Номер 2.227, страница 97 - гдз по алгебре 11 класс учебник Арефьева, Пирютко

Алгебра, 11 класс Учебник, авторы: Арефьева Ирина Глебовна, Пирютко Ольга Николаевна, издательство Народная асвета, Минск, 2020, бирюзового цвета

Авторы: Арефьева И. Г., Пирютко О. Н.

Тип: Учебник

Издательство: Народная асвета

Год издания: 2020 - 2025

Цвет обложки: бирюзовый, зелёный с графиком

ISBN: 978-985-03-3165-6

Популярные ГДЗ в 11 классе

Глава 2. Показательная функция. Параграф 6. Показательные неравенства - номер 2.227, страница 97.

№2.227 (с. 97)
Условие. №2.227 (с. 97)
скриншот условия
Алгебра, 11 класс Учебник, авторы: Арефьева Ирина Глебовна, Пирютко Ольга Николаевна, издательство Народная асвета, Минск, 2020, бирюзового цвета, страница 97, номер 2.227, Условие

2.227. Решите показательное уравнение:

а) $2^{2x-4} = 64;$

б) $5^{x^2-3x} = 0,2^{8-3x};$

в) $(\frac{1}{3})^{2x-5} = \sqrt{3^x};$

г) $7^{2x} = 8.$

Решение. №2.227 (с. 97)
Алгебра, 11 класс Учебник, авторы: Арефьева Ирина Глебовна, Пирютко Ольга Николаевна, издательство Народная асвета, Минск, 2020, бирюзового цвета, страница 97, номер 2.227, Решение
Решение 2. №2.227 (с. 97)

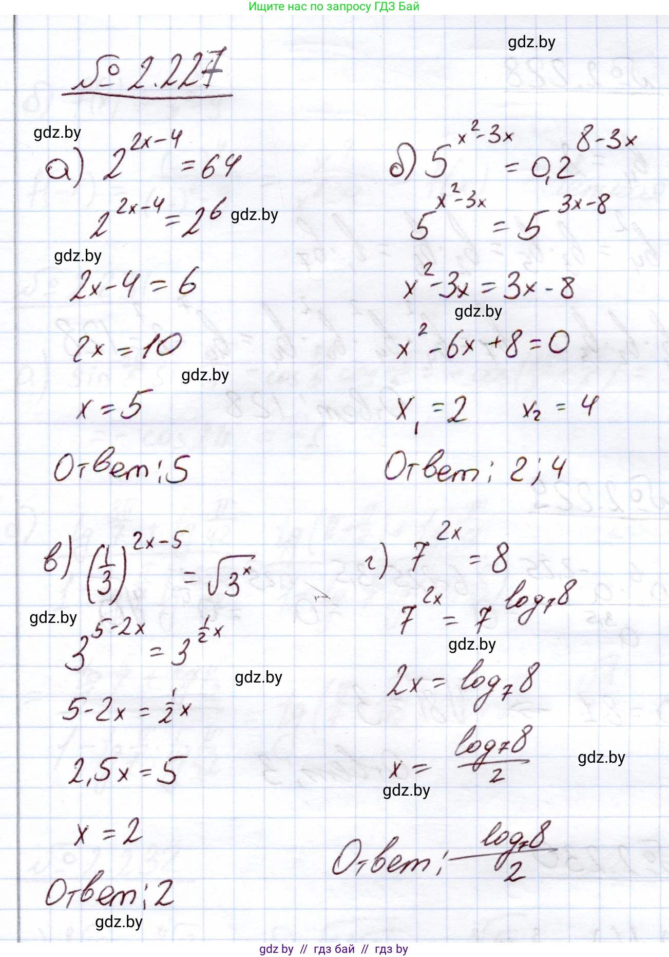
а) $2^{2x-4} = 64$
Чтобы решить это показательное уравнение, приведем обе части к одному основанию, в данном случае к 2.
Представим число 64 как степень числа 2:
$64 = 2^6$
Теперь уравнение принимает вид:
$2^{2x-4} = 2^6$
Поскольку основания степеней равны, мы можем приравнять их показатели:
$2x - 4 = 6$
Решим полученное линейное уравнение:
$2x = 6 + 4$
$2x = 10$
$x = \frac{10}{2}$
$x = 5$
Ответ: $5$.

