Номер 2.231, страница 97 - гдз по алгебре 11 класс учебник Арефьева, Пирютко

Алгебра, 11 класс Учебник, авторы: Арефьева Ирина Глебовна, Пирютко Ольга Николаевна, издательство Народная асвета, Минск, 2020, бирюзового цвета

Авторы: Арефьева И. Г., Пирютко О. Н.

Тип: Учебник

Издательство: Народная асвета

Год издания: 2020 - 2025

Цвет обложки: бирюзовый, зелёный с графиком

ISBN: 978-985-03-3165-6

Популярные ГДЗ в 11 классе

Глава 2. Показательная функция. Параграф 6. Показательные неравенства - номер 2.231, страница 97.

№2.231 (с. 97)
Условие. №2.231 (с. 97)
скриншот условия
Алгебра, 11 класс Учебник, авторы: Арефьева Ирина Глебовна, Пирютко Ольга Николаевна, издательство Народная асвета, Минск, 2020, бирюзового цвета, страница 97, номер 2.231, Условие

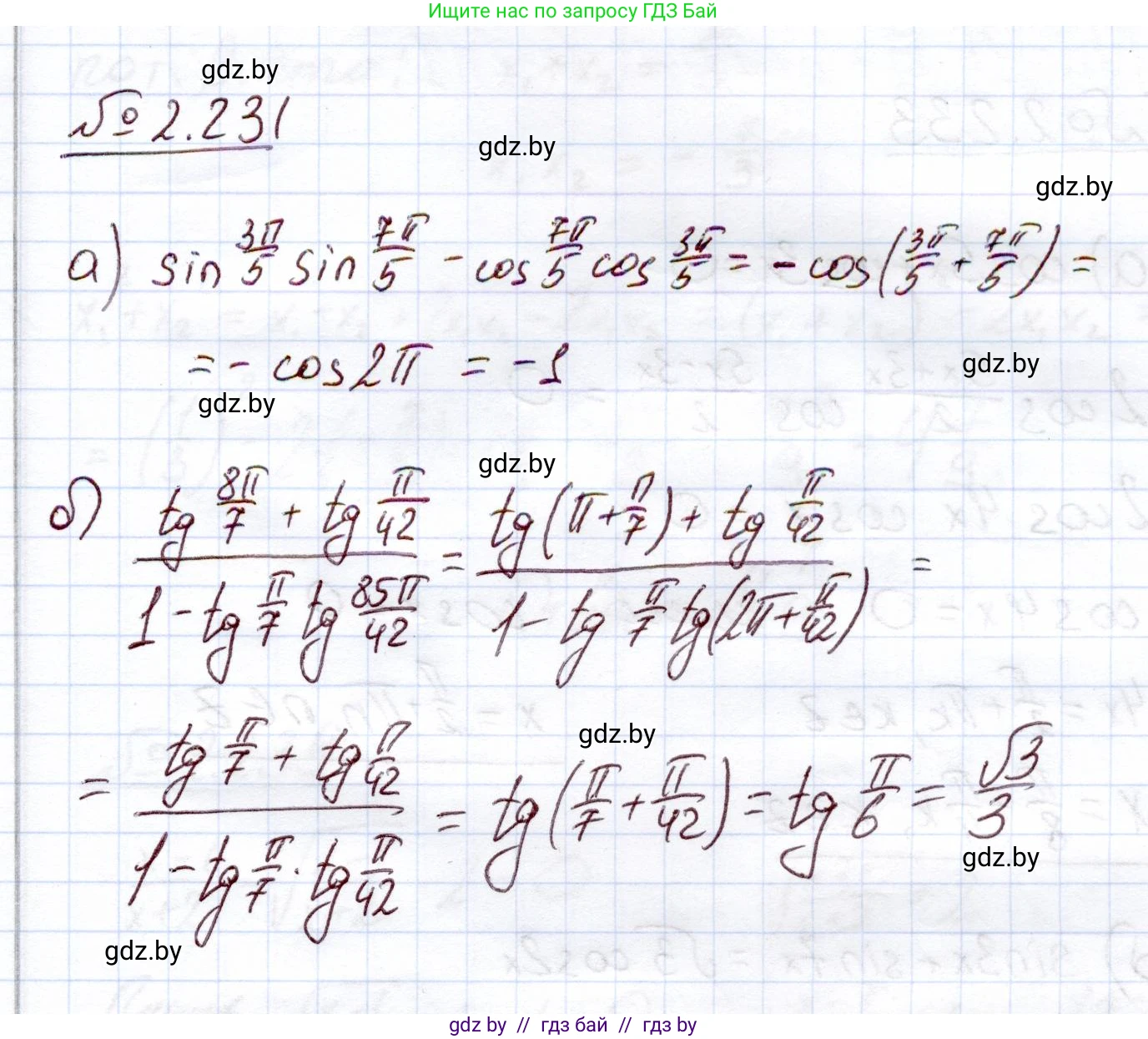
2.231. Используйте формулы сложения и найдите значение выражения:

а) $\sin\frac{3\pi}{5}\sin\frac{7\pi}{5}-\cos\frac{7\pi}{5}\cos\frac{3\pi}{5}$;

б) $\frac{\operatorname{tg}\frac{8\pi}{7}+\operatorname{tg}\frac{\pi}{42}}{1-\operatorname{tg}\frac{\pi}{7}\operatorname{tg}\frac{85\pi}{42}}$.

