Номер 2.51, страница 58 - гдз по алгебре 11 класс учебник Арефьева, Пирютко

Алгебра, 11 класс Учебник, авторы: Арефьева Ирина Глебовна, Пирютко Ольга Николаевна, издательство Народная асвета, Минск, 2020, бирюзового цвета

Авторы: Арефьева И. Г., Пирютко О. Н.

Тип: Учебник

Издательство: Народная асвета

Год издания: 2020 - 2025

Цвет обложки: бирюзовый, зелёный с графиком

ISBN: 978-985-03-3165-6

Популярные ГДЗ в 11 классе

Глава 2. Показательная функция. Параграф 4. Показательная функция - номер 2.51, страница 58.

№2.51 (с. 58)
Условие. №2.51 (с. 58)
скриншот условия
Алгебра, 11 класс Учебник, авторы: Арефьева Ирина Глебовна, Пирютко Ольга Николаевна, издательство Народная асвета, Минск, 2020, бирюзового цвета, страница 58, номер 2.51, Условие

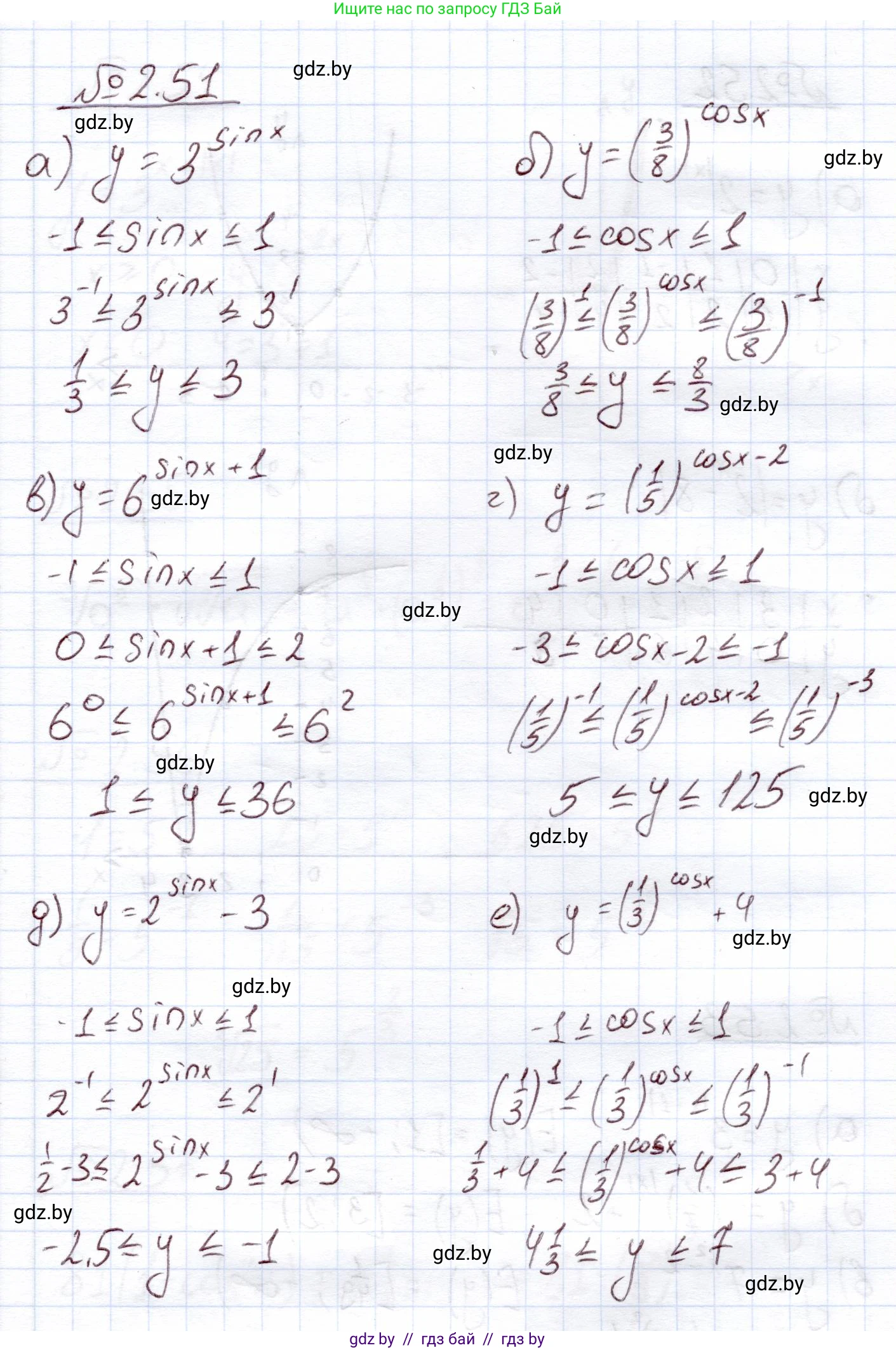
2.51*. Найдите наибольшее и наименьшее значения функции на $R$:

