Номер 2.65, страница 59 - гдз по алгебре 11 класс учебник Арефьева, Пирютко

Алгебра, 11 класс Учебник, авторы: Арефьева Ирина Глебовна, Пирютко Ольга Николаевна, издательство Народная асвета, Минск, 2020, бирюзового цвета

Авторы: Арефьева И. Г., Пирютко О. Н.

Тип: Учебник

Издательство: Народная асвета

Год издания: 2020 - 2025

Цвет обложки: бирюзовый, зелёный с графиком

ISBN: 978-985-03-3165-6

Популярные ГДЗ в 11 классе

Глава 2. Показательная функция. Параграф 4. Показательная функция - номер 2.65, страница 59.

№2.65 (с. 59)
Условие. №2.65 (с. 59)
скриншот условия
Алгебра, 11 класс Учебник, авторы: Арефьева Ирина Глебовна, Пирютко Ольга Николаевна, издательство Народная асвета, Минск, 2020, бирюзового цвета, страница 59, номер 2.65, Условие

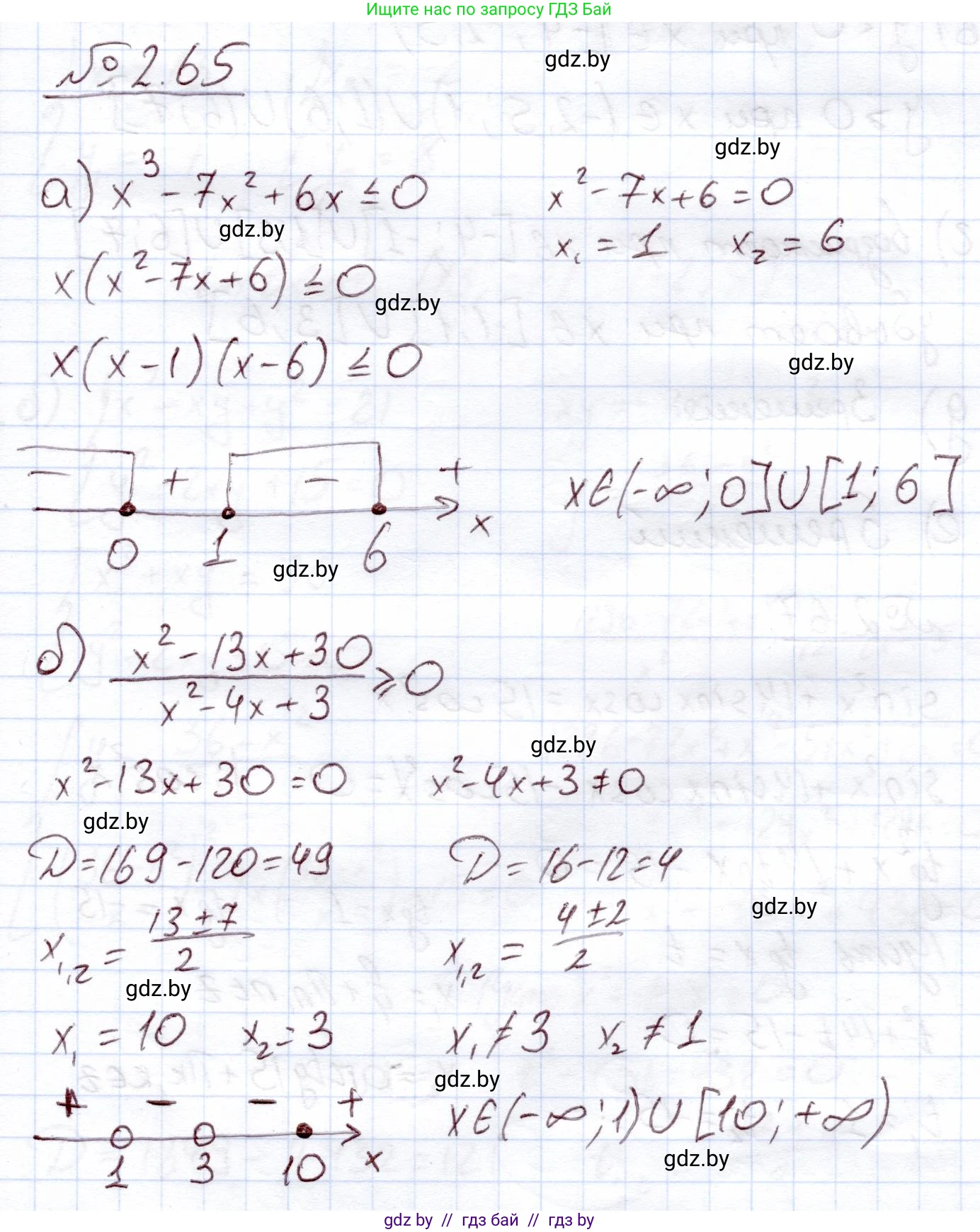
2.65. Решите неравенство:

a) $x^3 - 7x^2 + 6x \le 0$;

