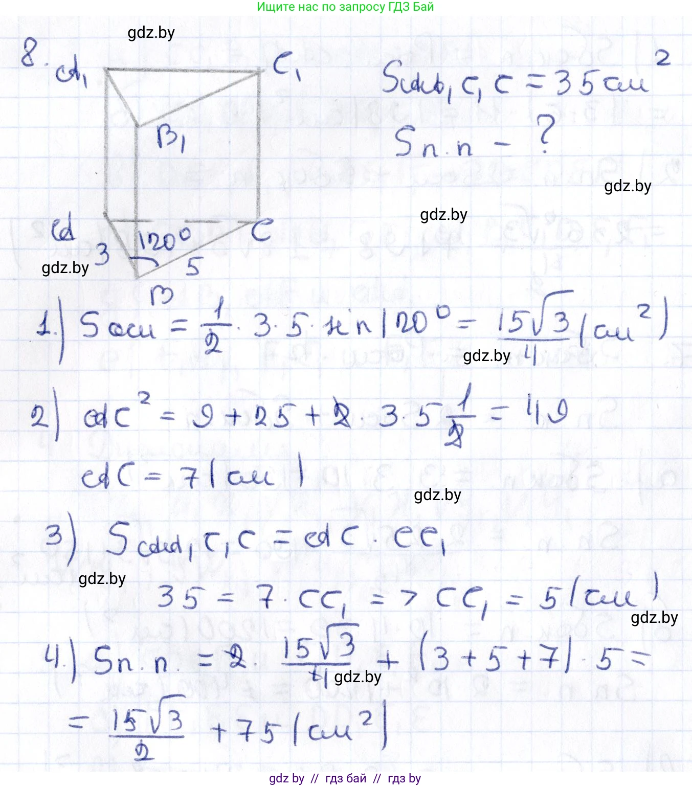
8. Основанием прямой призмы является треугольник со сторонами 3 см и 5 см и углом между ними в 120°, а наибольшая из площадей боковых граней равна $35\text{ см}^2$. Найдите полную поверхность призмы.

Решение 1. №8 (с. 16)
Геометрия, 10 класс Учебник, авторы: Латотин Леонид Александрович, Чеботаревский Борис Дмитриевич, Горбунова Ирина Владимировна, издательство Адукацыя i выхаванне, Минск, 2020, белого цвета, страница 16, номер 8, Решение 1 Геометрия, 10 класс Учебник, авторы: Латотин Леонид Александрович, Чеботаревский Борис Дмитриевич, Горбунова Ирина Владимировна, издательство Адукацыя i выхаванне, Минск, 2020, белого цвета, страница 16, номер 8, Решение 1 (продолжение 2)
Решение 2. №8 (с. 16)
Геометрия, 10 класс Учебник, авторы: Латотин Леонид Александрович, Чеботаревский Борис Дмитриевич, Горбунова Ирина Владимировна, издательство Адукацыя i выхаванне, Минск, 2020, белого цвета, страница 16, номер 8, Решение 2
Решение 3. №8 (с. 16)

Для нахождения полной поверхности призмы $S_{полн}$ необходимо найти площадь двух оснований ($2S_{осн}$) и площадь боковой поверхности ($S_{бок}$). Формула для вычисления полной поверхности призмы:

$S_{полн} = 2S_{осн} + S_{бок}$

1. Нахождение третьей стороны и площади основания

Основанием призмы является треугольник, у которого даны две стороны $a = 3$ см, $b = 5$ см и угол между ними $\gamma = 120^\circ$. Найдем третью сторону треугольника, обозначим ее $c$, используя теорему косинусов:

$c^2 = a^2 + b^2 - 2ab \cos(\gamma)$

Подставим известные значения:

$c^2 = 3^2 + 5^2 - 2 \cdot 3 \cdot 5 \cdot \cos(120^\circ)$

Зная, что $\cos(120^\circ) = -\frac{1}{2}$, получаем:

$c^2 = 9 + 25 - 30 \cdot (-\frac{1}{2}) = 34 + 15 = 49$

Следовательно, $c = \sqrt{49} = 7$ см.

Теперь, зная две стороны и угол между ними, вычислим площадь основания ($S_{осн}$):

$S_{осн} = \frac{1}{2}ab \sin(\gamma)$

Зная, что $\sin(120^\circ) = \frac{\sqrt{3}}{2}$, получаем:

$S_{осн} = \frac{1}{2} \cdot 3 \cdot 5 \cdot \frac{\sqrt{3}}{2} = \frac{15\sqrt{3}}{4}$ см².

2. Нахождение высоты и площади боковой поверхности

Так как призма прямая, ее боковые грани являются прямоугольниками. Площадь каждой боковой грани равна произведению соответствующей стороны основания на высоту призмы $h$. Наибольшая из площадей боковых граней соответствует наибольшей стороне основания. В нашем случае наибольшая сторона — это $c = 7$ см. По условию задачи, площадь этой грани равна 35 см².

$S_{бок.наиб} = c \cdot h = 35$

$7 \cdot h = 35$

$h = \frac{35}{7} = 5$ см.

Площадь всей боковой поверхности ($S_{бок}$) равна произведению периметра основания $P$ на высоту призмы $h$.

Периметр основания: $P = a + b + c = 3 + 5 + 7 = 15$ см.

Площадь боковой поверхности: $S_{бок} = P \cdot h = 15 \cdot 5 = 75$ см².

3. Нахождение полной поверхности призмы

Теперь мы можем вычислить полную поверхность призмы, сложив площадь боковой поверхности и удвоенную площадь основания:

$S_{полн} = 2S_{осн} + S_{бок}$

$S_{полн} = 2 \cdot \frac{15\sqrt{3}}{4} + 75 = \frac{15\sqrt{3}}{2} + 75$ см².

Ответ: $75 + \frac{15\sqrt{3}}{2}$ см².

Помогло решение? Оставьте отзыв в комментариях ниже.

Присоединяйтесь к Телеграм-группе @gdz_by_belarus

Присоединиться

Мы подготовили для вас ответ c подробным объяснением домашего задания по геометрии за 10 класс, для упражнения номер 8 расположенного на странице 16 к учебнику 2020 года издания для учащихся школ и гимназий.

Теперь на нашем сайте ГДЗ.ТОП вы всегда легко и бесплатно найдёте условие с правильным ответом на вопрос «Как решить ДЗ» и «Как сделать» задание по геометрии к упражнению №8 (с. 16), авторов: Латотин (Леонид Александрович), Чеботаревский (Борис Дмитриевич), Горбунова (Ирина Владимировна), базовый и повышенный уровень обучения учебного пособия издательства Адукацыя i выхаванне.