Номер 2.48, страница 57 - гдз по алгебре 11 класс учебник Арефьева, Пирютко

Алгебра, 11 класс Учебник, авторы: Арефьева Ирина Глебовна, Пирютко Ольга Николаевна, издательство Народная асвета, Минск, 2020, бирюзового цвета

Авторы: Арефьева И. Г., Пирютко О. Н.

Тип: Учебник

Издательство: Народная асвета

Год издания: 2020 - 2025

Цвет обложки: бирюзовый, зелёный с графиком

ISBN: 978-985-03-3165-6

Популярные ГДЗ в 11 классе

Глава 2. Показательная функция. Параграф 4. Показательная функция - номер 2.48, страница 57.

№2.48 (с. 57)
Условие. №2.48 (с. 57)
скриншот условия
Алгебра, 11 класс Учебник, авторы: Арефьева Ирина Глебовна, Пирютко Ольга Николаевна, издательство Народная асвета, Минск, 2020, бирюзового цвета, страница 57, номер 2.48, Условие

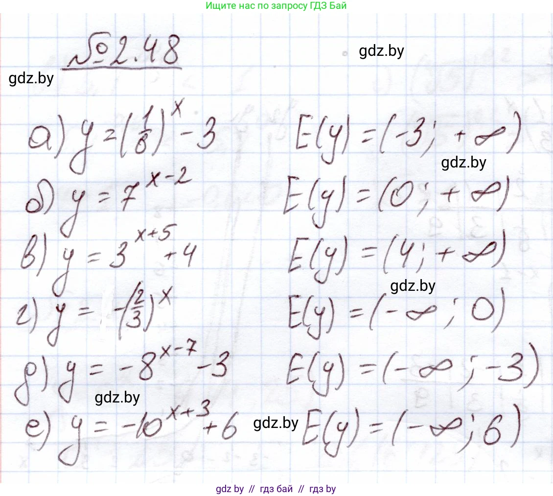
2.48. Найдите множество значений функции:

а) $y=\left(\frac{1}{6}\right)^{x}-3$;

б) $y=7^{x-2}$;

в) $y=3^{x+5}+4$;

г) $y=-\left(\frac{2}{3}\right)^{x}$;

д) $y=-8^{x-7}-3$;

е) $y=-10^{x+3}+6$.

Решение. №2.48 (с. 57)
Алгебра, 11 класс Учебник, авторы: Арефьева Ирина Глебовна, Пирютко Ольга Николаевна, издательство Народная асвета, Минск, 2020, бирюзового цвета, страница 57, номер 2.48, Решение
Решение 2. №2.48 (с. 57)

Для нахождения множества значений (области значений) функции вида $y = k \cdot a^{f(x)} + b$, где $a > 0$ и $a \neq 1$, используется свойство показательной функции. Множеством значений для $a^{f(x)}$ является интервал $(0; +\infty)$, так как любое положительное число в любой действительной степени всегда положительно. Затем, это множество преобразуется в соответствии с коэффициентом $k$ и слагаемым $b$.

а) $y = (\frac{1}{6})^x - 3$

1. Рассмотрим показательную часть функции: $(\frac{1}{6})^x$. Поскольку основание $\frac{1}{6}$ положительно, для любого действительного $x$ значение этого выражения будет строго больше нуля: $(\frac{1}{6})^x > 0$.

2. Теперь из обеих частей неравенства вычтем 3, чтобы получить исходную функцию: $(\frac{1}{6})^x - 3 > 0 - 3$.

3. Это приводит нас к неравенству: $y > -3$.

Следовательно, множество значений функции — это все числа, строго большие -3.

Ответ: $E(y) = (-3; +\infty)$.

б) $y = 7^{x-2}$

1. Показатель степени $x-2$ может принимать любое действительное значение, так как $x$ может быть любым действительным числом.

2. Основание степени равно 7, что является положительным числом. Поэтому для любого значения показателя $x-2$ выражение $7^{x-2}$ будет строго положительным: $7^{x-2} > 0$.

3. В данной функции нет ни умножения на коэффициент (кроме 1), ни вертикального сдвига. Таким образом, множество значений функции совпадает с множеством значений базовой показательной функции $y=7^t$.

Ответ: $E(y) = (0; +\infty)$.

в) $y = 3^{x+5} + 4$

1. Рассмотрим показательную часть $3^{x+5}$. Так как основание $3 > 0$, для любого $x$ выполняется: $3^{x+5} > 0$.

2. Прибавим 4 к обеим частям неравенства: $3^{x+5} + 4 > 0 + 4$.

3. Получаем: $y > 4$.

Множество значений функции состоит из всех чисел, которые больше 4.

Ответ: $E(y) = (4; +\infty)$.

г) $y = -(\frac{2}{3})^x$

1. Сначала проанализируем выражение $(\frac{2}{3})^x$. Основание $\frac{2}{3}$ положительно, поэтому: $(\frac{2}{3})^x > 0$.

2. Далее, это выражение умножается на -1. При умножении неравенства на отрицательное число его знак меняется на противоположный: $-1 \cdot (\frac{2}{3})^x < -1 \cdot 0$.

3. Таким образом, мы имеем: $y < 0$.

Множество значений функции — это все отрицательные числа.

Ответ: $E(y) = (-\infty; 0)$.

д) $y = -8^{x-7} - 3$

1. Рассмотрим показательную часть $8^{x-7}$. Основание $8 > 0$, следовательно: $8^{x-7} > 0$.

2. Умножим обе части на -1, что приведет к изменению знака неравенства: $-8^{x-7} < 0$.

3. Теперь вычтем 3 из обеих частей неравенства: $-8^{x-7} - 3 < 0 - 3$.

4. В результате получаем: $y < -3$.

Множество значений функции — это все числа, строго меньшие -3.

Ответ: $E(y) = (-\infty; -3)$.

е) $y = -10^{x+3} + 6$

1. Для показательной части $10^{x+3}$ с основанием $10 > 0$ справедливо неравенство: $10^{x+3} > 0$.

2. Умножаем на -1, меняя знак неравенства: $-10^{x+3} < 0$.

3. Прибавляем 6 к обеим частям: $-10^{x+3} + 6 < 0 + 6$.

4. Получаем окончательное неравенство: $y < 6$.

Множество значений функции состоит из всех чисел, которые меньше 6.

Ответ: $E(y) = (-\infty; 6)$.

Помогло решение? Оставьте отзыв в комментариях ниже.

Присоединяйтесь к Телеграм-группе @gdz_by_belarus

Присоединиться

Мы подготовили для вас ответ c подробным объяснением домашего задания по алгебре за 11 класс, для упражнения номер 2.48 расположенного на странице 57 к учебнику 2020 года издания для учащихся школ и гимназий.

Теперь на нашем сайте ГДЗ.ТОП вы всегда легко и бесплатно найдёте условие с правильным ответом на вопрос «Как решить ДЗ» и «Как сделать» задание по алгебре к упражнению №2.48 (с. 57), авторов: Арефьева (Ирина Глебовна), Пирютко (Ольга Николаевна), учебного пособия издательства Народная асвета.