б) $5^{x^2-3x} = 0,2^{8-3x}$
Приведем обе части уравнения к одному основанию. Заметим, что $0,2 = \frac{2}{10} = \frac{1}{5} = 5^{-1}$.
Подставим это в правую часть уравнения:
$5^{x^2-3x} = (5^{-1})^{8-3x}$
Используя свойство степени $(a^m)^n = a^{mn}$, упростим правую часть:
$5^{x^2-3x} = 5^{-1 \cdot (8-3x)}$
$5^{x^2-3x} = 5^{3x-8}$
Теперь, когда основания равны, приравниваем показатели:
$x^2 - 3x = 3x - 8$
Перенесем все члены в левую часть, чтобы получить квадратное уравнение:
$x^2 - 3x - 3x + 8 = 0$
$x^2 - 6x + 8 = 0$
Решим это квадратное уравнение. По теореме Виета, сумма корней равна 6, а их произведение равно 8. Корнями являются числа 2 и 4.
Проверим через дискриминант:
$D = b^2 - 4ac = (-6)^2 - 4 \cdot 1 \cdot 8 = 36 - 32 = 4$
$x_{1,2} = \frac{-b \pm \sqrt{D}}{2a} = \frac{6 \pm \sqrt{4}}{2} = \frac{6 \pm 2}{2}$
$x_1 = \frac{6+2}{2} = 4$
$x_2 = \frac{6-2}{2} = 2$
Ответ: $2; 4$.

в) $(\frac{1}{3})^{2x-5} = \sqrt{3^x}$
Приведем обе части уравнения к основанию 3.
Преобразуем левую часть: $\frac{1}{3} = 3^{-1}$.
$(\frac{1}{3})^{2x-5} = (3^{-1})^{2x-5} = 3^{-1 \cdot (2x-5)} = 3^{-2x+5}$
Преобразуем правую часть, используя определение корня как степени с дробным показателем: $\sqrt{a} = a^{1/2}$.
$\sqrt{3^x} = (3^x)^{1/2} = 3^{x \cdot \frac{1}{2}} = 3^{\frac{x}{2}}$
Уравнение принимает вид:
$3^{-2x+5} = 3^{\frac{x}{2}}$
Приравниваем показатели степеней:
$-2x + 5 = \frac{x}{2}$
Умножим обе части уравнения на 2, чтобы избавиться от дроби:
$2(-2x + 5) = x$
$-4x + 10 = x$
Перенесем члены с $x$ в одну сторону:
$10 = x + 4x$
$10 = 5x$
$x = \frac{10}{5}$
$x = 2$
Ответ: $2$.

г) $7^{2x} = 8$
В этом уравнении невозможно представить правую часть (8) как степень левой (7) с рациональным показателем. Поэтому для решения воспользуемся определением логарифма.
Основное логарифмическое тождество гласит: если $a^y = b$, то $y = \log_a b$.
В нашем случае $a=7$, $y=2x$, $b=8$.
Применяя определение логарифма, получаем:
$2x = \log_7 8$
Теперь выразим $x$:
$x = \frac{\log_7 8}{2}$
Этот ответ является окончательным. Его можно представить и в других формах, например: $x = \frac{1}{2}\log_7 8 = \log_7 (8^{\frac{1}{2}}) = \log_7 \sqrt{8}$.
Ответ: $\frac{\log_7 8}{2}$.

Помогло решение? Оставьте отзыв в комментариях ниже.

Присоединяйтесь к Телеграм-группе @gdz_by_belarus

Присоединиться

Мы подготовили для вас ответ c подробным объяснением домашего задания по алгебре за 11 класс, для упражнения номер 2.227 расположенного на странице 97 к учебнику 2020 года издания для учащихся школ и гимназий.

Теперь на нашем сайте ГДЗ.ТОП вы всегда легко и бесплатно найдёте условие с правильным ответом на вопрос «Как решить ДЗ» и «Как сделать» задание по алгебре к упражнению №2.227 (с. 97), авторов: Арефьева (Ирина Глебовна), Пирютко (Ольга Николаевна), учебного пособия издательства Народная асвета.