Номер 2.58, страница 58 - гдз по алгебре 11 класс учебник Арефьева, Пирютко

Алгебра, 11 класс Учебник, авторы: Арефьева Ирина Глебовна, Пирютко Ольга Николаевна, издательство Народная асвета, Минск, 2020, бирюзового цвета

Авторы: Арефьева И. Г., Пирютко О. Н.

Тип: Учебник

Издательство: Народная асвета

Год издания: 2020 - 2025

Цвет обложки: бирюзовый, зелёный с графиком

ISBN: 978-985-03-3165-6

Популярные ГДЗ в 11 классе

Глава 2. Показательная функция. Параграф 4. Показательная функция - номер 2.58, страница 58.

№2.58 (с. 58)
Условие. №2.58 (с. 58)
скриншот условия
Алгебра, 11 класс Учебник, авторы: Арефьева Ирина Глебовна, Пирютко Ольга Николаевна, издательство Народная асвета, Минск, 2020, бирюзового цвета, страница 58, номер 2.58, Условие

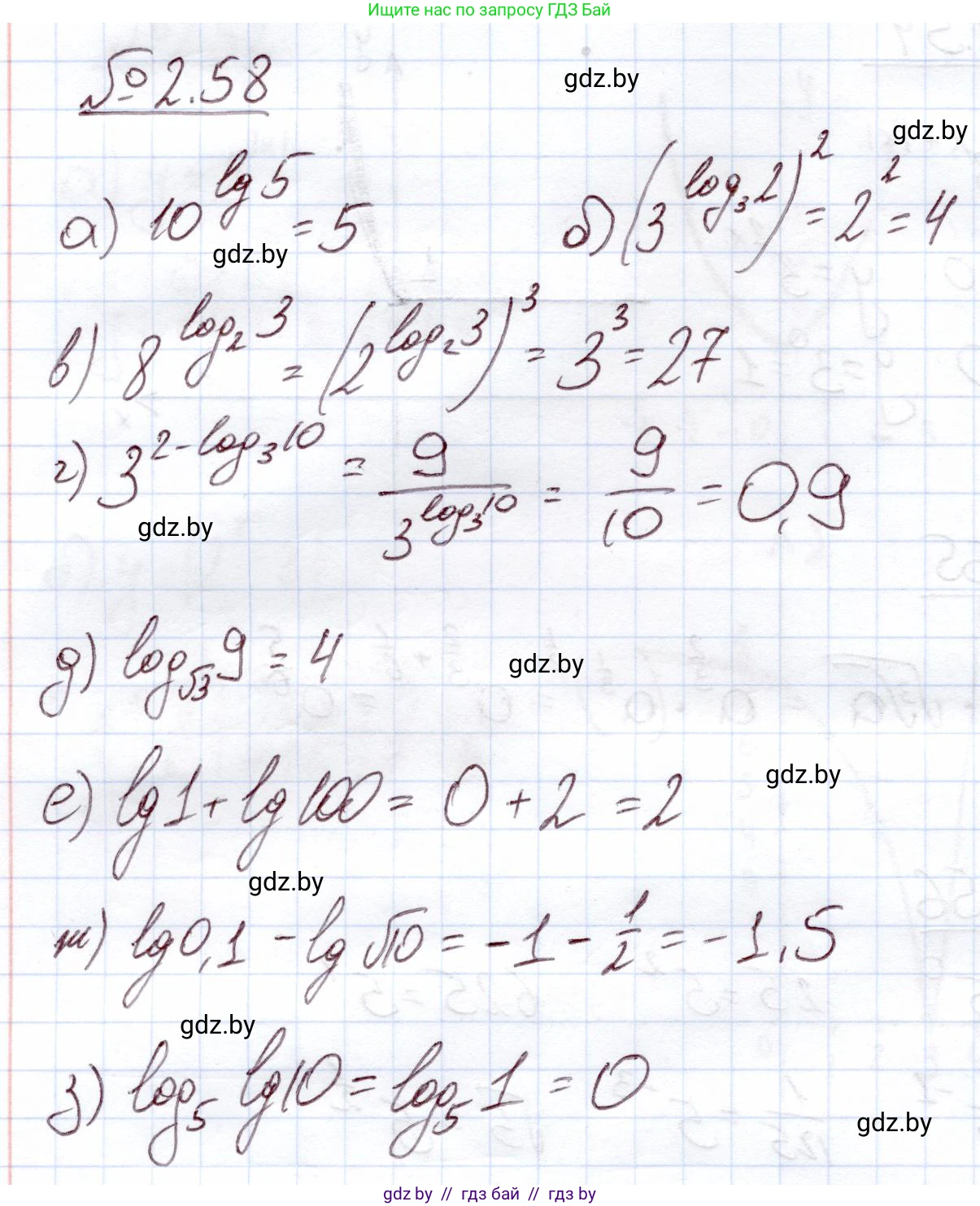
2.58. Вычислите:

а) $10^{\lg 5}$;

б) $(3^{\log_3 2})^2$;

в) $8^{\log_2 3}$;

г) $3^{2-\log_3 10}$;

д) $\log_{\sqrt{3}} 9$;

е) $\lg1 + \lg100$;

ж) $\lg0,1 - \lg\sqrt{10}$;

з) $\log_5 \lg10$.