а) $y = 3^{\sin x}$;

б) $y = \left(\frac{3}{8}\right)^{\cos x}$;

в) $y = 6^{\sin x + 1}$;

г) $y = \left(\frac{1}{5}\right)^{\cos x - 2}$;

д) $y = 2^{\sin x} - 3$;

е) $y = \left(\frac{1}{3}\right)^{\cos x} + 4.

Решение. №2.51 (с. 58)
Алгебра, 11 класс Учебник, авторы: Арефьева Ирина Глебовна, Пирютко Ольга Николаевна, издательство Народная асвета, Минск, 2020, бирюзового цвета, страница 58, номер 2.51, Решение
Решение 2. №2.51 (с. 58)

а)

Рассмотрим функцию $y = 3^{\sin x}$. Область значений функции $\sin x$ — это отрезок $[-1, 1]$. Поскольку основание степени $a=3$ больше 1, показательная функция $y=3^t$ является возрастающей. Это означает, что она достигает своего наименьшего значения при наименьшем значении показателя, а наибольшего — при наибольшем.

Наименьшее значение функция принимает, когда $\sin x = -1$:
$y_{наим} = 3^{-1} = \frac{1}{3}$.

Наибольшее значение функция принимает, когда $\sin x = 1$:
$y_{наиб} = 3^1 = 3$.

Ответ: наименьшее значение функции равно $\frac{1}{3}$, наибольшее значение функции равно $3$.

б)

Рассмотрим функцию $y = \left(\frac{3}{8}\right)^{\cos x}$. Область значений функции $\cos x$ — это отрезок $[-1, 1]$. Поскольку основание степени $a=\frac{3}{8}$ находится в интервале $(0, 1)$, показательная функция $y=\left(\frac{3}{8}\right)^t$ является убывающей. Это означает, что она достигает своего наименьшего значения при наибольшем значении показателя, а наибольшего — при наименьшем.

Наименьшее значение функция принимает, когда $\cos x = 1$:
$y_{наим} = \left(\frac{3}{8}\right)^1 = \frac{3}{8}$.

Наибольшее значение функция принимает, когда $\cos x = -1$:
$y_{наиб} = \left(\frac{3}{8}\right)^{-1} = \frac{8}{3}$.

Ответ: наименьшее значение функции равно $\frac{3}{8}$, наибольшее значение функции равно $\frac{8}{3}$.

в)

Рассмотрим функцию $y = 6^{\sin x + 1}$. Сначала найдем область значений показателя степени, $t = \sin x + 1$. Так как $-1 \le \sin x \le 1$, то $-1+1 \le \sin x + 1 \le 1+1$, откуда $0 \le t \le 2$.

