Номер 2.137, страница 77 - гдз по алгебре 11 класс учебник Арефьева, Пирютко

Алгебра, 11 класс Учебник, авторы: Арефьева Ирина Глебовна, Пирютко Ольга Николаевна, издательство Народная асвета, Минск, 2020, бирюзового цвета

Авторы: Арефьева И. Г., Пирютко О. Н.

Тип: Учебник

Издательство: Народная асвета

Год издания: 2020 - 2025

Цвет обложки: бирюзовый, зелёный с графиком

ISBN: 978-985-03-3165-6

Популярные ГДЗ в 11 классе

Глава 2. Показательная функция. Параграф 5. Показательные уравнения - номер 2.137, страница 77.

№2.137 (с. 77)
Условие. №2.137 (с. 77)
скриншот условия
Алгебра, 11 класс Учебник, авторы: Арефьева Ирина Глебовна, Пирютко Ольга Николаевна, издательство Народная асвета, Минск, 2020, бирюзового цвета, страница 77, номер 2.137, Условие

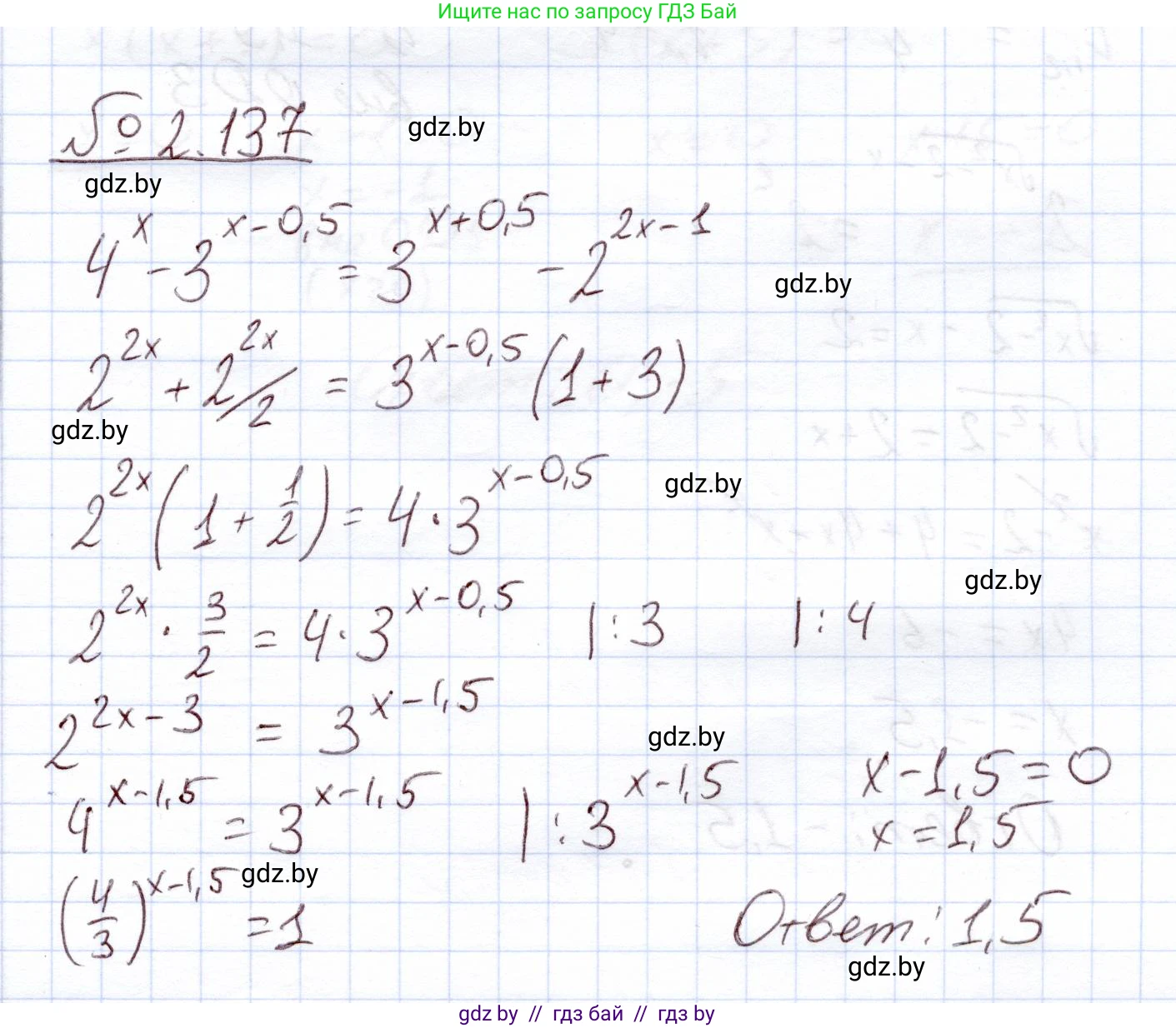
2.137. Найдите абсциссы точек пересечения графиков функций $y = 4^x - 3^{x-0.5}$ и $y = 3^{x+0.5} - 2^{2x-1}$.

