Номер 3.189, страница 144 - гдз по алгебре 11 класс учебник Арефьева, Пирютко

Алгебра, 11 класс Учебник, авторы: Арефьева Ирина Глебовна, Пирютко Ольга Николаевна, издательство Народная асвета, Минск, 2020, бирюзового цвета

Авторы: Арефьева И. Г., Пирютко О. Н.

Тип: Учебник

Издательство: Народная асвета

Год издания: 2020 - 2025

Цвет обложки: бирюзовый, зелёный с графиком

ISBN: 978-985-03-3165-6

Популярные ГДЗ в 11 классе

Глава 3. Логарифмическая функция. Параграф 9. Логарифмические уравнения - номер 3.189, страница 144.

№3.189 (с. 144)
Условие. №3.189 (с. 144)
скриншот условия
Алгебра, 11 класс Учебник, авторы: Арефьева Ирина Глебовна, Пирютко Ольга Николаевна, издательство Народная асвета, Минск, 2020, бирюзового цвета, страница 144, номер 3.189, Условие

3.189. Решите систему уравнений:

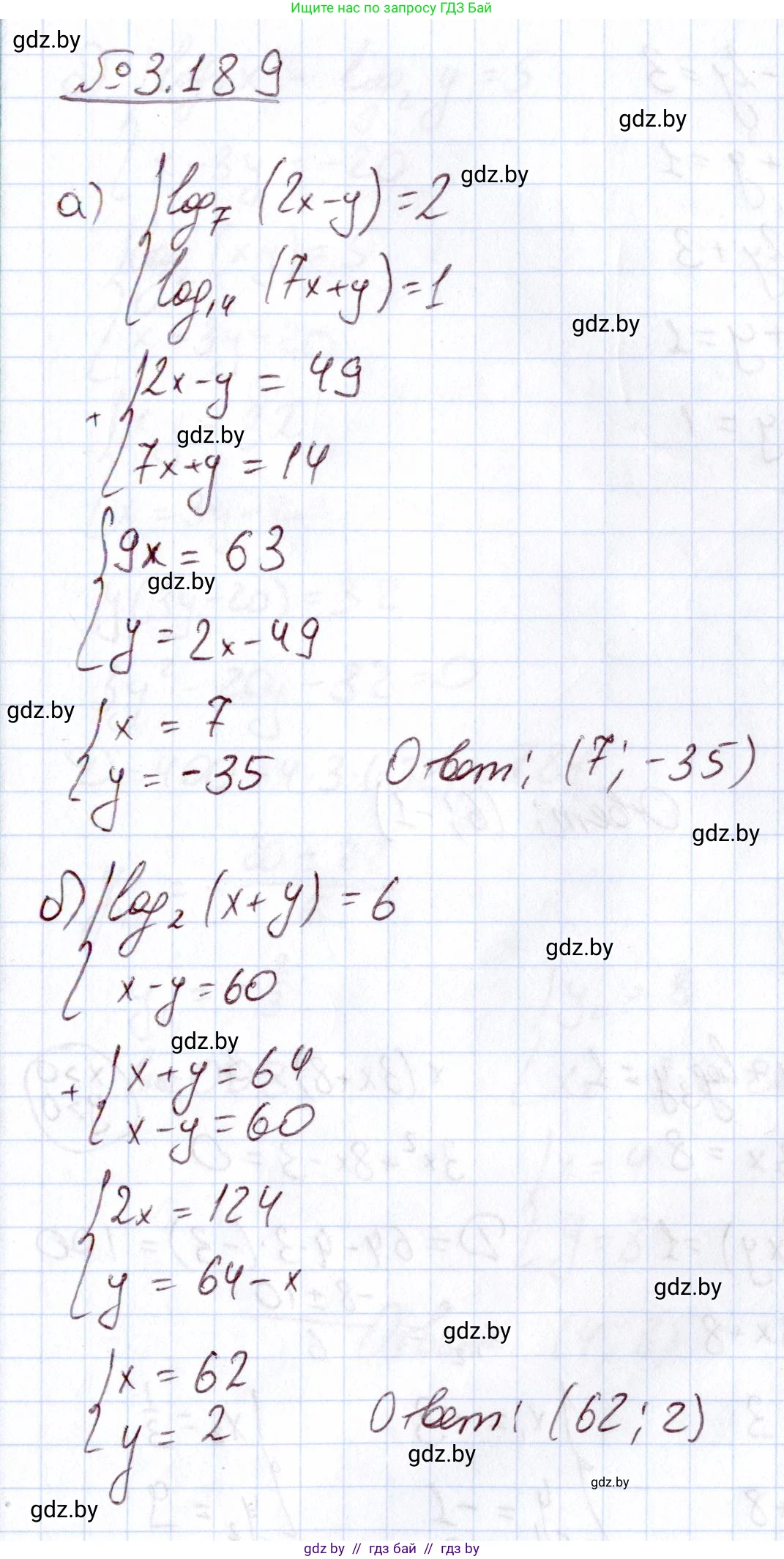
a) $ \begin{cases} \log_7 (2x - y) = 2, \\ \log_{14} (7x + y) = 1; \end{cases} $

