Номер 2.224, страница 96 - гдз по алгебре 11 класс учебник Арефьева, Пирютко

Алгебра, 11 класс Учебник, авторы: Арефьева Ирина Глебовна, Пирютко Ольга Николаевна, издательство Народная асвета, Минск, 2020, бирюзового цвета

Авторы: Арефьева И. Г., Пирютко О. Н.

Тип: Учебник

Издательство: Народная асвета

Год издания: 2020 - 2025

Цвет обложки: бирюзовый, зелёный с графиком

ISBN: 978-985-03-3165-6

Популярные ГДЗ в 11 классе

Глава 2. Показательная функция. Параграф 6. Показательные неравенства - номер 2.224, страница 96.

№2.224 (с. 96)
Условие. №2.224 (с. 96)
скриншот условия
Алгебра, 11 класс Учебник, авторы: Арефьева Ирина Глебовна, Пирютко Ольга Николаевна, издательство Народная асвета, Минск, 2020, бирюзового цвета, страница 96, номер 2.224, Условие

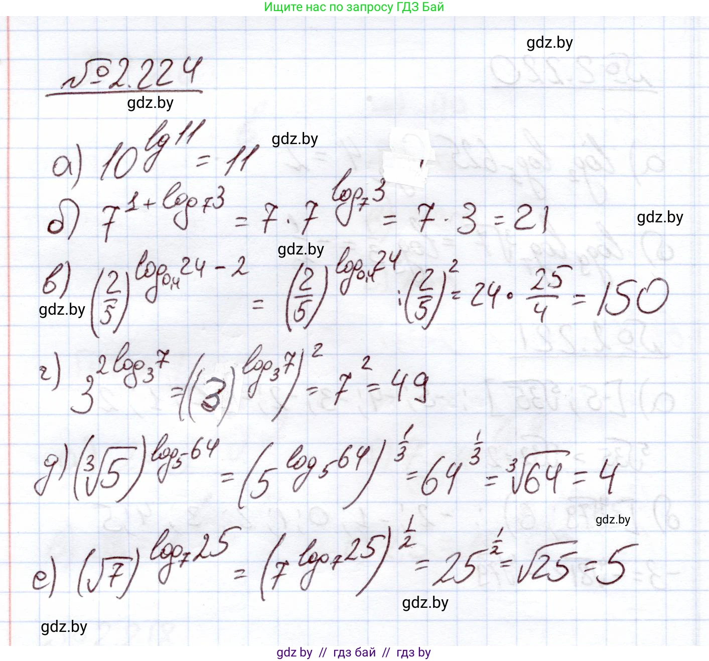
2.224. Пользуясь основным логарифмическим тождеством, найдите значение выражения:

a) $10^{\lg 11};$

б) $7^{1 + \log_7 3};$

в) $(\frac{2}{5})^{\log_{0.4} 24 - 2};$

г) $3^{2 \log_3 7};$

д) $(\sqrt[3]{5})^{\log_5 64};$

е) $(\sqrt{7})^{\log_7 25}.$

Решение. №2.224 (с. 96)
Алгебра, 11 класс Учебник, авторы: Арефьева Ирина Глебовна, Пирютко Ольга Николаевна, издательство Народная асвета, Минск, 2020, бирюзового цвета, страница 96, номер 2.224, Решение
Решение 2. №2.224 (с. 96)

Основное логарифмическое тождество имеет вид: $a^{\log_a b} = b$, где $a > 0$, $a \neq 1$ и $b > 0$.

а) $10^{\lg 11}$

Десятичный логарифм $\lg 11$ — это логарифм по основанию 10, то есть $\lg 11 = \log_{10} 11$.

Подставим это в исходное выражение: $10^{\log_{10} 11}$.

По основному логарифмическому тождеству, где $a=10$ и $b=11$, получаем:

$10^{\log_{10} 11} = 11$.

Ответ: 11

б) $7^{1 + \log_7 3}$

Воспользуемся свойством степеней $a^{m+n} = a^m \cdot a^n$:

$7^{1 + \log_7 3} = 7^1 \cdot 7^{\log_7 3}$.

Применим основное логарифмическое тождество ко второму множителю $7^{\log_7 3}$. Здесь $a=7$ и $b=3$, поэтому $7^{\log_7 3} = 3$.