Решение. №2.137 (с. 77)
Алгебра, 11 класс Учебник, авторы: Арефьева Ирина Глебовна, Пирютко Ольга Николаевна, издательство Народная асвета, Минск, 2020, бирюзового цвета, страница 77, номер 2.137, Решение
Решение 2. №2.137 (с. 77)

Чтобы найти абсциссы точек пересечения графиков функций, необходимо приравнять их правые части, так как в точках пересечения значения $y$ у функций совпадают.

Получаем уравнение:$4^x - 3^{x-0,5} = 3^{x+0,5} - 2^{2x-1}$

Заметим, что $4^x = (2^2)^x = 2^{2x}$. Подставим это в уравнение:$2^{2x} - 3^{x-0,5} = 3^{x+0,5} - 2^{2x-1}$

Сгруппируем слагаемые с одинаковыми основаниями в разных частях уравнения. Перенесем слагаемые с основанием 2 в левую часть, а с основанием 3 — в правую:$2^{2x} + 2^{2x-1} = 3^{x+0,5} + 3^{x-0,5}$

Вынесем общий множитель за скобки в каждой части уравнения. В левой части вынесем $2^{2x-1}$:$2^{2x-1} \cdot 2^1 + 2^{2x-1} \cdot 1 = 2^{2x-1}(2+1) = 3 \cdot 2^{2x-1}$

В правой части вынесем $3^{x-0,5}$:$3^{x-0,5} \cdot 3^1 + 3^{x-0,5} \cdot 1 = 3^{x-0,5}(3+1) = 4 \cdot 3^{x-0,5}$

Уравнение принимает вид:$3 \cdot 2^{2x-1} = 4 \cdot 3^{x-0,5}$

Используя свойства степеней $a^{m-n} = \frac{a^m}{a^n}$, преобразуем уравнение:$3 \cdot \frac{2^{2x}}{2^1} = 4 \cdot \frac{3^x}{3^{0,5}}$

Заменим $2^{2x}$ на $4^x$ и $3^{0,5}$ на $\sqrt{3}$:$\frac{3}{2} \cdot 4^x = \frac{4}{\sqrt{3}} \cdot 3^x$

Разделим обе части уравнения на $3^x$ (так как $3^x > 0$ для любого $x$) и на $\frac{3}{2}$:$\frac{4^x}{3^x} = \frac{4}{\sqrt{3}} \cdot \frac{2}{3}$

Применим свойство $\frac{a^m}{b^m} = (\frac{a}{b})^m$:$(\frac{4}{3})^x = \frac{8}{3\sqrt{3}}$

Представим правую часть уравнения в виде степени с основанием $\frac{4}{3}$. Заметим, что $8 = 2^3 = (4^{1/2})^3 = 4^{3/2}$, а $3\sqrt{3} = 3^1 \cdot 3^{1/2} = 3^{3/2}$. Тогда:$\frac{8}{3\sqrt{3}} = \frac{4^{3/2}}{3^{3/2}} = (\frac{4}{3})^{3/2}$

Получаем показательное уравнение:$(\frac{4}{3})^x = (\frac{4}{3})^{3/2}$

Так как основания степеней равны, то равны и их показатели:$x = \frac{3}{2} = 1,5$

Ответ: $1,5$

Помогло решение? Оставьте отзыв в комментариях ниже.

Присоединяйтесь к Телеграм-группе @gdz_by_belarus

Присоединиться

Мы подготовили для вас ответ c подробным объяснением домашего задания по алгебре за 11 класс, для упражнения номер 2.137 расположенного на странице 77 к учебнику 2020 года издания для учащихся школ и гимназий.

Теперь на нашем сайте ГДЗ.ТОП вы всегда легко и бесплатно найдёте условие с правильным ответом на вопрос «Как решить ДЗ» и «Как сделать» задание по алгебре к упражнению №2.137 (с. 77), авторов: Арефьева (Ирина Глебовна), Пирютко (Ольга Николаевна), учебного пособия издательства Народная асвета.