Решение. №2.58 (с. 58)
Алгебра, 11 класс Учебник, авторы: Арефьева Ирина Глебовна, Пирютко Ольга Николаевна, издательство Народная асвета, Минск, 2020, бирюзового цвета, страница 58, номер 2.58, Решение
Решение 2. №2.58 (с. 58)

а)

Выражение $10^{\lg 5}$ содержит десятичный логарифм в показателе степени. Десятичный логарифм ($\lg$) — это логарифм по основанию 10, то есть $\lg 5 = \log_{10} 5$.
Используем основное логарифмическое тождество $a^{\log_a b} = b$.
В данном случае $a=10$ и $b=5$.
Следовательно, $10^{\lg 5} = 10^{\log_{10} 5} = 5$.
Ответ: 5

б)

Сначала упростим выражение в скобках $3^{\log_3 2}$.
По основному логарифмическому тождеству $a^{\log_a b} = b$, где $a=3$ и $b=2$, получаем:
$3^{\log_3 2} = 2$.
Теперь возведем полученный результат в квадрат:
$(3^{\log_3 2})^2 = 2^2 = 4$.
Ответ: 4

в)

В выражении $8^{\log_2 3}$ основание степени (8) и основание логарифма (2) различны. Приведем их к одному основанию.
Представим 8 как степень числа 2: $8 = 2^3$.
Тогда выражение примет вид: $(2^3)^{\log_2 3}$.
Используя свойство степени $(a^m)^n = a^{mn}$, получаем: $2^{3 \cdot \log_2 3}$.
Теперь используем свойство логарифма $k \log_a b = \log_a (b^k)$:
$3 \log_2 3 = \log_2 (3^3) = \log_2 27$.
Подставляем это обратно в выражение: $2^{\log_2 27}$.
По основному логарифмическому тождеству $a^{\log_a b} = b$, получаем: $2^{\log_2 27} = 27$.
Ответ: 27

г)

Для выражения $3^{2 - \log_3 10}$ используем свойство степеней $a^{m-n} = \frac{a^m}{a^n}$.
$3^{2 - \log_3 10} = \frac{3^2}{3^{\log_3 10}}$.
Вычислим числитель и знаменатель отдельно.
Числитель: $3^2 = 9$.
Знаменатель: $3^{\log_3 10}$. По основному логарифмическому тождеству $a^{\log_a b} = b$, получаем $3^{\log_3 10} = 10$.
Таким образом, результат равен $\frac{9}{10}$ или 0.9.
Ответ: 0.9

д)

Нужно вычислить $\log_{\sqrt{3}} 9$.
Пусть $\log_{\sqrt{3}} 9 = x$. По определению логарифма, это значит, что $(\sqrt{3})^x = 9$.
Представим обе части уравнения как степени числа 3. Мы знаем, что $\sqrt{3} = 3^{1/2}$ и $9 = 3^2$.
Уравнение принимает вид: $(3^{1/2})^x = 3^2$.
Используя свойство степени $(a^m)^n = a^{mn}$, получаем: $3^{x/2} = 3^2$.
Так как основания равны, приравниваем показатели степеней: $\frac{x}{2} = 2$.
Отсюда $x = 4$.
Ответ: 4

е)

Нужно вычислить сумму $\lg 1 + \lg 100$.
Используем свойство суммы логарифмов с одинаковым основанием: $\log_a b + \log_a c = \log_a(bc)$.
$\lg 1 + \lg 100 = \lg(1 \cdot 100) = \lg 100$.
Десятичный логарифм $\lg 100$ — это степень, в которую нужно возвести 10, чтобы получить 100. Так как $10^2 = 100$, то $\lg 100 = 2$.
Альтернативно, можно вычислить каждый логарифм по отдельности: $\lg 1 = 0$ (так как $10^0 = 1$) и $\lg 100 = 2$. Тогда их сумма $0 + 2 = 2$.
Ответ: 2

ж)

Нужно вычислить разность $\lg 0.1 - \lg \sqrt{10}$.
Используем свойство разности логарифмов с одинаковым основанием: $\log_a b - \log_a c = \log_a(\frac{b}{c})$.
$\lg 0.1 - \lg \sqrt{10} = \lg\left(\frac{0.1}{\sqrt{10}}\right)$.
Представим числа в виде степеней 10: $0.1 = 10^{-1}$ и $\sqrt{10} = 10^{1/2}$.
$\frac{0.1}{\sqrt{10}} = \frac{10^{-1}}{10^{1/2}} = 10^{-1 - 1/2} = 10^{-3/2}$.
Тогда выражение равно $\lg(10^{-3/2})$.
Используя свойство $\log_a a^x = x$, получаем: $\log_{10}(10^{-3/2}) = -\frac{3}{2} = -1.5$.
Ответ: -1.5

з)

Нужно вычислить $\log_5 \lg 10$.
Сначала вычислим внутреннее выражение, то есть десятичный логарифм $\lg 10$.
$\lg 10 = \log_{10} 10$. По свойству $\log_a a = 1$, имеем $\lg 10 = 1$.
Теперь исходное выражение упрощается до $\log_5 1$.
Логарифм единицы по любому основанию (не равному 1) равен нулю, так как любое число в нулевой степени равно 1 ($a^0=1$).
Следовательно, $\log_5 1 = 0$.
Ответ: 0

Помогло решение? Оставьте отзыв в комментариях ниже.

Присоединяйтесь к Телеграм-группе @gdz_by_belarus

Присоединиться

Мы подготовили для вас ответ c подробным объяснением домашего задания по алгебре за 11 класс, для упражнения номер 2.58 расположенного на странице 58 к учебнику 2020 года издания для учащихся школ и гимназий.

Теперь на нашем сайте ГДЗ.ТОП вы всегда легко и бесплатно найдёте условие с правильным ответом на вопрос «Как решить ДЗ» и «Как сделать» задание по алгебре к упражнению №2.58 (с. 58), авторов: Арефьева (Ирина Глебовна), Пирютко (Ольга Николаевна), учебного пособия издательства Народная асвета.