Подставим полученное значение в выражение:

$7 \cdot 3 = 21$.

Ответ: 21

в) $(\frac{2}{5})^{\log_{0.4} 24 - 2}$

Сначала преобразуем основание логарифма $0.4$ в обыкновенную дробь: $0.4 = \frac{4}{10} = \frac{2}{5}$.

Теперь выражение выглядит так: $(\frac{2}{5})^{\log_{2/5} 24 - 2}$.

Воспользуемся свойством степеней $a^{m-n} = \frac{a^m}{a^n}$:

$(\frac{2}{5})^{\log_{2/5} 24 - 2} = \frac{(\frac{2}{5})^{\log_{2/5} 24}}{(\frac{2}{5})^2}$.

В числителе применим основное логарифмическое тождество, где $a=\frac{2}{5}$ и $b=24$: $(\frac{2}{5})^{\log_{2/5} 24} = 24$.

В знаменателе возведем дробь в квадрат: $(\frac{2}{5})^2 = \frac{4}{25}$.

Вычислим значение всего выражения:

$\frac{24}{\frac{4}{25}} = 24 \cdot \frac{25}{4} = 6 \cdot 25 = 150$.

Ответ: 150

г) $3^{2\log_3 7}$

Используем свойство логарифма $c \cdot \log_a b = \log_a (b^c)$ для преобразования показателя степени:

$2\log_3 7 = \log_3 (7^2) = \log_3 49$.

Теперь выражение имеет вид: $3^{\log_3 49}$.

Применяя основное логарифмическое тождество, где $a=3$ и $b=49$, получаем:

$3^{\log_3 49} = 49$.

Ответ: 49

д) $(\sqrt[3]{5})^{\log_5 64}$

Представим основание степени $\sqrt[3]{5}$ как степень с рациональным показателем: $\sqrt[3]{5} = 5^{1/3}$.

Выражение принимает вид: $(5^{1/3})^{\log_5 64}$.

Воспользуемся свойством степени $(a^m)^n = a^{mn}$:

$(5^{1/3})^{\log_5 64} = 5^{\frac{1}{3} \log_5 64}$.

Преобразуем показатель степени, используя свойство $c \cdot \log_a b = \log_a (b^c)$:

$\frac{1}{3} \log_5 64 = \log_5 (64^{1/3}) = \log_5 (\sqrt[3]{64}) = \log_5 4$.

Подставим полученный показатель обратно в выражение: $5^{\log_5 4}$.

По основному логарифмическому тождеству, где $a=5$ и $b=4$, имеем:

$5^{\log_5 4} = 4$.

Ответ: 4

е) $(\sqrt{7})^{\log_7 25}$

Представим основание степени $\sqrt{7}$ как $7^{1/2}$.

Выражение принимает вид: $(7^{1/2})^{\log_7 25}$.

Используем свойство степени $(a^m)^n = a^{mn}$:

$(7^{1/2})^{\log_7 25} = 7^{\frac{1}{2} \log_7 25}$.

Преобразуем показатель степени, используя свойство $c \cdot \log_a b = \log_a (b^c)$:

$\frac{1}{2} \log_7 25 = \log_7 (25^{1/2}) = \log_7 (\sqrt{25}) = \log_7 5$.

Выражение теперь выглядит как $7^{\log_7 5}$.

Применяем основное логарифмическое тождество, где $a=7$ и $b=5$:

$7^{\log_7 5} = 5$.

Ответ: 5

Помогло решение? Оставьте отзыв в комментариях ниже.

Присоединяйтесь к Телеграм-группе @gdz_by_belarus

Присоединиться

Мы подготовили для вас ответ c подробным объяснением домашего задания по алгебре за 11 класс, для упражнения номер 2.224 расположенного на странице 96 к учебнику 2020 года издания для учащихся школ и гимназий.

Теперь на нашем сайте ГДЗ.ТОП вы всегда легко и бесплатно найдёте условие с правильным ответом на вопрос «Как решить ДЗ» и «Как сделать» задание по алгебре к упражнению №2.224 (с. 96), авторов: Арефьева (Ирина Глебовна), Пирютко (Ольга Николаевна), учебного пособия издательства Народная асвета.