Решение. №2.231 (с. 97)
Алгебра, 11 класс Учебник, авторы: Арефьева Ирина Глебовна, Пирютко Ольга Николаевна, издательство Народная асвета, Минск, 2020, бирюзового цвета, страница 97, номер 2.231, Решение
Решение 2. №2.231 (с. 97)

а)

Дано выражение: $ \sin\frac{3\pi}{5}\sin\frac{7\pi}{5} - \cos\frac{7\pi}{5}\cos\frac{3\pi}{5} $.

Переставим слагаемые для удобства: $ - \cos\frac{7\pi}{5}\cos\frac{3\pi}{5} + \sin\frac{3\pi}{5}\sin\frac{7\pi}{5} $.

Вынесем знак минус за скобки:

$ -(\cos\frac{7\pi}{5}\cos\frac{3\pi}{5} - \sin\frac{7\pi}{5}\sin\frac{3\pi}{5}) $

Выражение в скобках соответствует формуле косинуса суммы: $ \cos(\alpha + \beta) = \cos\alpha\cos\beta - \sin\alpha\sin\beta $.

В нашем случае $ \alpha = \frac{7\pi}{5} $ и $ \beta = \frac{3\pi}{5} $. Применим формулу:

$ -(\cos(\frac{7\pi}{5} + \frac{3\pi}{5})) $

Найдем сумму углов в аргументе косинуса:

$ \frac{7\pi}{5} + \frac{3\pi}{5} = \frac{10\pi}{5} = 2\pi $

Теперь вычислим значение всего выражения:

$ -\cos(2\pi) $

Зная, что $ \cos(2\pi) = 1 $, получаем:

$ -1 $

Ответ: $ -1 $.

б)

Дано выражение: $ \frac{\mathrm{tg}\frac{8\pi}{7} + \mathrm{tg}\frac{\pi}{42}}{1 - \mathrm{tg}\frac{8\pi}{7}\mathrm{tg}\frac{85\pi}{42}} $.

Данное выражение очень похоже на формулу тангенса суммы: $ \mathrm{tg}(\alpha + \beta) = \frac{\mathrm{tg}\alpha + \mathrm{tg}\beta}{1 - \mathrm{tg}\alpha\mathrm{tg}\beta} $.

Чтобы применить эту формулу, аргументы тангенсов в числителе и знаменателе должны быть одинаковыми. Сравним $ \mathrm{tg}\frac{\pi}{42} $ и $ \mathrm{tg}\frac{85\pi}{42} $.

Рассмотрим аргумент $ \frac{85\pi}{42} $ и упростим его, используя периодичность тангенса. Период тангенса равен $ \pi $.

$ \frac{85\pi}{42} = \frac{84\pi + \pi}{42} = \frac{84\pi}{42} + \frac{\pi}{42} = 2\pi + \frac{\pi}{42} $

Поскольку $ \mathrm{tg}(x + k\pi) = \mathrm{tg}x $ (где $ k $ - целое число), то:

$ \mathrm{tg}\frac{85\pi}{42} = \mathrm{tg}(2\pi + \frac{\pi}{42}) = \mathrm{tg}\frac{\pi}{42} $

Теперь мы можем подставить полученное значение обратно в исходное выражение:

$ \frac{\mathrm{tg}\frac{8\pi}{7} + \mathrm{tg}\frac{\pi}{42}}{1 - \mathrm{tg}\frac{8\pi}{7}\mathrm{tg}\frac{\pi}{42}} $

Теперь выражение в точности соответствует формуле тангенса суммы, где $ \alpha = \frac{8\pi}{7} $ и $ \beta = \frac{\pi}{42} $.

$ \mathrm{tg}(\frac{8\pi}{7} + \frac{\pi}{42}) $

Сложим углы, приведя их к общему знаменателю 42:

$ \frac{8\pi}{7} + \frac{\pi}{42} = \frac{8\pi \cdot 6}{7 \cdot 6} + \frac{\pi}{42} = \frac{48\pi}{42} + \frac{\pi}{42} = \frac{49\pi}{42} $

Сократим полученную дробь:

$ \frac{49\pi}{42} = \frac{7\pi}{6} $

Найдем значение тангенса этого угла:

$ \mathrm{tg}(\frac{7\pi}{6}) = \mathrm{tg}(\pi + \frac{\pi}{6}) $

Используя формулу приведения $ \mathrm{tg}(\pi + x) = \mathrm{tg}x $, получаем:

$ \mathrm{tg}(\frac{\pi}{6}) = \frac{\sqrt{3}}{3} $

Ответ: $ \frac{\sqrt{3}}{3} $.

Помогло решение? Оставьте отзыв в комментариях ниже.

Присоединяйтесь к Телеграм-группе @gdz_by_belarus

Присоединиться

Мы подготовили для вас ответ c подробным объяснением домашего задания по алгебре за 11 класс, для упражнения номер 2.231 расположенного на странице 97 к учебнику 2020 года издания для учащихся школ и гимназий.

Теперь на нашем сайте ГДЗ.ТОП вы всегда легко и бесплатно найдёте условие с правильным ответом на вопрос «Как решить ДЗ» и «Как сделать» задание по алгебре к упражнению №2.231 (с. 97), авторов: Арефьева (Ирина Глебовна), Пирютко (Ольга Николаевна), учебного пособия издательства Народная асвета.