б) $\frac{x^2 - 13x + 30}{x^2 - 4x + 3} \ge 0.$

Решение. №2.65 (с. 59)
Алгебра, 11 класс Учебник, авторы: Арефьева Ирина Глебовна, Пирютко Ольга Николаевна, издательство Народная асвета, Минск, 2020, бирюзового цвета, страница 59, номер 2.65, Решение
Решение 2. №2.65 (с. 59)

а) Решим кубическое неравенство $x^3 - 7x^2 + 6x \le 0$ методом интервалов.
Сначала разложим многочлен в левой части на множители. Вынесем общий множитель $x$ за скобки:
$x(x^2 - 7x + 6) \le 0$.
Далее, найдем корни квадратного трехчлена $x^2 - 7x + 6 = 0$. Используя теорему Виета, находим корни: сумма корней равна 7, а их произведение равно 6. Следовательно, корнями являются $x_1 = 1$ и $x_2 = 6$.
Таким образом, квадратный трехчлен можно разложить на множители: $x^2 - 7x + 6 = (x - 1)(x - 6)$.
Исходное неравенство принимает вид:
$x(x - 1)(x - 6) \le 0$.
Найдем нули выражения в левой части: $x=0$, $x=1$, $x=6$. Эти точки делят числовую ось на четыре интервала: $(-\infty, 0)$, $(0, 1)$, $(1, 6)$ и $(6, +\infty)$.
Определим знак выражения в каждом интервале:
- В интервале $(6, +\infty)$, например при $x=7$: $7(7-1)(7-6) = 42 > 0$. Знак "+".
- В интервале $(1, 6)$, например при $x=2$: $2(2-1)(2-6) = -8 < 0$. Знак "-".
- В интервале $(0, 1)$, например при $x=0.5$: $0.5(0.5-1)(0.5-6) = 1.375 > 0$. Знак "+".
- В интервале $(-\infty, 0)$, например при $x=-1$: $-1(-1-1)(-1-6) = -14 < 0$. Знак "-".
Мы ищем значения $x$, при которых выражение меньше или равно нулю. Это происходит на интервалах $(-\infty, 0)$ и $(1, 6)$. Так как неравенство нестрогое ($\le$), то точки $0, 1, 6$ включаются в решение.
Ответ: $(-\infty, 0] \cup [1, 6]$.

б) Решим дробно-рациональное неравенство $\frac{x^2-13x+30}{x^2-4x+3} \ge 0$.
Сначала найдем область допустимых значений (ОДЗ), исключив значения $x$, при которых знаменатель равен нулю:
$x^2-4x+3 \ne 0$.
Корни уравнения $x^2-4x+3=0$ по теореме Виета равны $x_1=1$ и $x_2=3$. Таким образом, ОДЗ: $x \ne 1$ и $x \ne 3$.
Теперь разложим на множители числитель и знаменатель дроби.
Для числителя $x^2 - 13x + 30 = 0$, по теореме Виета, корни равны $x_1 = 3$ и $x_2 = 10$. Значит, $x^2 - 13x + 30 = (x-3)(x-10)$.
Для знаменателя, как мы уже нашли, $x^2 - 4x + 3 = (x-1)(x-3)$.
Подставим разложения в неравенство:
$\frac{(x-3)(x-10)}{(x-1)(x-3)} \ge 0$.
Учитывая, что $x \ne 3$, мы можем сократить дробь на множитель $(x-3)$:
$\frac{x-10}{x-1} \ge 0$.
Решим это неравенство методом интервалов. Нуль числителя: $x=10$. Нуль знаменателя: $x=1$.
Отметим точки $1$ и $10$ на числовой оси. Точка $x=1$ будет выколотой (знаменатель), а точка $x=10$ — закрашенной (неравенство нестрогое).
Определим знаки дроби на интервалах:
- В интервале $(10, +\infty)$, например при $x=11$: $\frac{11-10}{11-1} = \frac{+}{+} > 0$.
- В интервале $(1, 10)$, например при $x=2$: $\frac{2-10}{2-1} = \frac{-}{+} < 0$.
- В интервале $(-\infty, 1)$, например при $x=0$: $\frac{0-10}{0-1} = \frac{-}{-} > 0$.
Мы ищем значения $x$, при которых выражение больше или равно нулю. Это интервалы $(-\infty, 1)$ и $[10, +\infty)$.
Полученное решение $(-\infty, 1) \cup [10, +\infty)$ уже удовлетворяет ОДЗ ($x \ne 1$ и $x \ne 3$).
Ответ: $(-\infty, 1) \cup [10, +\infty)$.

Помогло решение? Оставьте отзыв в комментариях ниже.

Присоединяйтесь к Телеграм-группе @gdz_by_belarus

Присоединиться

Мы подготовили для вас ответ c подробным объяснением домашего задания по алгебре за 11 класс, для упражнения номер 2.65 расположенного на странице 59 к учебнику 2020 года издания для учащихся школ и гимназий.

Теперь на нашем сайте ГДЗ.ТОП вы всегда легко и бесплатно найдёте условие с правильным ответом на вопрос «Как решить ДЗ» и «Как сделать» задание по алгебре к упражнению №2.65 (с. 59), авторов: Арефьева (Ирина Глебовна), Пирютко (Ольга Николаевна), учебного пособия издательства Народная асвета.