Основание степени $a=6$ больше 1, поэтому функция $y=6^t$ возрастающая. Наименьшее значение достигается при $t=0$, а наибольшее при $t=2$.

Наименьшее значение: $y_{наим} = 6^0 = 1$.

Наибольшее значение: $y_{наиб} = 6^2 = 36$.

Ответ: наименьшее значение функции равно $1$, наибольшее значение функции равно $36$.

г)

Рассмотрим функцию $y = \left(\frac{1}{5}\right)^{\cos x - 2}$. Найдем область значений показателя $t = \cos x - 2$. Так как $-1 \le \cos x \le 1$, то $-1-2 \le \cos x - 2 \le 1-2$, откуда $-3 \le t \le -1$.

Основание степени $a=\frac{1}{5}$ находится в интервале $(0, 1)$, поэтому функция $y=\left(\frac{1}{5}\right)^t$ убывающая. Наименьшее значение достигается при наибольшем значении показателя ($t=-1$), а наибольшее — при наименьшем ($t=-3$).

Наименьшее значение: $y_{наим} = \left(\frac{1}{5}\right)^{-1} = 5$.

Наибольшее значение: $y_{наиб} = \left(\frac{1}{5}\right)^{-3} = 5^3 = 125$.

Ответ: наименьшее значение функции равно $5$, наибольшее значение функции равно $125$.

д)

Рассмотрим функцию $y = 2^{\sin x} - 3$. Эта функция является композицией и сдвигом. Сначала найдем область значений функции $g(x) = 2^{\sin x}$.

Область значений $\sin x$ есть $[-1, 1]$. Основание $a=2 > 1$, функция $2^t$ возрастающая. Следовательно, область значений $g(x)$ — это отрезок $[2^{-1}, 2^1]$, то есть $[\frac{1}{2}, 2]$.

Теперь найдем значения для $y = g(x) - 3$.

Наименьшее значение: $y_{наим} = \min(g(x)) - 3 = \frac{1}{2} - 3 = -\frac{5}{2}$.

Наибольшее значение: $y_{наиб} = \max(g(x)) - 3 = 2 - 3 = -1$.

Ответ: наименьшее значение функции равно $-\frac{5}{2}$, наибольшее значение функции равно $-1$.

е)

Рассмотрим функцию $y = \left(\frac{1}{3}\right)^{\cos x} + 4$. Сначала найдем область значений функции $g(x) = \left(\frac{1}{3}\right)^{\cos x}$.

Область значений $\cos x$ есть $[-1, 1]$. Основание $a=\frac{1}{3} < 1$, функция $(\frac{1}{3})^t$ убывающая. Следовательно, область значений $g(x)$ — это отрезок $[(\frac{1}{3})^1, (\frac{1}{3})^{-1}]$, то есть $[\frac{1}{3}, 3]$.

Теперь найдем значения для $y = g(x) + 4$.

Наименьшее значение: $y_{наим} = \min(g(x)) + 4 = \frac{1}{3} + 4 = \frac{13}{3}$.

Наибольшее значение: $y_{наиб} = \max(g(x)) + 4 = 3 + 4 = 7$.

Ответ: наименьшее значение функции равно $\frac{13}{3}$, наибольшее значение функции равно $7$.

Помогло решение? Оставьте отзыв в комментариях ниже.

Присоединяйтесь к Телеграм-группе @gdz_by_belarus

Присоединиться

Мы подготовили для вас ответ c подробным объяснением домашего задания по алгебре за 11 класс, для упражнения номер 2.51 расположенного на странице 58 к учебнику 2020 года издания для учащихся школ и гимназий.

Теперь на нашем сайте ГДЗ.ТОП вы всегда легко и бесплатно найдёте условие с правильным ответом на вопрос «Как решить ДЗ» и «Как сделать» задание по алгебре к упражнению №2.51 (с. 58), авторов: Арефьева (Ирина Глебовна), Пирютко (Ольга Николаевна), учебного пособия издательства Народная асвета.