б) $ \begin{cases} \log_2 (x + y) = 6, \\ x - y = 60; \end{cases} $

в) $ \begin{cases} \log_6 x - 2y = 3, \\ 2\log_6 x + y = 1. \end{cases} $

Решение. №3.189 (с. 144)
Алгебра, 11 класс Учебник, авторы: Арефьева Ирина Глебовна, Пирютко Ольга Николаевна, издательство Народная асвета, Минск, 2020, бирюзового цвета, страница 144, номер 3.189, Решение Алгебра, 11 класс Учебник, авторы: Арефьева Ирина Глебовна, Пирютко Ольга Николаевна, издательство Народная асвета, Минск, 2020, бирюзового цвета, страница 144, номер 3.189, Решение (продолжение 2)
Решение 2. №3.189 (с. 144)

а)

Дана система уравнений: $$ \begin{cases} \log_7(2x-y) = 2 \\ \log_{14}(7x+y) = 1 \end{cases} $$

Область допустимых значений (ОДЗ) для этой системы определяется условиями положительности выражений под знаком логарифма:
$2x-y > 0$
$7x+y > 0$

Используя определение логарифма ($\log_b a = c \iff a = b^c$), преобразуем каждое уравнение системы:
1. Из первого уравнения $\log_7(2x-y) = 2$ следует: $$ 2x-y = 7^2 $$ $$ 2x-y = 49 $$
2. Из второго уравнения $\log_{14}(7x+y) = 1$ следует: $$ 7x+y = 14^1 $$ $$ 7x+y = 14 $$

В результате мы получаем систему двух линейных уравнений с двумя переменными: $$ \begin{cases} 2x-y = 49 \\ 7x+y = 14 \end{cases} $$

Сложим два уравнения почленно для того, чтобы исключить переменную $y$: $$ (2x-y) + (7x+y) = 49 + 14 $$ $$ 9x = 63 $$ $$ x = \frac{63}{9} $$ $$ x = 7 $$

Теперь подставим найденное значение $x=7$ в одно из уравнений, например, в $7x+y=14$: $$ 7(7) + y = 14 $$ $$ 49 + y = 14 $$ $$ y = 14 - 49 $$ $$ y = -35 $$

Проверим, удовлетворяет ли найденное решение $(7; -35)$ условиям ОДЗ:
$2x-y = 2(7) - (-35) = 14 + 35 = 49$. Так как $49 > 0$, первое условие выполняется.
$7x+y = 7(7) + (-35) = 49 - 35 = 14$. Так как $14 > 0$, второе условие выполняется.

Решение удовлетворяет ОДЗ.
Ответ: $(7; -35)$.


б)

Дана система уравнений: $$ \begin{cases} \log_2(x+y) = 6 \\ x-y = 60 \end{cases} $$

ОДЗ: $x+y > 0$.

Преобразуем первое уравнение, используя определение логарифма: $$ \log_2(x+y) = 6 \implies x+y = 2^6 $$ $$ x+y = 64 $$

Теперь система имеет вид: $$ \begin{cases} x+y = 64 \\ x-y = 60 \end{cases} $$

Сложим два уравнения системы: $$ (x+y) + (x-y) = 64 + 60 $$ $$ 2x = 124 $$ $$ x = \frac{124}{2} $$ $$ x = 62 $$

Подставим значение $x=62$ в уравнение $x+y=64$: $$ 62 + y = 64 $$ $$ y = 64 - 62 $$ $$ y = 2 $$

Проверим, удовлетворяет ли решение $(62; 2)$ условию ОДЗ:
$x+y = 62 + 2 = 64$. Так как $64 > 0$, условие выполняется.

Ответ: $(62; 2)$.


в)

Дана система уравнений: $$ \begin{cases} \log_6 x - 2y = 3 \\ 2\log_6 x + y = 1 \end{cases} $$

ОДЗ: $x > 0$.

Данная система является линейной относительно $\log_6 x$ и $y$. Для удобства введем замену: пусть $z = \log_6 x$. Система примет вид: $$ \begin{cases} z - 2y = 3 \\ 2z + y = 1 \end{cases} $$

Решим эту систему. Из второго уравнения выразим $y$: $$ y = 1 - 2z $$

Подставим это выражение в первое уравнение: $$ z - 2(1 - 2z) = 3 $$ $$ z - 2 + 4z = 3 $$ $$ 5z = 5 $$ $$ z = 1 $$

Теперь найдем $y$, подставив $z=1$ в выражение для $y$: $$ y = 1 - 2(1) = 1 - 2 = -1 $$

Вернемся к исходной переменной $x$. Мы нашли, что $z=1$, а $z = \log_6 x$: $$ \log_6 x = 1 $$ По определению логарифма: $$ x = 6^1 $$ $$ x = 6 $$

Проверим, удовлетворяет ли решение $(6; -1)$ условию ОДЗ:
$x = 6$. Так как $6 > 0$, условие выполняется.

Ответ: $(6; -1)$.

Помогло решение? Оставьте отзыв в комментариях ниже.

Присоединяйтесь к Телеграм-группе @gdz_by_belarus

Присоединиться

Мы подготовили для вас ответ c подробным объяснением домашего задания по алгебре за 11 класс, для упражнения номер 3.189 расположенного на странице 144 к учебнику 2020 года издания для учащихся школ и гимназий.

Теперь на нашем сайте ГДЗ.ТОП вы всегда легко и бесплатно найдёте условие с правильным ответом на вопрос «Как решить ДЗ» и «Как сделать» задание по алгебре к упражнению №3.189 (с. 144), авторов: Арефьева (Ирина Глебовна), Пирютко (Ольга Николаевна), учебного пособия издательства Народная асвета.